摘 要: 基于2008-2021年西部地区面板数据,采用非期望产出Super-SBM模型和Malmquist指数模型测度物流业效率,利用全局主成分分析法评估物流业低碳化水平,通过构建耦合协调度模型和PVAR模型,实证检验物流业效率与低碳化水平之间的互动关系。结果表明:(1)西部地区物流业动态效率呈波动增长趋势,但静态效率相对较低。(2)物流业低碳化水平在不同地区存在显著差异,重庆、陕西、新疆、四川和甘肃等地区低碳化水平相对较高。(3)物流业静态效率与低碳化水平呈现初级协调状态,并且逐渐向好发展。2013-2021年期间,物流业低碳化发展优先于效率提升。(4)短期内,物流业动态效率对低碳化水平具有一定促进作用,但同时也受到低碳化水平的抑制影响。
物流业是经济发展中的基础产业和先导产业,物流业低碳化发展直接影响我国实现碳达峰和碳中和的目标,因此对物流业低碳化发展问题的研究十分必要和紧迫。随着共建“一带一路”、新时代推进西部大开发形成新格局和“双碳”战略等国家重大部署的实施,西部地区物流业实现快速发展,按不变价核算,2013—2021年,东部、中部、西部和东北地区生产总值分别年均增长7.0%、7.5%、7.7%和4.7%,西部地区发展速度领先于其他区域。2012—2022年,西部地区铁路营业里程从37 340公里增至62 995公里,公路里程从1 685 719公里增至2 318 695公里,高速公路里程从29 190公里增至74 131公里,货物周转量从2 5968亿吨公里增至33 153亿吨公里,交通运输、仓储和邮政业增加值从5558亿元增至10432亿元。同时,西部地区生态环境较其他地区相对更为脆弱,在平衡物流业效率提升和低碳化发展过程中面临的压力和挑战相对更大。2012—2022年,西部地区民用载货汽车数量从499万辆增至914万辆,增速较同期其他区域更大。2022年,全国货车一氧化碳(CO)、碳氢化合物(HC)、氮氧化物(NOx)和颗粒物(PM)排放量分别为191.4万吨、40.5万吨、435.4万吨和4.6万吨,占汽车排放总量的28.6%、23.5%、84.4%和91.2%。
党的十八大以来,习近平总书记在西部省份考察调研时,始终强调生态保护的重要性,将“绿水青山就是金山银山”的理念一以贯之。2020年5月,中共中央、国务院发布《关于新时代推进西部大开发形成新格局的指导意见》,明确要提高基础设施通达度、通畅性和均等化水平,推动绿色集约发展,完善国家物流枢纽布局,提高物流运行效率。同时,落实市场导向的绿色技术创新体系建设任务,推动西部地区绿色产业加快发展,实施国家节水行动以及能源消耗总量和强度双控制度,全面推动重点领域节能减排。因此,全面推进西部地区物流业高质量发展,既要提升物流业效率,也要实现低碳化发展,对贯彻新发展理念,实现中国式现代化西部篇章具有重要的现实意义。
以往文献中对西部地区物流业效率与低碳化水平互动关系的研究较少,相关的研究主要针对低碳约束下物流业效率的研究,且对西部地区的探讨常见于对全国各地区的研究之中。关于全国各地区的研究,如:李健等基于2005—2015年数据,利用SBM模型测算全国30个地区的物流业效率,发现西部地区物流产业效率水平最低,不及东中部地区,区域间发展不平衡。张明明基于2011—2020年数据,对全国30个省份物流业低碳效率进行测算,结果发现西部地区的低碳效率均值较东中部地区更低。李越采用超效率SBM模型对2006—2020年全国30个地区绿色物流效率进行测算,发现西北和西南区域绿色物流效率较其他区域更低。张立国等采用DEA—Malmquist生产率指数分析方法,研究发现2003—2012年中国30个地区物流业的全要素能源效率呈现下降趋势,西部地区能源效率变动最好,其中:宁夏物流业全要素能源效率的改善最好,青海改善最差,规模效率是导致省域差异的主要原因。此外,张瑞等、刘华军等、龚雪等、张亮亮等、刘承良等均以全国各地区物流业为研究对象,所得结论与上述文献大同小异。
针对西部地区的研究,如:高康等利用超效率数据包络分析法,对西部12个地区2006—2017年物流业效率进行测评,发现整体上物流业效率呈现波动上升趋势,除贵州、甘肃、内蒙古和宁夏4个省份有较大的波动外,其余各地区较为平稳。李娟等采用DEA—Malmquist指数法对丝绸之路经济带核心区物流业全要素生产率进行测度,发现生产率增幅较小且存在区域差异,技术效率变动和技术进步是增长的动力源,其中技术效率变动的贡献更大。林秋平等采用DEA—Malmquist模型基于绿色低碳视角对2010—2020年西部陆海新通道省域物流效率进行测度,结果显示整体物流效率处于中等水平并呈上升趋势。董毅明等利用SE—DEA模型对2014—2019年西北五省10个枢纽城市低碳物流效率进行测算,发现城市之间效率差异较大,且考虑碳排放约束时平均技术效率降低了2.7%。王健康运用非期望产出的超效率SBM模型对2013—2020年“一带一路”沿线17个省份物流业低碳效率进行测度,结果显示西部地区各省份效率值均小于1且较其他地区偏低。此外,还有针对西部某一地区的研究,如:周泰将区域物流—生态环境复合系统作为研究对象,通过建立子系统有序度模型和复合系统协调度模型,以四川省为例进行研究,发现该省物流和生态环境处于稳定的协调发展状态,并且协调水平在稳步提高。王瑜等研究了节能减排背景下宁夏物流业碳排放特征,发现碳排放量由大到小依次为柴油、汽油、原煤,各类能源的消耗量比例、运输方式、能源需求结构等因素是引起碳排放下降缓慢的直接原因。
综上所述,近年来,大多数文献将西部地区物流业效率及低碳化发展置于全国范围内探讨比较,或者单独对某一地区进行研究,对西部地区整体发展规律及内部特征和差异的探讨仍不够充分,亟待实证检验。关于低碳约束下物流业效率及全要素生产率的研究较多,尽管鲜有直接探讨其与物流业低碳化水平互动关系的研究,但隐含了二者之间的关联性。以往文献在测算物流业效率时,得到的结论基本一致,即:在考虑能源消耗和碳排放的条件下,物流业效率较不考虑该条件时偏低。该结论表明,物流业效率与低碳约束存在一定关联。那么,物流业效率与低碳化水平之间究竟存在怎样的互动机理呢?从投入产出角度来看,在考虑能源消耗和碳排放条件下,物流业效率的高低取决于能源投入和碳排放产出的结构比例变动。以往有研究发现低碳约束下西部地区物流业效率呈上升趋势,若该结论可靠,则说明存在物流业能源投入减少或碳排放减少的情况,在这两种情况下,物流业低碳化水平将可能提高,进而呈现物流业效率与低碳化水平正相关的关系。但是,也有研究发现西部地区物流业全要素能源效率呈下降趋势,交通运输业碳排放水平呈上升趋势,这意味着西部地区物流业低碳化水平有所下降,呈现出物流业全要素能源效率与低碳化水平正相关的关系。同时,也说明已有研究对西部地区物流业低碳化水平的测算结论存在不一致之处,有必要对物流业效率与低碳化水平的关系进行深入研究和实证检验。因此,深入讨论西部地区物流业效率与低碳化水平关系问题,既有利于观察新发展理念对西部地区物流业效率的影响,也有助于认识新发展阶段西部地区低碳化发展的特征与物流业效率提升的协调与平衡关系,还能进一步发现西部各地区之间的共同特征与典型差异,为各地区因时因地制宜构建物流业新发展格局提供决策参考。
为探究西部地区物流业效率与低碳化水平之间的关系,本文首先构建物流业效率和低碳化水平指标体系,采用考虑非期望产出Super—SBM模型测度物流业静态效率,利用Malmquist指数模型测度物流业动态效率,利用全局主成分分析方法评估物流业低碳化水平。其次,利用耦合协调度模型,考察物流业静态效率与低碳化水平的互动关系。最后,利用PVAR模型,分析物流业动态效率与低碳化水平的互动关系。以下对指标体系构建、研究方法和数据来源进行详细说明。
(一)指标体系构建
1.物流业效率测度指标
借鉴已有研究,选取西部各地区交通运输、仓储和邮政业固定资产投资额、从业人数和能源消费量作为投入指标。选取西部各地区货物周转量和交通运输、仓储和邮政业增加值作为期望产出指标,选取交通运输、仓储和邮政业二氧化碳排放量作为非期望产出指标。在所选指标中,涉及物流业能源消费量和二氧化碳排放量的测算,具体计算方法借鉴周泰的研究,以原煤、汽油、煤油、柴油、天然气和电力等6种能源消耗量和二氧化碳排放量总和分别作为物流业能源消耗和二氧化碳排放总量。以物流作业直接能耗法核算二氧化碳排放量,通过物流业能源消耗量折算值计算物流活动产生的二氧化碳排放量。具体指标如表1所示。

2.物流业低碳化水平测度指标
参考已有文献,物流业低碳化水平可从低碳环境、低碳实力和低碳潜力三个维度进行衡量。其中:低碳环境主要以人均GDP、公路里程密度和铁路里程密度等指标衡量;低碳实力以人均物流业增加值、单位物流业增加值的能源消耗量和单位物流业增加值的二氧化碳排放量等指标衡量;低碳潜力主要以人均GDP增长率、物流业增加值增长率和技术市场成交额增长率等指标衡量。具体指标含义及相应权重如表2所示。
表2 物流业低碳化水平指标体系

(二)研究方法
1.耦合协调度模型
为衡量物流业静态效率与低碳化水平之间的协调程度,构建二者的耦合协调度模型,由该模型测得的耦合协调度来衡量两者之间的耦合协调关系。模型表达式为:

式(1)中:D为物流业静态效率与低碳化水平的耦合协调度,取值范围为0-1。这一耦合协调度是为避免物流业静态效率和低碳化水平在同时取值较小时,出现伪评价结果而在式(2)的基础上测算出来的,以此反映物流业静态效率与低碳化水平的互动协调情况。基于耦合协调度测度结果和相关文献的考量,将耦合协调度D划分成10个等级。随耦合协调度D的提升,耦合协调等级逐渐由失调过渡至协调,具体等级划分如表3所示。
表3 耦合协调关系等级划分

式(1)中的C是物流业静态效率与低碳化水平的耦合度,T为二者组合形成的综合协调指数,计算公式分别如式(2)和式(3)所示。其中,U1为物流业静态效率指数,U2为低碳化水平指数。

式(3)中:α表示物流业静态效率的重要程度,β表示物流业低碳化水平的重要程度。文中取α=β=0.5,表示物流业静态效率与低碳化水平同样重要。
在测算物流业静态效率与低碳化水平耦合协调度的基础上,为进一步明确优化耦合协调模式的发展着力点,文中使用U1/U2来衡量物流业静态效率相对于低碳化水平的优先或滞后程度。当U1/U2>1时,表明物流业静态效率优先于低碳化水平,此时优化耦合协调模式的关键是提升物流业低碳化水平;当U1/U2=1时,表明两者的发展同步;当U1/U2<1>
2.面板向量自回归模型
面板向量自回归模型(PVAR)不依赖于任何先验的经济理论,将所有变量均视为内生,能够分解出各个冲击变量对响应变量的影响,从而得到排除其他因素干扰的影响因子,能够反映出各变量之间的“纯粹”关系。模型设定如下:

式(4)中,Zit=(leit,lci)是基于面板数据2×1的变量向量,i表示地区,t表示年份,leit表示物流业动态效率值,lci表示物流业低碳化水平值,p表示滞后期数,βo表示截距向量,βj表示滞后变量的系数矩阵,fi为个体效应,dt为时间效应,eit为随机干扰项。
(三)数据来源与说明
以上各指标数据来源于《中国统计年鉴》《中国能源统计年鉴》《中国第三产业统计年鉴》以及西部各地区统计年鉴。由于西藏部分数据缺失,本研究范围为西部11个省份。研究时期为2008—2021年,是由于2007年党的十七大报告中首次将建设生态文明作为实现全面建设小康社会奋斗目标,而且,2009年国务院发布《物流业调整和振兴规划》,之后我国物流业进入新的发展阶段。本文分别利用MATLAB软件和SPSS软件测算物流业效率值和低碳化水平值,利用Stata软件估计面板向量自回归模型,借助世界银行Love和Zicchino的PVAR程序及连玉君的PVAR2程序实现。
(一)物流业效率测度分析
1.物流业静态效率测度
利用非期望产出Super-SBM模型对2008—2021年西部地区物流业静态效率值进行测度,结果如表4所示。从表中可知,2008—2021年期间,物流业静态效率值大于或等于1的地区较少,仅有内蒙古、宁夏、甘肃等地区在个别年份效率值大于1,表明西部地区物流业发展普遍处于资源配置无效状态。尽管如此,在西部各地区之间,物流业效率的变化趋势仍存在一定差异特征。从各地区效率值来看,每年大于均值的地区数量基本保持在4—6个,其中内蒙古和甘肃等地区效率值始终大于均值,其他地区则呈现动态变化特征。从各地区物流业静态效率值排序来看,内蒙古排序靠前,陕西、重庆等地区排序有所上升,广西和甘肃等地区排序靠前但有所波动,宁夏和青海等地区排序有所下降,新疆、贵州、云南和四川等地区排序靠后且基本稳定。

2.物流业动态效率测度
利用Malmquist指数模型测度得到物流业动态效率值,结果如表5所示。从表中可知,2009—2021年期间,西部地区物流业动态效率平均值为0.999。期间除2009年、2012—2015年和2019年以外,其他年份均大于1,表明总体上西部地区物流业动态效率呈波动变化趋势,且2016—2021年处于波动增长态势。分地区来看,研究期内内蒙古、陕西、重庆、广西、云南和贵州等地区物流业动态效率平均值大于1,表明这些地区物流业动态效率处于增长态势,其他地区物流业动态效率平均值小于1,且波动趋势较大,表明各地区之间的差异较为明显。
表5 西部地区物流业动态效率值

(二)物流业低碳化水平分析
首先利用极差方法对原始数据进行标准化,之后采用全局主成分分析方法对各指标进行主成分变换。KMO和Bartlett的检验结果显示,Kaiser-Meyer-Olkin值为0.559,Bartlett检验值近似卡方为1120.621(df=36,Sig.=0.000),说明模型具有可靠性。模型提取出4个主成分的累计方差贡献率为83.719%,说明4个主成分能够在一定程度上综合变量的大部分信息。如表6所示,各地区物流业低碳化水平排序中,重庆、陕西、新疆、四川和甘肃等地区排序靠前,贵州、青海和云南等地区排序靠后。
表6 西部地区物流业低碳化水平排序

(一)物流业静态效率与低碳化水平的耦合协调分析
1.西部整体层面耦合协调度的时序特征
根据耦合协调度模型的测度结果,得到2008—2021年西部地区物流业静态效率U1与低碳化发展水平U2的耦合协调度平均值
,如表7所示。从
的变化趋势来看,2008—2021年,西部地区物流业静态效率与低碳化水平耦合协调度值在0.628—0.699之间波动,波动态势大致经历了升、降、升的“N”型轨迹,其中:2008—2011年期间,二者耦合协调度值有所上升,之后至2015年,二者耦合协调度值降至0.628,之后除2019—2020年略有下降外,总体上呈上升趋势,2021年升至0.699。以上结果表明,西部地区物流业静态效率与低碳化水平整体上处于初级协调等级,且2015—2021年处于向好发展态势。从U1和U2的变化趋势来看,2008—2015年,物流业静态效率U1有所下降,2016—2021年有所上升;2008—2021年,物流业低碳化水平U2呈现缓慢波动上升态势。从U1/U2的变化趋势来看,U1/U2总体上呈下降态势,表明物流业静态效率与低碳化水平的变化并不同步,始终处于失衡状态。其中:2008—2012年,U1/U2>1,表明物流业低碳化水平滞后于物流业静态效率,属于效率优先型发展;2013—2021年,U1/U2<1>

2.西部地区层面耦合协调度的时序特征
2008—2021年西部地区物流业静态效率与低碳化水平耦合协调度的演变态势如图1所示。结合表7和图1可知,多数地区耦合协调度的演变态势与西部整体层面基本一致,呈现“N”型发展轨迹。2013年以后,内蒙古、重庆和陕西等地区物流业静态效率与低碳化水平耦合协调度增速较快,其他地区呈现波动性增长态势。其中:内蒙古自治区2018—2021年达到良好协调等级,重庆市除个别年份外达到中级协调等级,陕西和广西除个别年份外2013—2021年达到中级协调水平,宁夏回族自治区除个别年份外处于中级协调或良好协调等级,甘肃和贵州2个地区处于初级协调或中级协调等级,云南、新疆、四川和青海等地区较多年份处于勉强协调等级。可见,除云南和青海的个别年份处于濒临失调状态外,西部其他地区物流业静态效率与低碳化水平耦合协调度均大于0.5,处于勉强协调等级之上。但是,各地区之间存在较为明显的差异性,其中:内蒙古、重庆、陕西、广西和宁夏等地区的协调度明显高于西部整体平均水平,云南、新疆、四川和青海等地区的协调度较多年份则低于西部整体平均水平。

图1 西部地区物流业静态效率与低碳化水平耦合协调度
(二)物流业动态效率与低碳化水平的PVAR分析
1.平稳性检验
为避免出现伪回归现象,利用单位根检验进行数据的平稳性检验,同时使用LLC(Levin-Lin-Chu)检验、ADF-Fisher(Augmented Dickey-Fuller-Fisher)检验、PP-Fisher(Phillips Perron-Fisher)检验和IPS(Im-Pesaran-Shin)检验,结果显示,除物流业低碳化水平(lc)未通过ADF-Fisher检验外,其他均通过显著性检验,综合判断物流业动态效率(lm)和低碳化水平(lc)均为平稳数据,满足构建PVAR模型的条件(表8)。
表8 变量平稳性检验

2.模型滞后期选择及稳健性检验
根据PVAR模型的原理,在建立模型前,先要确定模型的最佳滞后阶数,若滞后期过大,会造成自由度过度损失,影响模型估计的有效性;若滞后期过小,会使样本数据损失过多。因此,根据MBIC、MAIC和MQIC准则,确定模型的最优滞后阶数。如表9所示,当滞后期数为1时,MBIC、MAIC和MQIC值最小,故构建滞后1期的PVAR模型。为提高模型估计、脉冲响应与方差分解的有效性,对模型稳健性进行检验,如图2所示,所有特征根均在单位圆内部,表明模型具有较强的稳健性。
表9 不同准则下模型滞后期选择


图2 PVAR模型稳定性检验
3.模型GMM参数估计
根据滞后期数,利用广义矩估计(GMM)构建物流业动态效率与低碳化水平的PVAR模型,工具变量过度识别Hansen检验卡方值为37.7849(p=0.103),表明模型是可靠的。如表10所示,当物流业动态效率(lm)为被解释变量时,滞后1期的物流业动态效率(L.lm)对自身的影响为正向,且在10%水平下显著,表明前期的物流业动态效率对后期效率提升具有一定促进作用;滞后1期的物流业低碳化水平(L.lc)对当期物流业动态效率的影响为负向,且在1%水平下显著,表明物流业低碳化水平的提升对物流业动态效率具有一定抑制影响。当物流业低碳化水平(lc)为被解释变量时,滞后1期的物流业动态效率对低碳化水平的影响为正向,且在1%水平下显著,表明物流业动态效率对低碳化水平具有一定促进作用;滞后1期的物流业低碳化水平对当期的动态影响为正向,且在5%水平下显著,表明前期的物流业低碳化水平对后期低碳化水平提升产生积极影响。
表10 GMM估计结果

4.脉冲响应分析
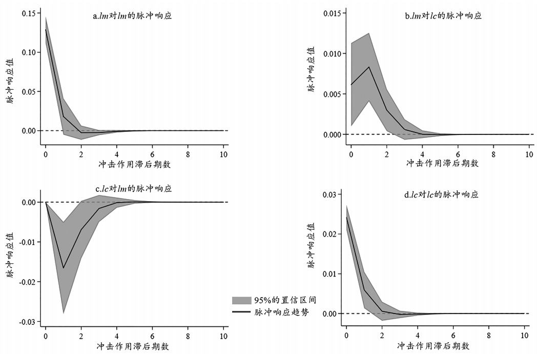
利用脉冲响应函数进一步分析物流业动态效率与低碳化水平的互动关系,利用蒙特卡洛方法,通过200次模拟得到西部地区物流业动态效率与低碳化水平的脉冲响应图,如图3所示。从物流业动态效率(lm)来看,当面对自身一个标准差冲击时,其响应为正向,这种影响逐渐减弱,至第10期趋近于0,即物流业动态效率提升对自身具有一定促进作用,这种影响随着滞后期数的增加快速减弱;当受到物流业低碳化水平(lc)冲击时,其响应为负向且在滞后1期达到最大,之后负向影响快速减弱至0,即物流业低碳化水平对动态效率具有一定抑制影响,但这种影响随着滞后期数的增加快速减弱。从物流业低碳化水平(lc)来看,当面对自身一个标准差冲击时,其响应为正,这种影响逐渐减弱,至第10期趋近于0,即物流业低碳化水平对自身具有一定促进作用,但这种影响呈现快速减弱态势;当受到物流业动态效率(lm)冲击时,其响应为正且在滞后1期达到顶峰,随后影响逐渐减弱,即物流业动态效率对低碳化水平具有一定促进作用。以上结果表明,西部地区物流业动态效率与低碳化水平各自受到自身的惯性影响,短期内物流业动态效率的改善有利于低碳化水平的提高,但物流业低碳化水平的提高对物流业动态效率的改善具有一定抑制影响。

图3 西部地区物流业动态效率与低碳化水平的脉冲响应
5.方差分解分析
方差分解通过测度冲击变量对内生变量变化的贡献程度,进而识别各冲击变量对内生变量的相对重要性,有助于剖析物流业动态效率与低碳化水平之间的相互影响程度。选取预测期数为10期,探究二者的联动关系,结果如表11所示。由表11可知,第4期之后的方差分解结果相同,说明模型中两个变量的冲击影响趋势逐渐平稳,即物流业动态效率与低碳化水平的关系趋于稳定,再次验证了PVAR模型的稳健性。从物流业动态效率(lm)的方差分解来看,物流业动态效率对自身的贡献率在第4期达到顶峰的98.12%,反映出物流业动态效率较强的惯性特征;低碳化水平对物流业动态效率的贡献率较小,缓慢增至第4期达到最大,且稳定在1.88%。从物流业低碳化水平(lc)的方差分解来看,物流业低碳化水平对自身的贡献率在第1期达到顶峰的93.96%,之后快速下降,至第4期稳定在84.24%,与物流业动态效率类似,也具有依自身惯性发展的态势;物流业动态效率对低碳化水平的贡献率第1期为6.04%,之后快速增加,至第4期达到最大并稳定在15.76%。总体来看,西部地区物流业动态效率和低碳化水平对自身的影响程度较大,物流业动态效率对低碳化水平的方差解释力度相对更大,物流业低碳化水平对物流业动态效率的解释力度相对较小。

本文研究结果表明,西部地区物流业效率与低碳化水平的互动关系是复杂的,二者之间仍处于初级协调状态,但处于向好发展态势。短期内,物流业低碳化水平对效率提升具有一定抑制影响,但物流业效率提升对低碳化水平起到促进作用,以下从三个方面讨论导致以上现象的深层次原因。
(一)物流业效率与低碳化水平处于初级协调状态的原因
一是,市场竞争更加激烈。大多数中小物流企业会优先考虑降低成本以提高竞争力,而非立即投入大量的资源进行低碳化转型。二是,缺乏统一标准。物流业低碳化发展理念已深入人心,但“低碳物流”仍缺乏统一的标准,使得企业在投资决策、运营管理以及与企业合作过程中面临诸多挑战。三是,平衡低碳化发展与效率提升的难度较大。受到运营成本、技术瓶颈、市场竞争以及管理能力等多重因素制约,加之各地区之间产业结构、基础设施水平参差不齐,使得物流企业在平衡低碳化发展与效率提升之间面临挑战。
(二)物流业效率提升促进低碳化发展的原因
一是,数字物流技术创新的推动作用。研究表明,西部地区2011—2021年数字物流水平有所提升,且数字物流对物流业碳排放具有显著抑制作用,因此,物联网、云计算、大数据、人工智能以及区块链等数智技术与物流业融合创新与广泛应用,能够有助于物流业减少能源消耗和污染物的排放,进而提升物流业低碳化水平。二是,流程优化带来的好处。通过改进物流运作流程,例如共同运输、合理规划路线、使用节能设备等,可以同时提升效率和降低碳排放。三是,绿色物流理念的落实。高效的物流系统更倾向于选择环保的运输方式和包装材料,这也有助于实现物流业低碳化发展。
(三)物流业低碳化发展抑制效率提升的原因
一是,初始投资较大可能导致效率提升受阻。为实现低碳化发展,物流企业往往需要进行大量投资,如购买新能源车辆、改造设施等,这可能会在短期内影响其运营效率。二是,法律法规的限制。政府为鼓励低碳物流,制定一系列规定和措施,比如限制传统燃料车辆的使用,这可能会给企业带来一定的成本压力。三是,技术成熟度的局限。物流业低碳技术还不够成熟,应用起来存在一定的风险和不确定性,这对企业运营效率产生一定阻碍。
(一)结论
1.研究期内,从物流业效率来看,西部各地区物流业静态效率普遍较低,仅有内蒙古、宁夏等地区在个别年份效率值大于1,物流资源配置有效。各地区物流业动态效率呈现显著波动特征,2016—2021年期间多数地区动态效率值大于1,呈现波动增长趋势。从物流业低碳化水平来看,各地区之间呈现一定差异,重庆、陕西、新疆、四川和甘肃等地区低碳化水平相对较高。
2.研究期内,西部地区物流业静态效率与低碳化水平总体上呈现初级协调状态,并逐渐向好发展态势。从变化趋势来看,二者协调度值在0.628—0.699之间波动,整体上经历了“N”型变化轨迹。从优先次序来看,2008—2012年期间物流业效率优先,物流业低碳化发展滞后;2013—2021年期间物流业低碳化发展优先,物流业效率滞后。从地区差异来看,内蒙古、重庆、陕西和广西等地区物流业效率与低碳化水平协调发展程度相对更好。
3.研究期内,西部地区物流业动态效率对低碳化水平具有显著促进作用,且在滞后1期正向影响最大,之后逐渐减弱;物流业低碳化水平对物流业效率提升产生一定抑制影响,且在滞后1期负向影响最大,之后亦逐渐减弱。从方差分解来看,物流业效率与低碳化水平提升均受到各自较大的惯性影响,物流业动态效率对低碳化水平提升的贡献达15.76%,物流业低碳化发展对物流业效率提升的解释力较小。
(二)启示
西部地区生态环境较东部和中部地区更为脆弱,物流业低碳化发展的挑战和压力更大,但西部地区低碳化发展却关乎国家全面推进“双碳”战略实施的全局。推动实现物流业效率提升与低碳化发展的良性协调与平衡,是西部地区深入贯彻新发展理念,推动物流业高质量发展的重要抓手。本文的研究结论,带来以下政策启示。
1.推动物流业效率与低碳化水平优质协调发展。推动物流领域数字技术与低碳技术的深度融合,加快构建低碳、高效、智慧的现代物流服务体系。一是,推进能源管理智能化,整合新能源汽车、智能充电桩、节能型仓储设施等低碳技术,运用物联网、大数据分析技术进行能耗监测与优化,实现物流全链条的节能减排。二是,优化物流路径与调度,借助AI算法、大数据分析以及GIS技术,精准规划和实时调度运输路线,降低空驶率和无效运输,从而减少碳排放。三是,发展绿色包装与循环利用,推广使用环保材料,利用数字化手段追踪包装物生命周期,推动包装标准化和循环共用,减少一次性包装材料的使用。四是,建设绿色智慧园区,依托5G、物联网等新一代信息技术,打造集绿色建筑、分布式能源、智能微电网于一体的低碳智慧物流园区。五是,构建全链条碳足迹追踪系统,利用区块链等技术,建立从源头到终端的全程可视化碳足迹追踪体系,为企业和个人提供碳排放信息,鼓励低碳消费行为。六是,政策引导与标准制定,鼓励和支持数字物流与低碳技术的深度融合,制定相关行业标准和规范,为物流业低碳化发展创造良好的外部环境。
2.推动物流业低碳化发展的同时,缓解其对效率提升的抑制作用。一是,提供财政支持,鼓励民营资本投资,完善市场机制。通过提供财政补贴、低息贷款或税收减免等手段,降低企业进行低碳化改造的初始投资成本。加大社会资本投资力度,减轻企业的负担。鼓励企业利用碳交易市场,通过出售碳排放权获得额外收入,用以抵消部分投资成本。二是,加强政策协调,完善激励机制。确保政府各部门之间的政策协调一致,避免因政策冲突而导致的效率损失。探索设立环保奖励基金,鼓励企业在遵守法规的前提下,积极采用低碳技术。三是,引进国外先进技术,同时推动产学研合作,加快技术攻关。通过国际合作,引进并吸收国际先进的低碳物流技术和管理经验。建立产业联盟,促进高校、研究机构和企业之间的交流与合作,加快科技成果的转化。
3.推动西部各地区物流业区域协调发展,缩小地区差异带来的效率损失。一是,加强各地区之间的基础设施无缝连接,提高基础设施的连通性,以降低运输成本和时间,提高物流效率。优化交通网络布局,减少无效运输和空驶现象,切实减少碳排放。二是,推动物流业跨区域合作。通过资源共享和产业协同,降低物流成本,提高整体效益。各地区开展深度合作,共同推进物流业的低碳化进程。三是,注重各地区政策法规及执法体系之间的衔接。加大政策间的区域协调力度,形成一致的发展导向,避免政策冲突带来的困扰。持续优化营商环境,为企业发展提供稳定的预期。加强各地区执法体系之间的衔接,防止“政策套利”现象,保证公平竞争。