摘要:立足农村现实邻里环境考察村民志愿服务的行为决策,对激发村民志愿服务热情,进而助推农村农民共同富裕具有重要意义。从社会互动视角,以村社为参照群组,利用2021年中国社会状况综合调查(CSS)数据,对村民志愿服务的邻里效应进行了理论推导和实证检验,并进一步考察了邻里效应的内部机制、村社类型的异质性。研究发现:村民志愿服务存在显著的邻里效应,村社其他村民的志愿服务活动每提升1个单位,村民参与志愿服务的概率提升15.7%—26.7%;村民之间的信息传递以及村社内部形成的社会规范是邻里效应发挥作用的重要渠道;社会规范机制的存在,使得宗族结构较为完整的团结型村社更容易产生村民志愿服务的邻里效应,其次是以多个小亲族共存的分裂型村社,再次是原子化的分散型村社。研究结论为农村志愿服务激励机制的完善、相关政策有效性的提升提供了理论参考和经验借鉴。
关键词:村民;志愿服务;邻里效应;社会互动;社会规范
中图分类号:C913.6 文献标识码:A
文章编号:1005-3492(2024)01-0130-15
作为第三次分配的重要形式,志愿服务在助推农村农民共同富裕方面具有积极作用。党的二十大报告在“提高全社会文明程度”部分明确提出,要“统筹推动文明培育、文明实践、文明创建”,“完善志愿服务制度与工作体系”。近几年,随着项目、资源和制度的下乡,各地农村也在积极开展乡村慈善公益活动,志愿服务的价值也逐渐显现。例如,在农村“三留守”群体关爱服务项目、“幸福家园”慈善互助工程等项目吸纳下,越来越多的村民参与到了志愿服务之中,不仅自我价值得以实现,所处村社发展、居民福利等也有所增益。课题组通过对浙江、山东等地农村的实地调研发现,各地基层政府正推动文明实践站的建设与普及,以积分制的嵌入鼓励村民参与志愿服务活动,但同时一些现象也引起了我们的注意:有些村庄的村民在积分激励下仍旧对参与志愿服务较为冷淡,而一些无相应积分激励的村庄内,反而形成了“全民参与”的志愿服务氛围。显然,从“理性经济人”视角无法有效解释这些现象。事实上,在乡土社会中,人们在心理与行为上易受他人影响,村民志愿服务的行为决策不得不考虑邻里的志愿服务氛围,特别是村民之间的相互影响。因此,为更好地“完善志愿服务制度与工作体系”,提升农村志愿服务相关政策的有效性,需要对此问题进行回应。
在社会互动过程中,他人(或群体)的行为(思想)对个人行为(思想)产生影响的现象称之为“邻里效应”。当前对邻里效应的研究没有严格的关于参照群组的划分,群组可为同宿舍的舍友、同班级同学,也可以是同城市、同社区的居民。由此,邻里效应被广泛应用于农户的农地流转行为、教育投资、新农保参与、社会捐赠活动等领域之中。现有研究证实,邻里效应的本质是一种心理动机,周围人群的社会活动或者行为会形成一种隐性的社会规范,如若个人偏离群体规范将有损自己的社会地位,个人行为决策自然会受到其他人相关活动的影响,但是这种影响主要以人与人之间的现实互动为主,互联网信息互动与传递会对此有所替代和影响。而志愿服务是否存在此类动机?早期的相关研究便关注到志愿服务参与下的复杂动机,提出了志愿服务的利他—利己主义模型。之后,Fitch11在此模型的基础上增加了社会义务维度,强调了社会规范的影响,但并未得到有力的实证支持。到了20世纪末,功能主义模型的提出强化了我们对志愿服务学习、成长、社交等动机的认识12,并得到了广泛实证验证。可见,国外研究通过理论模型推导关注到了个人所处环境下社会规范对个人志愿服务的影响,但相关的实证研究尚不多见。我国志愿服务研究起步较晚,现有研究也多聚焦于个体角度下社会资本、人力资本、心理资本、信任等的影响效应以及利他亦或是利己动机的讨论,对个人所处邻里环境关注及其相关实证研究较少,更不用说农村志愿服务的邻里效应研究。
基于以上分析,本研究从社会互动视角,立足村民的基本生活单位—村社,对村民志愿服务的邻里效应进行理论推导,并利用2021年中国社会状况综合调查(CSS)的农村数据对邻里效应及其机制、异质性进行验证。本研究的边际贡献在于:基于社会互动理论视角分析了邻里效应对村民志愿服务参与的影响,为志愿服务影响因素的研究提供了新的研究视角;探讨并揭示了村民志愿服务邻里效应的内在机制以及村社类型的异质性,能够为志愿服务制度与工作体系的完善、相关政策有效性的提升提供依据和参考。
社会互动理论认为,个体偏好、期望和约束会受到其他人特征和选择的直接影响,从而形成行为人之间的相互影响、彼此依赖,即其他行为人的选择直接影响个体对选择集合中选项的偏好排序。在此思想的指导下,本部分立足农村现实,通过构建社会互动模型来揭示村民志愿服务的邻里效应。作为社会互动的重要理论,参照组理论为社会互动参照群组的选择提供了理论参考,该理论认为参照群组是个体从心理上把自己列入、与之对照,并在态度、行为、评价上及价值观形成上接受其影响的群体。对农村而言,村社(村庄亦或是社区,下同)是村民的基本生活单位,其中个体之间存在着较为紧密的互动关系,故我们假定村民的参照群组为村社范围内的其他村民。
假设一个村社r是由n个村民组成,每个村民i用一组特征(xi,hi)描述,其中xi描述的是可以观测到的特征,hi描述的特征是不可观测到的私人特征。同时,在前人研究基础上,我们认为村民志愿服务的行为动机并非完全利他的,村民能够从志愿服务中获得自我满足感、个人荣誉感、物质奖励等效用。可见,每个村民都关心个人未来获得的效用Ei,而当前的志愿服务行为决策会影响村民的未来期望效用。因此,我们假定,期望效用是一个关于村民志愿服务yi和个体特征(xi,hi)的线性函数,村民参与志愿服务能够获得的效用存在确定性。具体的期望效用函数如(1)所示:
其中,α>0,表示村民参与志愿服务的边际效用,它在村民之间无差异。由此,进一步得出村社其他村民的期望效用平均水平:

其中, 。
。 表示j属于集合
表示j属于集合 ,集合
,集合 是除了村民i之外村社其他n-1个村民,故村社其他村民的可观测特征设为
是除了村民i之外村社其他n-1个村民,故村社其他村民的可观测特征设为 。基于本研究对社会互动效应的关注,如若不考虑当期其他行为的影响和跨期的决策问题,村民的期望效用Ei决定着村民效用水平。同时,考虑到村民所处的参照群组—村社,村民的效用函数除了取决于村民自身的期望效用、个体特征和村社其他居民的特征,还存在一个受村社其他村民志愿服务活动影响的社会效用函数。故,村民的效用函数如(3)所示:
。基于本研究对社会互动效应的关注,如若不考虑当期其他行为的影响和跨期的决策问题,村民的期望效用Ei决定着村民效用水平。同时,考虑到村民所处的参照群组—村社,村民的效用函数除了取决于村民自身的期望效用、个体特征和村社其他居民的特征,还存在一个受村社其他村民志愿服务活动影响的社会效用函数。故,村民的效用函数如(3)所示:

式(3)中,ui(Ei,xi,hi,xj)为村民的私有效用函数, 为社会效用函数。进一步,村民的私有效用函数可以表示为:
为社会效用函数。进一步,村民的私有效用函数可以表示为:

其中, 是村社其他人可观测特征的平均值;
是村社其他人可观测特征的平均值; 反映了边际递减的特征。这里我们参考Lumeetal(2015)研究,以社会规范模型描述社会效用函数,如函数(5)所示:
反映了边际递减的特征。这里我们参考Lumeetal(2015)研究,以社会规范模型描述社会效用函数,如函数(5)所示:

公式(5)具体表现了村民期望效用与村社其他村民期望效用平均水平的差异,ω表示村民背离村社平均志愿服务水平的惩罚,平方项反映了边际递减的特征。在ω>0情况下,村民会受到村社其他村民志愿服务活动的影响,存在与参照群组保持一致的行为偏好。即是说,村民的期望效用无法达到村社平均水平时,村民便会采取行动以提升自我的预期效用。如若村社其他村民通过志愿服务获得了较高的期望效用,为了减少预期效用过大对自身效用产生的负向影响,村民便采用相同或相似的行动提升自我期望效用。
将(4)和(5)函数代入(3)式进行一阶求导:

进一步将期望效用函数(1)和(2)代入式(6),可得村民在可行域[ymin,ymax]内最优的志愿服务选择函数:

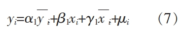
其中,系数分别为:α1=ω/(1+ω),β1=-(βω/1+ω)/α,γ1=(γ+ωβ)/(α+ω),μi=-ω/(α+αω)*hi。
通过函数(7)不难发现,村民志愿服务具有非独立性,其不仅取决于村民的个体特征(xi,hi),还会受到村社其他村民行为和特征平均水平 的影响。根据Manski(1993)对社会互动效应的分类,系数α1反映了内生互动效应,即本研究重点关注邻里效应,指村社村民的志愿服务会受到村社其他村民平均志愿服务活动的影响。系数γ1体现的是情景效应,它是指村民的志愿服务会受到村社其他村民的平均经济地位、平均受教育程度等外部特征的影响。根据以上理论模型的推导,提出本研究的第一个假说H1。
的影响。根据Manski(1993)对社会互动效应的分类,系数α1反映了内生互动效应,即本研究重点关注邻里效应,指村社村民的志愿服务会受到村社其他村民平均志愿服务活动的影响。系数γ1体现的是情景效应,它是指村民的志愿服务会受到村社其他村民的平均经济地位、平均受教育程度等外部特征的影响。根据以上理论模型的推导,提出本研究的第一个假说H1。
H1:村民志愿服务存在邻里效应,即村民志愿服务受到了村社其他村民平均志愿服务活动的显著影响
现有研究指出,信息传递和社会规范是邻里效应影响微观主体社会政策参与的两个主要机制。如若信息传递是邻里效应发挥作用的机制,那么个体在获取更多相关信息的情况下,受到邻里效应的影响会逐渐减小。事实上,传统村社的信息传递主要依靠同村社村民的社会互动维持,而随着农村互联网的引入,现代化的信息获取渠使得村民的信息获取能力大增,村民之间的互动则会在一定程度上被弱化,邻里效应的大小会因为信息获取方式的不同出现差异化的表现。从社会互动的参照组理论视角看,个体评价自身社会观和价值观的依据是以其参照群组的价值和规范作为基准的。参照群组并非一成不变的,互联网技术的使用使得村民对村社其他村民的信息依赖性降低,村民的社会互动逐渐突破了时空限制,村社层面的邻里互动和社会交往会趋于平淡,具体表现为邻里效应的弱化。由此,提出本研究的第二个假说H2。
H2:信息传递是邻里效应对村民志愿服务产生影响的重要机制
在中国现实农村环境下,南方、北方和中部的村庄结构存在显著差异,本研究基于贺雪峰的村庄划分,将中国村社划分团结型村社、分散型村社和分裂型村社。南方以团结型村社为主,宗族结构较为完整;北方以分裂型村社为主,“碎片化”的小宗族较为明显;中部以分散型村社为主,村民往往以户为单位活动,原子化程度较高。村社的类型差异对村民志愿服务邻里效应的影响,源于可能存在的社会规范机制。社会规范是指群体内成员共同接受的规定或标准、是除法律外的另一种指导或约束群体成员社会行为的准则。社会规范按照社会关系的不同可以分为共同关系下的社会规范和交换关系下的社会规范,其中,在共同关系中的个体更倾向于满足他人的需求,其决策受到社会规范的影响是更大的。在农村,同一村社内部存在着不同的社会关系,包括宗族和非宗族的社会关系,而同一宗族内部的社会关系更接近于共同关系。根据经济学理论,村民参与志愿服务过程中,社会规范发挥作用的主要途径为:同村社村民由于担心偏离同一群体内部形成的社会规范会降低其地位,所以在观察到同村其他村民特别是同一宗族的个体决策时,往往倾向于作出相同的决策,故可以猜测宗族结构较完整的村社,更容易产生村民志愿服务的邻里效应。基于此,提出本研究的第三个假说H3。
H3:村民志愿服务的邻里效应存在社会规范机制,团结型村社更容易产生村民志愿服务的邻里效应,其次是分裂型村社,再次是分散型村社
(一)邻里效应的识别策略
社会互动视角下,个体行为的溢出效应可以分为偏好互动、期望互动和约束互动三种:偏好互动是指以某一参照群组为基础,其他人对某一集合中选项的偏好会直接影响个体的选择偏好,如消费的从众效应;期望互动则强调,个体通过观察其他人的选择效果来调整自我的预期进而调整自我的选择行为,如通过别人对新技术、新产品等的使用效果来作出个人决策;约束互动指选择集合的相互排斥、相互依赖产生的互动效应,如其他人对一些限量产品的抢购导致个体无法获得该产品的购买机会。而在具体的实证研究中,社会互动效应同样被分为了三种效应:一是行为本身存在的相互影响,即个体的行为会受到参照群组中其他个体行为的直接影响;二是其他人外部特征(如经济地位、受教育程度等)对个体行动的影响;三是个体间相似的外部特征和共同所处的环境导致的行为一致性。Manski将以上三种效应分别称之为内生互动效应、情景效应和关联效应。本研究重点关注村民志愿服务的邻里效应,主要是指以村社为参照群组的内生互动效应。本研究已在理论模型部分揭示了志愿服务的内生互动效应和情景效应的存在,但在具体的实证操作中,区分内生互动效应、情景效应和关联效应,并解决三种效应中的混淆问题和内生性问题是十分重要且必要的。
由此,本研究基于Manski的研究基础,立足邻里效应等的识别问题制定了具体的解决策略,如表1所示。

(二)数据来源与样本筛选
本研究数据来源于2021年“中国社会状况综合调查”(CSS)项目数据。CSS项目是2005年由中国社会科学院社会学研究发起的,针对全国公众的劳动就业、家庭及社会生活、社会态度等方面的大型连续性抽样调查项目,从而为社会科学研究和政府决策提供详实而科学的基础信息。具体来看,该项目数据是采用概率抽样的入户访问方式获得,数据覆盖了全国31个省、自治区和直辖市,包括了151个区市县,604个村居委会,每次调查访问7000到10000余个家庭。2021年CSS数据库设置了志愿服务调查板块,其数据公布为我国第三次分配背景下志愿服务研究提供了权威型数据库。本研究在原始数据样本基础上,保留被调查地点为农村村社且被调查人为农村户籍的样本数据,并剔除了相关数据的缺失样本、无效样本等,得到本文有效样本量4465个。
(三)变量设置
因变量——志愿服务。本研究的被解释变量为村民志愿服务的虚拟变量,取VSA(Voluntary Service Action)表示。体现在CSS问卷中,“您本人在近一年以来参加过以下哪些志愿服务?”,选项包括儿童关爱、青少年辅导、老年关怀等13种志愿服务,这里将居民参加过至少一种志愿服务取值为1,否为0。
核心自变量——邻里效应。邻里效应变量设定的重要前提是明确参照群组。组群的地域过大或人数过多都难以产生社会互动效应,而村社具有一定地理区域和一定数量人口的特点,同时,村社也一直是我国村民主要的生活空间,每个村社都有共同的活动地点或聚集场所,更有可能产生较为密切的社会交往,彼此了解的程度较高。因此,本文将居住于同一个村社的村民划分为一个群体,以村社作为邻里效应的参照群组。值得注意的是,受自然地理环境、历史文化条件、村社规模等因素的影响,南部、中部、北部村社的社会结构存在较大差异,故我们在检验邻里效应大小的基础上增加了村社类型的差异性检验,以增加研究结果的可信度。参考Nieetal等文献对邻里效应的计算方法——除个体i之外,村社C内其他人志愿服务活动的平均水平——获得邻里效应 变量,具体公式如(8)式所示。
变量,具体公式如(8)式所示。

其中,VSA表示村社C中村民i的志愿服务参与行为。CSS调查数据统计每一个体所属的村社编号suu,因此, 是根据个体所属的村社编号统计出的每个村社的村民数。
是根据个体所属的村社编号统计出的每个村社的村民数。
控制变量。本研究还控制了其他可能的影响因素,包括村民的背景特征因素、村民群体特征因素和村社位置因素。具体看,村民背景特征因素包括村民的性别、年龄、受教育程度、政治面貌、经济地位、孩子数量、社会责任意识、社交生活满意度;村社群体特征因素,即除了i之外,取村社其他人特征的平均水平,包括村社平均性别、村社平均受教育程度、平均老龄化、村社平均党员人数、村社平均经济地位、村社平均孩子数量、村社平均责任意识、村社平均社交生活满意度;为避免村社位置差异对结果产生的影响,本研究还控制了村社的位置信息特征,即村社省份虚拟变量。此外,为避免同村社不同村民的随机扰动项可能存在相关性,对回归方程中的标准误进行了村社层面的聚类处理。
(四)模型选择
基于因变量的设定,这里选用Probit模型作为研究的基准模型。Probit模型是一种广义线性模式,主要用来探究某一事件的发生概率,即P(Y=1)=f(X),Y=1的概率是一个关于X的函数,其中f(X)服从标准正态分布。本研究的Probit模型如下所示:

式中,β1的大小和显著性程度是本研究关注的重点,A为村民个体背景特征变量,B为村社群体特征变量,β0为常数项,Provincedummy为省份虚拟变量。

(五)描述性统计
基于CSS数据的各变量统计结果如表2所示。具体而言,参与志愿服务的村民占比1/5左右,变量均值为0.211。而村民志愿服务的标准差为0.408,意味着村民之间的志愿服务参与情况差别较大。整体样本的平均年龄47岁,党员占比7%,男性占比44%,且受教育程度普遍为小学和初中水平。同时,村民的社会责任意识平均值也仅有0.469,即是说,超过50%的村民不太愿意通过报刊、电台等途径向有关部门反映社会问题。社交满意度变量显示,大多数人对自己的社交生活比较满足,评分均值达到了6.761。村社群体特征方面,村社其他人老龄化的平均值为0.259,意味着村社层面老年人所占比例的平均值为26%。其他的村社群体特征变量与村民个人背景特征变量相差不大,如表2所示,不再一一赘述。
(一)基准模型回归结果与分析
本部分利用基准模型(9)验证村民志愿服务的邻里效应。为保证核心变量输出结果的稳健性,这里使用嵌套回归方式,分别在“邻里效应(内生互动效应)+村民背景特征变量”的基础上控制情景效应和关联效应,最终生成模型(9)的回归结果。需要强调的是,本研究在Probit模型回归系数值基础上,计算出了各个变量的边际效应,并进行了结果呈现。同时,为消除组内异方差、自相关等混淆问题,本研究通过聚类对标准误进行了处理,并汇报了以村社聚类计算的标准误。具体的回归结果如表3所示。
表3结果显示,在逐步控制情景效应、关联效应后,模型的拟合程度和预测准确度均有一定提升,邻里效应变量的边际效应值分别为0.267(0.048)、0.251(0.053)、0.157(0.050),在1%的统计水平上显著正向,说明村民志愿服务存在显著的邻里效应,即村社其他人志愿服务活动每增加1个单位,村民志愿服务的发生概率提升15.7%—26.7%。在控制变量方面,村民志愿服务行为存在显著的性别差异,男性参与志愿服务的概率比女性高0.046%;受教育程度的提升能够显著且正向促进村民的志愿服务行为,意味着高学历者的志愿服务意识较强;年龄与村民志愿行为之间存在显著的负向效应,表明志愿服务队伍以年轻人为主;政治面貌为党员的村民更倾向参与志愿服务,以此来发挥党员的社会引领作用;经济地位与村民志愿行为存在显著的正向关系,说明经济地位越高的村民越倾向于参与志愿服务来发挥“光热效应”;孩子数量越多,村民越倾向于参与村内的志愿服务,以此带动孩子奉献意识,形成榜样力量;社会责任意识变量显示,社会责任意识越强,村民志愿服务行为的发生概率越大;村民对社交生活的满意度越高,更愿意去帮助他人,即能够显著促进志愿行为的发生。在情景类变量中,多数村社群体变量对村民志愿的影响比较小,社区群体政治化水平越高,能够更好地带动村民参与到志愿服务中来,结合个体政治面貌变量的系数结果可知,党员身份不仅可以内化为自身志愿行为的动力,同时,还能够通过践行志愿服务产生一定的外部效应;村社其他人的社交满意度会显著负向的影响村民的志愿行为,Appel等人的研究能够对此进行解释,即社会比较视角下他人较好的社交情况能够给自我造成很大压力,从而产生消极情绪和抑郁风险,进而不利于志愿行为的发生。

注:考虑到表格篇幅,本表格只报告了各个变量的边际效应;括号内数字是对村社进行聚类处理后的标准差;***,**,*分别表示在1%,5%,10%统计水平上显著;下同。
(二)稳健性检验:工具变量法
Probit模型的回归无法规避邻里效应识别中的反射性问题(互为因果)和自选择问题,需要采用工具变量法来解决模型中存在内生性问题和关联效应。在工具变量的选择中,本研究选择了除被调查者之外的村社平均团体活动、村社平均劳动参与和村社平均政治参与作为邻里效应的三个工具变量。事实上,志愿服务属于一种社会活动,是捐赠“时间”的主要表现形式,而团体活动、劳动参与、政治参与等社会活动对于时间的占用会进一步降低村民的可支配时间,进而影响其志愿参与行为。同样,村社其他人的平均社会活动参与情况也会影响群体志愿服务活动的平均水平,并且村社其他人的社会活动参与并不直接影响被调查村民的志愿行为。基于袁薇等人的研究,工具变量的选择具有合理性。在操作层面,对是否参与社会团体线下活动、劳动报酬在内的工资收入多少、是否参与人大代表投票等问题的选项进行处理,分别计算出村社社会团体活动、劳动参与、政治参与的平均值,代入IV Probit模型进行二阶段回归分析。
如表4,邻里效应变量的显著性和系数方向与前文一致,进一步证实了假说1。IV Probit回归的Wald检验结果显示,可在5%的水平上认为邻里效应为内生解释变量,同时,一阶段回归的F值显示,工具变量对邻里效应具有较强的解释力。在过度识别检验结果中,p值为0.842(>0.05),说明所选工具变量都是外生变量。在弱工具变量结果中,AR检验和Wald检验结果均在1%水平上显著,表明所选工具变量不是弱工具变量。

(三)线性关系检验
为检验邻里效应对村民志愿服务的影响是否为线性关系,本研究在原模型基础上加入了邻里效应的平方项。如若平方项的系数显著,则表示邻里效应对村民志愿服务的影响并非是线性的,可能需要进一步验证其中是否存在U型关系;如若平方项系数不显著,则意味着邻里效应对志愿服务的影响是线性的。回归结果显示,邻里效应平方的变量系数为正向,且并不显著,这意味着邻里效应对村民志愿服务的影响主要表现为线性关系。由于篇幅限制,这里对回归结果不再呈现。
(一)信息传递机制检验
基于CSS数据库提供的受访者信息获取渠道信息,本研究采用时间分组回归和现时信息获取渠道分组回归两个方式,检验邻里效应的信息传递机制。一是,农村志愿服务以及互联网的推进会随着时间不断深化,村民通过电脑、手机等互联网工具对志愿服务的了解逐渐加深,如果邻里效应通过信息传递发挥作用,则邻里效应会随时间的增加递减,信息获取渠道对邻里效应的弱化增强。二是,以是否通过电脑、手机等互联网工具获取信息为标准对样本分组,并分别进行回归,来验证基于信息获取渠道的群体差异,也能验证邻里效应可能存在的信息传递机制。2021年信息获取渠道与村民志愿服务的交叉统计如表5、表6报告了分组回归结果及其两年份信息获取渠道的调节效应。

表6结果显示,以电脑、手机为信息获取渠道的村民在志愿服务时受到邻里效应的影响强于不以电脑、手机为信息获取渠道的村民,交互调节效应检验结果显示,信息获取渠道在一定程度上弱化了村民志愿服务的邻里效应。结果验证了信息获取渠道对邻里效应发挥作用的影响,同时也再次表明信息传递是邻里效应发挥作用的重要机制。

(二)社会规范机制及其村社类型异质性的检验
为检验村民志愿服务邻里效应存在的村社类型异质性以及可能存在的社会规范机制,根据本文对村社的分类,计算出团结型村社被调查的村民样本量为926个,分裂型村社被调查的村民样本量为1600个,分散型村社被调查的村民样本量为1939个。村社类型及其所在地区如表7所示,分组回归结果如表8所示。

如表8所示,团结型村社部分的回归结果显示,村民志愿服务邻里效应的边际效应为0.792,即村社其他人志愿服务活动每提升1个单位,村民志愿服务的概率提升79.2%;相对来看,分裂型村社和分散型村社中,村民志愿服务概率提升分别为26.9%和13.0%。首先,宗族力量较强、宗族结构完整的团结型村社更容易产生邻里效应;其次是以小亲族结构为主导的分裂型村社;再次是原子化程度较高的分散型村社。结果一方面验证了村民志愿服务邻里效应存在的村社类型异质性,另一方面也进一步证实了邻里效应存在的社会规范机制,即宗族性的共同关系下更容易形成隐性的社会规范,村民志愿服务的个人决策也更容易受到社会规范的制约与影响,从而形成较强的邻里效应。虽然这一检验结果可能存在其他因素的干扰,例如同一亲族内部信息传递效率、宗族内相关活动的频率等,但基于宗族结构的村社类型划分及其相关回归检验,能够为志愿服务邻里效应的社会规范机制的存在提供初步证据。

(三)其他拓展性检验
本研究还进一步检验了村民志愿服务时长、志愿服务次数是否会受到邻里效应的影响。这里将2021年CSS数据中将“志愿服务活动大约多长时间?”的回答设置为村民志愿服务时长变量,将“您参加过几次志愿服务活动?”的回答设置为村民志愿服务次数变量,然后将生成了两个新变量分别代入模型(9)进行检验,检验结果如表9所示。结果显示,无论是村民的志愿服务时长还是村民的志愿服务次数,均存在显著的邻里效应,但是邻里效应的大小却明显降低,对村民志愿服务参与概率的提升分别为9.8%和10.1%,远小于15.7%—26.7%的邻里效应。从邻里效应的信息传递机制角度看,村民在与其他村民的互动过程中,只获取了其他村民是否参与了志愿服务的信息,而非志愿服务次数、时长等具体的相关信息。这说明,社会互动中的村民更容易了解或获取其他村民是否参与了志愿服务的信息,对于村民在某段时间内参与了几次志愿服务、服务了多长时间等信息的获取并不容易。

本研究利用中国综合社会状况调查(CSS)数据,从社会互动视角出发,从理论推导和实证检验两个方面探究了村民志愿服务的邻里效应,并进一步考察了邻里效应的信息传递机制、社会规范机制以及村社类型的异质性。为保证输出结果的稳健性,本研究通过工具变量、省份虚拟变量等解决了模型可能存在的关联效应和情景效应。结果显示:村民志愿服务存在显著的正向邻里效应,即邻里效应每增加1个单位,村民志愿服务发生概率提升15.7%~26.7%,且这一影响是线性的。利用工具变量进行稳健性检验后,结果依然成立。之后,进一步证实了志愿服务邻里效应存在的信息传递机制和社会规范机制,即村民的信息获取渠道会影响邻里效应的效果,而宗亲力量较强的团结型村社更容易产生邻里效应。基于此,本研究提出以下政策建议。
第一,邻里效应可以作为一种有效手段与志愿服务的正式制度互为补充。当前的农村现实情景下,志愿服务的积分激励制度已初见成效。村民参与志愿服务除了能够获得相应的积分奖励,志愿服务还能形成较强的邻里效应,从而塑造良好的志愿服务氛围。如若在政策激励中忽略了邻里效应,会低估相关政策的实际效果。因此,邻里效应当被视为一种有效手段,更好助力正式制度作用的发挥:可在法律许可范围内落实村社志愿服务的信息公开,树立志愿者模范家庭和榜样,厚植村社的志愿服务文化;发挥村社党员、高收入者的先锋模范作用,强化邻里效应,带动村社其他村民的广泛参与。
第二,引导志愿服务价值导向,避免趋利性志愿服务的跟风行为。农村志愿服务的土壤尚不厚实,在激励过程中很容易出现村民志愿服务的“盲目跟风”、完全趋利亦或是官民合谋的现象,这悖离了志愿服务的内涵,有损志愿服务价值功能的发挥。因此,为正确引导志愿服务的邻里效应,基层政府应通过电脑、手机等途径正确宣传志愿服务奉献、友爱、互助的精神内涵,合理规制村民的志愿服务行为,推动村民志愿服务动机由“利己”向“利他”的转变,更好地实现志愿服务邻里效应的社会价值。
第三,注重村社类型差异,因地制宜激发村民志愿服务的积极性。志愿服务虽然是现代化的概念,但其与农村现实的互助文化、宗亲基础等息息相关。宗亲力量较强的村社,能够形成志愿服务动员的乘数效果,而对于北部或者中部农村,无完整的宗族结构,需要外部力量的介入引导村民志愿服务的参与。因此,在“大众慈善”的环境下,基层政府应当因地制宜地进行资源、项目亦或是制度的介入,以村社实际的邻里乡风为基础,以形塑“人人有责、人人尽责、人人享有”的志愿服务格局为目标,激励村民参与到村社志愿服务之中,以此助力农村农民共同富裕的实现。