摘要:人口老龄化作为中国社会发展的一大基本事实,其对于住房价格的影响值得探究。文章从风险规避的视角构建了住房租购选择理论模型,理论分析表明老龄化程度的加深,会通过减少居民的预期居住时长减弱居民购房动机,进而对房价产生负向影响,同时租金波动会对该负向影响起到调节作用。进一步地,本研究利用2000—2020年的省级面板数据,实证检验了区域人口老龄化对于住房价格的具体影响,并对其作用机制与时空效应进行了研究分析。研究发现:(1)人口老龄化的加深会对区域住房价格带来负向影响,在考虑内生性问题并经过一系列稳健性检验后该结论仍然成立;(2)租金波动在人口老龄化对于房价的负向影响中起到调节作用;(3)通过异质性分析发现较高的出生率会在一定程度上弱化人口老龄化对于区域住房价格的负向影响。同时人口密度的提高也有助于对冲人口老龄化带来的房价下行压力;(4)人口老龄化通过降低区域消费、减少就业机会以及缩减信贷规模等途径,进一步对区域住房价格产生负面影响;(5)通过时空动态分析发现,在时间上人口老龄化对于房价的负向影响伴随着时间的推移呈现下降趋势。在空间上该影响存在空间溢出效应,相邻区域的住房价格也会受到一定负向影响。基于上述分析,随着老龄化程度的不断加深,我国的住房市场将面临下行风险,政府部门应未雨绸缪,提前做好相关预案,以应对老龄化加剧对住房市场可能带来的影响,同时进一步规范租房市场,促进房地产市场的平稳发展。
关键词:住房价格;人口老龄化;风险规避;时间效应;空间效应
中图分类号:F293.35 文献标识码:A
文章编号:1005-3492(2024)06-0142-19
自2000年中国进入老龄化社会以来,人口老龄化不断加深。截至2021年,中国60岁及以上老年人口达2.67亿,占总人口的18.9%;65岁及以上老年人口达2亿以上,占总人口的14.2%(图1),我国已经进入深度老龄化社会。而根据相关测算,预计“十四五”时期,中国60岁及以上老年人口总量将突破3亿,占比超过20%,进入中度老龄化阶段。2035年左右,60岁及以上老年人口将达到4亿,在总人口中的占比将超过30%,正式进入重度老龄化阶段。人口老龄化的持续加深对于中国经济的潜在影响是多方位的,房地产市场作为我国经济发展的重要支柱产业,房价的波动会对经济运行产生重要的影响,是联系老龄化国情和经济可持续发展的重要纽带。

老龄化带来的人口年龄结构的转变将对住房价格带来持续影响,改变原有社会发展过程中的资源配置格局,进而从多方面影响经济社会的发展。因此,为了更好地应对人口老龄化对我国经济平稳健康发展可能带来的影响,亟需理清人口老龄化与房价之间的逻辑关系。以往的研究往往从生命周期理论的角度出发,重点针对老龄化与购房市场和房价之间的关系进行探讨,对于租房市场以及租金的讨论则相对较少。而党的二十大报告针对房地产提出要继续坚持“房子是用来住的、不是用来炒的定位,加快建立多主体供给、多渠道保障、租购并举的住房制度”,与以往重点关注购房市场和房价相比,住房租赁市场的发展和租金情况开始得到更多重视。因此本文从风险规避的视角出发,通过构建住房租购选择理论模型,将房地产购房市场和租赁市场进行联动,以家庭为单位,从家庭购买住房与租赁住房两个行为之间的理性选择出发,讨论老龄化如何通过影响家庭的租购决策进而影响住房价格。
目前关于人口老龄化、租金对地区房价影响的研究多集中于探讨老龄化与房价,租金与房价两两之间的关系。
(一)人口老龄化与房价
现有研究从不同视角分析了人口老龄化会如何影响住房价格。国外多数研究认为老龄化程度的加深将从供需层面对住房价格产生负向影响。Mankiw 和Weil 利用美国的人口调查数据,研究了老龄化与住房价格之间的关系。该研究通过建立家庭住房需求模型,来估计不同年龄人口的住宅需求参数,发现伴随美国婴儿潮的结束,人们的住房需求也进入下降区间。该研究对美国未来房价的下跌情况进行了预测。Lindh和Malmberg在研究住房投资与人口结构时发现,伴随着老龄化程度的加深,可能会对住宅的投资建设产生消极影响,进而影响人们的住房消费,导致房价下降。Modigliani 和 Miller 从平滑消费—储蓄的视角阐述了老龄化可能对住房价格产生的影响,由于老年人口的消费大于储蓄,因此可能会选择出售房产来弥补消费的不足,伴随着老龄化程度的加深,市场的住房供给也将不断增多,最终房价将由于超额供给而出现下跌。除此之外,也有少部分研究认为人口老龄化并不会显著地降低住房需求,只有在人们到达生命末期之时,住房需求才会出现明显下降,进而影响房价。
国内学者针对老龄化如何影响住房价格则存在着不同观点。徐建炜等利用老年抚养比例作为老龄化的衡量指标,通过对房价指数的研究发现,老年抚养比与房价呈现显著的负相关关系。李超等认为中国大规模的城市化进程和计划生育政策导致的家庭结构小型化在一定程度上延缓了老龄化对于住房需求的负向影响,随着老年人口比例的逐年升高以及城市化进程的放缓,老龄化对于住房需求和价格的负向影响将逐步显现。高波等研究发现50—64岁的人群处于终生收入的峰值,出于资产配置的目的,会选择房产作为自己的投资对象,进而对房价产生正向影响,而65岁以上人群由于退休后不再有稳定的收入流,却仍需消费,因此存在转卖住宅的动机,进而使得住宅供给增加,需求减少,对房价产生负向影响。李恩平和杨华磊等基于生命周期理论提出社会人口存在一个特定的住房需求密集年龄段,由于老龄化的到来,人口年龄结构出现较大变化,住房需求密集年龄人口以2014年为拐点出现快速下降的趋势,进而导致住房需求的快速萎缩和住房价格的急剧调整。除了以上观点之外,也有部分学者认为老龄化并不必然导致住房价格的下降,甚至可能对房价产生正向影响。顾和军、周小跃等通过对第六次全国人口普查数据和《中国统计年鉴》2001—2016年数据的整理和比较,发现人口年龄结构因素不能解释近年来中国房价的上涨,且老年抚养比对住房消费面积没有明显影响。周建军等发现人口老龄化对于房地产市场的负面影响会被家庭规模小型化和财富的代际转移等其他经济社会效应抚平,同时由于人口老龄化带来的劳动力数量减少,会倒逼产业结构的升级,最终体现为对房价产生正向影响。
(二)租金与房价
国内外学者关于租金与房价的研究主要集中于住房价格的发现过程。关于不同房价决定模型的相关研究可以归纳为三个方面:一是通过存量—流量模型来研究房价与租金的关系,围绕住宅资产和住宅使用市场联动的四象限图说明如何通过租金、房价、新建住宅数量以及住房存量等变量的变动影响而发现均衡价格的理论。该理论中房价受到租金资本化率的影响,并通过住宅使用市场住房存量的变动反作用于租金。房价和租金在资本市场和使用市场两个不同的市场体系中具有相互依存、互为因果的关系。二是使用新古典消费者行为理论分析房价与租金的关系。在研究二者的关系时,不仅考虑了利率、成本费用等经济因素的影响,还涉及家庭特征、居住特征等非经济因素的影响。三是从资产价格的视角看待房价与租金的关系,将住房看作类似股票的资产,将购买住房这一行为所产生的成本和收益进行比较分析,并与投资其他资产的收益情况进行对比,来考察房价和租金之间的均衡关系。根据戈登现值模型,房地产市场中的房价/租金与股票市场中的股价/红利相类似,因此理论上由租金贴现得到的房价和市场售价应当一致。后来围绕该模型进一步进行了拓展,发现房价租金比的变动在很大程度上由实际利率和未来房产增值的变化所决定,房价租金比上涨的主要原因在于住房资产的升值,而不是租金。许多研究者认为直接使用金融领域的模型衡量房价与租金的关系会存在租金易被条例和合同等因素影响,不易测量等不足之处,从而不符合理论上的跨期资产估价模型。
(三)文献评述
首先,当前文献主要聚焦于探讨老龄化与房价,以及租金与房价之间的关系,但对于人口老龄化和租金对住房价格影响的综合考虑尚未得到充分研究,本文拓展了这一研究领域。其次,以往文献多从供需角度或生命周期角度进行研究,本文从风险规避的视角出发,假设住房作为一种特殊的生活必需品,人们对其只有购买或租赁两种选择,从而构建了租购选择的理论模型。最后,在实证层面本研究对于老龄化影响住房价格的时空效应与作用机制进行了研究分析,并考察了租金波动对于老龄化背景下住房价格所产生的影响,在一定程度上联动了租房市场与住房市场。
随着中国老龄化进程的加速和政府实施的“房住不炒”政策,住房的居住属性日益受到重视。在这一背景下,研究持有住房对风险规避的价值变得愈发突出。每个个体都需要一个安身立命之所,因此购置或租赁住房成为不可或缺的选择。“房住不炒”政策的实施使得房屋更多地被赋予了居住属性。在这种政策环境下,住房不仅仅是一种资产,更是一种能够提供居住安全和稳定的保障。从风险规避的角度来看,持有住房意味着个体可以避免租金波动带来的居住成本上涨风险。因此,住房作为一种稳定的居住选择,具有抵御租金波动风险的功能。然而,这一观点还需要更多的理论和实证研究来加以支持。
本文基于风险规避的视角,参考Todd的研究,构建了租购选择的理论模型,以探讨人口老龄化、租金波动与住房价格之间的关系。为便于分析,首先进行一系列假设。
假设存在两个家庭,其风险厌恶程度相同。家庭成立时间标记为0年,预期居住时长为N年,之后消亡。每个家庭需要作出在A地(或B地)买房或租房的决策。每个家庭期望的住房数量为一个单位,当这些家庭离开A(或B)时,他们会被类似的家庭所取代。租金(住房服务成本)受到经济基本面和住房市场的外生冲击而波动。且A、B两地的租金市场存在空间相关性。
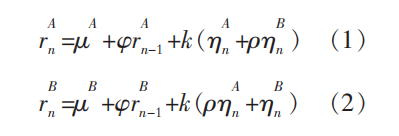
基于上述假设,A,B两地的租金可以被表示为:

其中
为A地和B地租金的预期增长,
表示A地和B地受到的外生冲击水平,满足独立同分布
,ρ表示为A和B两地租金空间相关性的参数,当ρ=0表示完全不相关,ρ=1表示完全相关,φ为系数,衡量租金受到外生冲击对下一期的影响,k为比例常数,此处设置成
。
对这一假设进行拓展,考虑家庭存在迁移的情况。此时假设家庭共存在2N期,并在N期进行一次迁移,那么家庭的交易行为包括:(1)在0期买入A地的房产;(2)在N期卖出A地的房产,同时买入B地的房产;(3)在2N期卖出B地的房产。
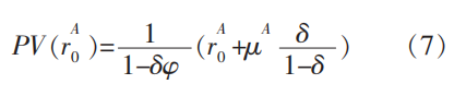
对于均衡房价来说,假设资本市场是完美的并且每个家庭的终身财富外生为W,那么每个家庭将根据财富最大化或住房成本最小化来进行租房或者买房的选择。
此时选择租房面临的成本:




其中μ表示租金的预期增长率,φ为系数,用来衡量租金受到外生冲击的持续影响。
对于总风险溢价RP可表示为:

其中πR表示租金风险溢价,用以衡量因为持有住房而规避的与租赁成本CR相关的租金波动风险,在均衡状态下,由于买房所规避的租金波动风险被正向内化到房价中。π0表示资产价格风险溢价,用以衡量因为持有住房而带来的与持有成本C0相关的资产价格波动风险,在均衡状态下,由于买房所带来的资产价格波动风险被负向内化到房价中。
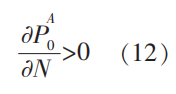
此时住房价格P受到
影响。
除非
或家庭风险中性α=0,否则都要考虑风险溢价的因素。
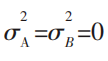
假设租金是独立同分布的IID,并且空间不相关(φ=0,ρ=0)。租金风险溢价πR衡量的与租赁成本CR相关风险,由发生在“早期”
的租金波动风险和“晚期”
的租金波动风险共同组成,表示为:

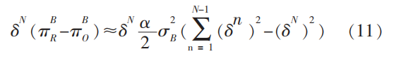
方程中的πR的值随N增大而增大,表明随着预期居住时长N的延长,租房者面临更多的租金波动风险,而买房者则更多地规避了这一风险。
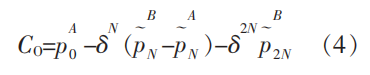
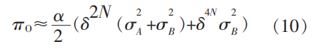
持有住房的风险溢价π0衡量与持有成本C0相关的风险,根据假设购房者在未来会发生三次房地产交易,分别为在N期出售A地的房产,同时购买B地的房产,以及在2N期出售B地的房产。而资产价格风险完全来自租金波动对三次未来交易房价的影响:
。π0表示为:

方程中π0的值随N增大而减小,表明随着预期居住时长N的延长,贴现幅度就越大,资产价格风险下降。同时:

结合上述公式可得随着N的延长,贴现幅度变大,买房者一方面规避了更多的租金波动风险,另一方面房价波动风险也变小。因此可知房价通常随着居住时长N的增加而增加。即满足:

基于上述分析,提出假设1。
假设1:当老龄化程度加深时,相当于预期居住时长N减小,因此人口老龄化负向影响住房价格
同时租金波动风险
对房价的影响也会随着预期居住时长N的增加而增加。因此房价通常会随着当地租金波动水平和预期居住时长的相互作用而增加。即:

基于上述分析,提出假设2。
假设2:人口老龄化导致的预期居住时长减小对于房价的负向影响进一步受到租金波动的负向调节作用
在此基础上,人口老龄化在影响住房价格的过程中还可能存在复杂的作用机制。首先,随着人口老龄化的不断加剧,可能会抑制本区域的居民消费,进而对于住房价格产生负向影响。这主要是由于随着人口老龄化的不断加剧,退休人口比例增加,这部分人群的收入水平相较于在职时期有所下降,消费能力整体减弱。同时老年人在消费倾向上更加注重日常生活和健康医疗方面的支出,对于如住房这类大宗商品的投资需求相对减少。从长远来看,这种消费能力的下降可能导致住房需求减少,尤其是在那些老龄化程度较高的地区。居民消费水平下降意味着人们会更加谨慎地处理资金,可能会推迟或减少购房计划。购房通常是一项长期、大额的投资,消费水平下降可能会导致对房产的需求减少,从而对房屋价格产生负向影响。同时人口老龄化带来的居民消费水平的下降可能会对社会整体经济信心产生影响。如果消费下降被视为经济衰退的迹象,人们可能会更加谨慎地处理资金,导致购房意愿下降,进而影响到住房价格。
其次,人口老龄化对于居民的就业也会带来一定消极影响。人口老龄化意味着劳动年龄人口的比例下降,这可能导致劳动力市场紧缩。从理论上讲,劳动力供给的减少在短期内可能会提高劳动力的价格(即工资),从而提高就业人群的收入水平,对住房需求产生正向影响。然而,长期来看,劳动力市场紧缩可能抑制经济增长,从而减少就业机会和家庭收入,对住房需求产生负面影响。同时随着劳动力数量减少和老年人口比例增加,居民消费模式和投资偏好可能发生变化,这将导致经济增速放缓,而经济增长放缓可能减少新的就业机会,降低家庭的收入预期,从而减弱对住房的需求,对住房价格产生负向影响。同时由于老年人口大多已到退休年龄,因此就业机会减少主要影响年轻人和中年人,那么这将直接影响到这些群体的收入水平和消费能力。而年轻家庭是住房市场的主要需求方之一,他们的购买力下降将直接导致住房需求减少,进而对住房价格形成下行压力。
最后,人口老龄化也会在一定程度上影响信贷市场,进而对住房价格产生负向影响。随着人口老龄化,社会整体贷款需求可能会减弱。老年人通常倾向于储蓄和理性消费,而不像年轻人那样倾向于负债消费,尤其是购买房产。因此,人口老龄化可能会导致整体贷款需求减少,包括购房贷款。除此之外,在老龄化的背景下金融机构的风险偏好也可能发生变化,随着人口老龄化,金融机构可能更加谨慎地评估借款人的信用风险。由于老年人通常不再处于职业生涯的高收入阶段,金融机构可能更加谨慎地向他们提供贷款,尤其是较大额度的房屋贷款。这可能导致贷款的审批率降低,进而影响房屋购买者的能力。同时在人口老龄化的背景下,对于住房的需求结构也会发生变化。老年人相比于年轻家庭,对于购买新房或者大户型房产的需求相对较小,他们可能更倾向于缩小住房规模或者维持现状。这种需求的变化可能导致住房贷款的总体需求下降,进一步影响到信贷市场的活跃度,从而对住房价格形成下行压力。基于以上分析,进一步提出假设3。
假设3:人口老龄化会通过降低居民消费,减少就业机会,降低信贷规模等作用机制对区域住房价格产生负向影响
同时根据“地理学第一定律”,越相近的事物联系越紧密。目前已有研究表明,住房价格存在明显的空间溢出效应。一个城市的房价水平,不仅取决于当地的人口结构,也会受到邻近地区人口因素的影响。人口的老龄化除了影响本地的住房市场,也会出现“溢出效应”,进而影响周边地区整体房地产市场的需求。因此本地的老龄化程度加深除了负向影响当地的住房价格,还可能使得周边市场房价承压,基于上述分析,提出假设4。
假设4:人口老龄化对房价的影响存在空间溢出效应,不仅会负向影响本区域的住房价格,也可能给相邻区域房价带来较大的下行压力
(一)实证模型
借鉴李超、何兴强等研究的做法,本文构建如下的对数范式模型(14)进行回归,研究人口老龄化对住房价格的影响。

其中Hpit为省份i在第t年的住房价格,Old为衡量老龄化水平的变量。同时进一步控制了省份固定效应μi和时间固定效应ηt。我们采用该基准模型探究老龄化对房价带来的影响。
(二)变量选取与描述性统计
本文选取中国30个省、自治区、直辖市作为研究对象,样本时间跨度为2000—2020年,所有数据均来自2000—2020年《中国统计年鉴》和《中国人口与就业统计年鉴》(表1)。

本文的被解释变量为住房价格,目前国内商品房主要包括商业用房、商品住宅和商住两用房,一般房价相关研究多以商品住宅价格为主。结合上文的理论分析,使用商品住宅平均销售价格的对数(lnhp)可以更直接地捕捉到老龄化对居住类房地产市场的影响。同时在稳健性检验部分选择使用商品房平均销售价格的对数(lnhp_)对结果进行进一步分析检验。
核心解释变量为老龄化程度,本文参考黄燕芬等的做法,采用老年人口数与劳动年龄人口数之比(old)来衡量地区的老龄化水平。调节变量为租金波动率,本文参考刘广平等的做法使用租房类居民价格指数以2000年为基期通过计算得到相关的租金波动率(Cpr)数据。
中介变量选取居民消费,失业率以及贷款规模指标。居民消费(com)采用居民最终消费率进行衡量,计算方式为居民最终消费量占生产总值的比重。失业率(unr)采用城镇登记失业率数据。贷款规模(rel)使用房地产开发企业国内贷款来衡量,在实证过程中取对数进行处理。
借鉴现有文献的研究经验,本研究控制了一系列影响房价的变量,包括:经济发展水平,经济发展的水平对于住房价格有着很大的影响。大量学者通过梳理以往文献发现住房价格往往与当地本身的经济发展水平有密切的联系,本文选取人均可支配收入的对数(lninc)作为衡量地方经济发展水平的指标;产业结构,经济发展离不开产业结构的影响,地方产业结构可以通过影响地方经济活力进而影响住房价格,此处选择第三产业增加值占第二产业增加值的比重作为产业结构(ins)因素指标;政府干预,地方政府对于发展的干预会影响当地的经济活动,从而对于房价产生影响,此处选择地方财政一般预算支出与地区生产总值之比作为政府干预(gov)的衡量指标;科教水平,科教水平强的地区,经济发展速度和质量相对会较高,从而对地区住房价格产生影响,作为地方科教水平的体现,本文以每十万人口高等学校平均在校生数的对数(lnhc)作为指标衡量;环境因素,环境因素在影响住房价格方面发挥着关键作用,周围的景观、自然环境和景点也可能影响住房价格,拥有美丽景色或区域整体环境较为优美地区的房产可能更受欢迎,因而价格更高,本文以人均公园绿地面积的对数(lngsp)作为指标衡量;医疗水平,住房价格可能会因附近医疗服务的可及性而受到影响,拥有高水平医院、诊所和医疗中心的地区通常更受欢迎,因为购房者更愿意在生病或紧急情况下有便捷的医疗服务,在一个有完善医疗保险体系和政府支持的地区,居民可能更愿意在那里购房,因为他们感到在生病时能够获得良好的医疗服务。本文以每万人医疗机构床位数的对数(lnnbm)作为指标衡量。
(一)基准回归
根据公式(14)构建的基准模型,检验老龄化对于住房价格的直接影响。表2展示了该部分的结果。表2第(1)列展示了不考虑控制变量情况下老龄化对于房价的影响,第(2)—(4)列分别展示了从年份固定效应、省份固定效应到年份省份双固定效应的结果。本文以第(4)列时间与区域双固定为最终结果,老龄化old的回归系数为-1.218,并在统计上1%的水平显著,表明老龄化程度的加深会对住房价格产生负向影响,该结果验证了本文的研究假设1。

(二)稳健性检验
上文的实证分析发现,住房价格受到老龄化程度的负向影响。为检验以上估计结果的稳健性,本部分将通过替换被解释变量、窄样本处理以及考虑地区差异等方式进一步检验人口老龄化和房价的关系。
1.替换被解释变量
为了更好地检验基准回归的结果,通过替换被解释变量住房价格验证稳健性。使用商品房平均销售价格的对数(lnhp)对住房价格指标进行替换,并重新进行回归估计,回归结果见表3第(1)列,老龄化对于住房价格的估计系数为-1.476,在1%的水平上显著通过了检验,且结果为负向影响,通过了稳健性检验。
2.窄样本处理
为了回避样本极端值对于回归结果的影响,本部分针对老龄化这一变量剔除了最低的1%和最高的1%的样本,估计结果见表3第(2)列,老龄化对于房价的结果仍在1%的水平上显著为负,基准回归的结论保持不变。
3.考虑地区差异
在考虑老龄化对于房价的影响时,直辖市由于行政级别较高容易在创新创业政策上受到更多的扶持,因此本部分删除北京、上海、天津、重庆四个直辖市的相关数据再次进行回归,回归结果见表3第(3)列,老龄化对于住房价格的结果仍显著为负,通过了稳健性检验。

(三)内生性分析
以上对老龄化影响住房价格的实证分析中可能存在一些内生性问题。这些问题的原因如下:首先,测量误差问题。不同统计年鉴的统计口径存在变动,导致各个变量指标存在测量误差,可能会对计量回归结果产生偏差。其次,遗漏变量问题。住房价格水平受多种因素影响,但由于数据的可获取性限制,一些重要的影响因素无法纳入模型中,可能引发遗漏变量的问题。最后,反向因果关系问题。人口老龄化程度加深可能对住房价格产生负向影响,但同时,住房价格的变化可能会通过影响人们的生育意愿以及相关因素对人口结构产生影响,进而影响区域的老龄化程度。因此,人口老龄化与住房价格之间可能存在一定的反向因果关系,这可能会干扰实证分析的结果。
为了解决这些问题,本研究从计量经济学角度寻找外生工具变量。合适的工具变量需要满足相关性和外生性两个条件,基于该条件,选取人口死亡率(pmr)作为研究的工具变量。首先,人口死亡率与人口老龄化之间存在一定的相关性。通常,随着人口老龄化,老年人口比例增加,可能导致整体人口死亡率上升,因为老年人死亡率相对较高。这表明人口死亡率可能与人口老龄化有关联,这满足了工具变量的相关性条件。其次,与人口出生率不同,人口死亡率通常受到自然因素和长期趋势的影响,与住房价格选择具有较强外生性。因此人口死亡率满足相关性以及不直接影响被解释变量住房价格的特征,可以作为合适的工具变量。具体的回归结果见表3第(4)列,LM统计量通过了1%显著性水平的检验,满足工具变量的相关性假定;Wald F统计量大于10,表明本文选取的人口死亡率工具变量是合理的。从估计结果看,老龄化对于住房价格具有显著的负向影响,与基准回归保持一致,通过了内生性检验。
(四)异质性分析
1.区域出生率异质性
人口老龄化对住房价格的影响可能受到区域出生率高低的异质性影响。这是因为不同出生率地区的人口结构和人口特征可能存在差异,这些差异会影响人口老龄化对住房市场的影响方式和程度。在出生率高的地区,随着时间的推移,年轻人口会逐渐增加,从而增加对住房市场的需求。相对而言,这些地区的住房价格可能更加稳定或者上升的幅度更大。此外,高出生率可能促进更多家庭的形成,也会增加住房市场的需求。与此相反,出生率低的地区可能面临人口老龄化加剧、年轻人口减少的挑战,而老年人口出于风险规避的考虑可能会降低购房的需求。基于以上分析,使用人口出生率对于区域进行分类,将人口出生率高于平均值的地区划分为高出生率区域,低于平均值的地区定义为低出生率区域,并对其进行了异质性分析,具体结果见表4。表4第(1)列的结果显示,老龄化对于住房价格影响的系数为-1.021,且在5%的水平上显著,该系数高于基准回归系数-1.218。表明较高的出生率可以在一定程度上减弱人口老龄化对于住房价格的负向影响。第(2)列低出生率地区的老龄化系数为-1.666,且在1%的水平上显著,表明出生率的下滑会在一定程度上进一步强化老龄化对于住房市场的负面影响,使住房价格面临更大压力。

2.人口密度异质性
对于不同人口密度的区域,老龄化对于住房价格的影响也可能存在显著差异。在人口密度高的地区,与区域人口相比住房供给相对有限,而需求则相对较大,因此住房价格往往会在一定程度上受到推动。相反,在人口密度较低的地区,住房供应可能相对充足,从而使得住房价格面临支撑相对较小。使用人口密度指标对于区域进行分类,将人口密度高于平均值的地区划分为高人口密度区域,低于平均值的地区定义为低人口密度区域,并对其进行了异质性分析。表4第(3)列在高人口密度地区老龄化对于住房价格的系数为0.159,且不显著,表明高人口密度地区人口老龄化的加剧对于区域住房价格无显著影响。这可能是由于高人口密度地区城市化程度往往较高,通常伴随着更多的就业机会和经济活力,吸引了更多的人口涌入,从而增加了对住房的需求,进一步推高了房价,对冲了人口老龄化对于当地住房市场所带来的压力。而第(4)列的结果显示,在低人口密度地区老龄化对于房价的系数为-1.290,老龄化对于区域住房市场存在显著负向影响。这可能是由于在人口低密度地区由于人口相对较少,加之就业机会和经济活力较弱,对房地产市场需求不足,住房相对过剩,因此当地人口老龄化进一步加剧了住房市场下行的压力。
(一)租金波动调节效应分析
为检验人口老龄化对于房价的负向影响是否受到租金波动的调节作用,本文在公式(14)的基础上,参考相关研究,引入租金价格波动与老龄化的交乘项,进一步分析租金波动在人口老龄化与房价关系中的调节作用。


表5第(1)列汇报了加入租金波动与老龄化交互项后的结果,老龄化对于住房价格的系数为-0.943,在5%的水平上显著为负,进一步验证了基准回归的结果。租金波动与老龄化交互项的系数也显著为负,表明老龄化对于住房价格的影响受到租金波动的调节作用,区域的租金波动越大,人口老龄化对于住房价格的负面影响越明显。第(2)列将核心解释变量老龄化的指标剔除了最低的1%和最高的1%进行了替换,作为稳健性检验,结果老龄化与老龄化和租金波动交互项的系数依然显著为负,进一步验证了回归的结果。该结果验证了假设2人口老龄化对于房价的负向影响受到租金波动的负向调节作用。
(二)机制分析
基于上文理论分析和假设3,人口老龄化可能会通过降低居民消费,减少就业机会,降低信贷规模等方式对区域住房价格产生负向影响。参考江艇的研究,为了进一步检验老龄化对于住房价格的影响路径,选择居民消费(com)、失业率(unr)以及贷款规模(lnrel)作为中介变量,对该作用机制进行检验。具体结果见表6。

表6中列(1)结果显示,old的系数为-0.255显著为负,即人口老龄化会对区域居民的消费产生负向影响。而结合前文的理论分析消费水平的下降会导致整体购房需求减少并影响人们的购房信心,因此人口老龄化带来的居民消费水平下降会对区域住房价格带来消极影响。列(2)结果显示,old的系数为3.179,且在1%的水平上显著为正,即人口老龄化带来的劳动力市场紧缩可能会减少就业机会,使得失业率升高。而失业率的提高会降低居民整体的收入水平,并降低人们的收入预期,从而减少居民的购房需求,同时受到就业市场冲击主要影响的中青年群体也是购房市场的主力军,失业率的上升也会抑制这一群体的购房需求,从而使得住房市场承压。列(3)中old的系数为-3.123,且在5%的水平上显著为负,表明伴随人口老龄化,老年人口的信贷需求减少,且金融机构对于老年人口的信用评估更加谨慎,从而降低了区域信贷规模。而结合前文分析,房地产市场的发展以及居民购房过程中都离不开信贷市场的支持,因此信贷规模的下降会使得住房市场价格承压。综上,表6的实证结果证实了人口老龄化程度的加深会通过降低居民消费,减少就业机会以及缩减信贷规模的方式影响住房市场发展,从而对住房价格产生负向影响。
尽管静态回归分析显示,老龄化会降低区域的住房价格,但老龄化对区域住房价格影响的时间变动趋势和空间效应尚未可知,近年来,国家高度重视老龄问题,出台了系列政策积极应对人口老龄化,这些政策是否会影响老龄化对房价的作用力度值得关注。同时,随着城市集群的建设,各区域间的互通互联不断加深。在这一背景下,人口老龄化对区域房价的影响是否存在空间相关性,其变动如何?综上,从时间和空间两个维度进一步讨论人口老龄化和住房价格的关系至关重要。
(一)时间效应分析
本文从时间维度进行了样本估计。使用滚动时窗分析进行检验。具体步骤为:将滚动时窗设定为10年;设定一个时间哑变量year,当年份小于时窗中点时,year取0反之取1;在原式(14)的基础上分别加入了老龄化与时间哑变量的交乘项old×year,进一步构造了式(16)的方程。随后进行滚动窗口估计。这样做的好处在于:能够从动态的角度更加准确反映老龄化的系数变化。

表7 老龄化影响住房价格的时间效应

表7展示了人口老龄化对于住房价格的影响在滚动时窗下的变化,可以发现老龄化整体对于住房价格呈现负向影响,但其与时间的交互项为正,表明人口老龄化对于房价的负向影响伴随着时间的推移呈现下降趋势。其背后的原因可能是由于随着时间的推移,区域的基础设施和服务逐步改善,社会能更好地适应人口老龄化的趋势,提供更多针对老年人的基础设施和服务。例如,医疗设施、购物中心、交通便利性等的改善可能会在一定程度上对冲人口老龄化对于住房市场需求的负向影响,提升老年人的购房需求。同时,老龄化程度的加深可能使得社会更加关注改善老年人的居住条件,从而有针对性地建设更多适合老年人居住的公共设施和住宅,这也会提高老年人对于住房的需求。随着人口老龄化问题加剧,政府可能采取一系列政策来促进老年人居住保障,比如提供住房补贴、建设养老院等,这些政策可能对住房市场产生积极影响,抵消了老龄化带来的负面影响。
(二)空间效应分析
1.全局空间相关性检验
根据理论假设四,人口老龄化对房价的负向影响存在空间溢出效应,为验证这一假设,首先对2000—2020年我国各省份的房价进行空间相关性的Moran’I检验,具体计算公式如下:

该式中,n表示中国的31个省份,和分别代表各省份的房价及其均值,Moran’s I∈[-1,1],莫兰指数的绝对值越大,表示房价的空间相关性越强;W为空间权重矩阵,主要作用是表明各研究对象之间 在空间上的联系,进行空间自相关检验的前提就是设置合理的空间权重矩阵。
本文共使用了包括空间邻接矩阵和地理距离矩阵在内的两类空间权重矩阵。空间邻接矩阵主要是基于两个省域间是否直接相邻来进行划分,如果两个省域拥有共同的边界,空间邻接矩阵中的数值取值为1,否则取值为0。地理距离矩阵是用两个地区之间距离的倒数构成空间权重矩阵中的数值,一般采用两个省份的省会城市间的距离。
在表8全局莫兰指数图中,展示了在两种不同空间权重矩阵下的Moran’s I值,可以得到住房价格均具有明显的空间相关性。同时可以看到在两种矩阵下的Moran’s I值都基本呈现出先升后降的倒“U型”趋势,这可能是由于历次房价的上涨一般都先由高层级区域开始,再逐步向外扩散,同时在房价快速上涨的过程中,各地政府出于经济稳定的考虑出台了不同的调控性政策,但各政策出台的时间以及力度却都存在一定差异,因此导致了近期整体房价空间相关性的降低。


2.局部空间相关性检验
该部分通过输出局部莫兰指数散点图,来直观表现出各省份房价之间的集聚类型。图2分别给出了2000年和2020年我国房价在两种权重矩阵下的莫兰散点图在两种不同的空间矩阵下,房价的分布都主要集中于一三象限,即高房价被高房价包围和低房价被低房价包围,各区域房价基本呈现出显著的低低集聚(LL)和高高集聚(HH)状态,表明房价分布在局域空间上存在均质性特征。

3.空间计量结果分析
在模型选取上参考Silva和Elhorst的研究,分别进行LM、LR、Hausman检验以确定合适的空间计量模型,最终选择空间自回归模型(SAR)和空间杜宾模型(SDM)进行实证分析。并将模型在空间邻接矩阵和地理距离矩阵条件下分别进行回归,回归结果如表9所示。空间自回归系数在SAR和SDM两种模型下根据均显著为正,这表明老龄化对于住房价格的影响存在空间溢出效应。具体分析该回归结果,在空间自回归模型下,第(1)和第(2)列的结果均在1%的条件下显著通过了检验,回归系数分别为-1.002和-1.078,均显著为负,表明人口老龄化对于房价的负向影响存在空间溢出效应。而在空间杜宾模型下,结果如第(3)和第(4)列所示,同样在1%的条件下显著通过了检验,且回归系数显著为负,进一步验证了理论假设4。

自1998年推动住房商品化改革以来,中国房地产市场的发展伴随着老龄化程度的逐步加深和城镇化水平的快速推进,城市大量人口的涌入和人们对于房价上涨的预期推动了房地产市场的繁荣,并在一定程度上掩盖了老龄化对住房价格带来的负向影响。本文从风险规避的视角出发,通过构建租购选择的理论模型,发现随着人口老龄化程度的不断加深,我国住房市场将面临一定下行压力,同时基于实证分析发现并得到以下启示。
首先,老年人口数量的增加和比例的提升将对现有住房市场形成压力。因此。应该针对广大的老年群体开发养老地产,挖掘老年购房市场,从而减缓人口老龄化对于住房市场带来的负向影响。其次,租金的过度波动不利于住房市场的健康良性发展,政府应该一方面完善相关政策法规,避免租金的剧烈波动;另一方面积极推动保障房的建设,营造良好租房环境,促进“租购并举”住房制度的建立。再次,较高的出生率以及人口集聚所带来的住房需求增长可以在一定程度上对冲老龄化对于住房市场带来的下行压力,政府应有针对性地出台鼓励生育政策,同时积极推动新型城镇化,促进区域人口集聚。最后,在时间上随着区域基础设施的不断完善和居住条件的改善,老龄化对于房价的负向影响会逐步减弱。在空间上各区域之间的住房价格存在较强的区域相关性,人口老龄化对房价的负向影响存在空间溢出效应。因此,为了稳定全国住房市场,政府可以及时采取相关政策进行调控。
随着老龄化程度的持续加深,未来支撑住房价格长期上涨的人口结构动能正在逐渐减弱。国家层面应该未雨绸缪,采取预防性措施,转变居民观念,引导人们形成对于房地产市场的合理预期。同时,应多角度出发,从社会保障、货币制度、财税制度、市场供给等多方面统筹安排,以应对人口结构变化对房地产市场带来的影响。还应加快建立长效机制,促进房地产市场平稳运行。