
(二)理论分析与研究假说
产业链链长制政策影响企业绩效可能存在技术创新、数字化转型、政府补贴以及降低成本四方面的作用机制。第一,技术创新作用机制。技术创新,特别是实质性创新与突破性创新的不确定性较高,需要长期的研发投入与技术积累,对企业资本、研发人员、科研平台以及技术存量等提出了较高的要求。在产业链中,“链主”企业具有较高的产业链主导控制力,其技术创新水平相较于产业链上下游企业更高,在企业资本、研发人员、科研平台以及技术存量等方面也具有明显的优势。基于产业组织的关联关系与产业空间的地理关系,“链主”企业对属地其他企业以及上下游企业具有较强的正外部性,主要通过劳动力流动、知识交流等方式产生显性知识与隐性知识的溢出效应,进而提升其他企业的创新水平与全要素生产率。在共性技术研发方面,“链主”企业积极搭建公共创新平台,联合上下游企业开展共性技术研发和科技成果转化,有助于激发产业链上下游企业的创新活力。譬如华为提出从原有的“生态合作”演化为“生态协同”,不断构建协同创新生态,协同带动链上企业进行研发创新。此外,产业链链长制政策的出现,也在要素供给、金融支持、人才招引、打通成果转化“最后一公里”等方面给企业创新提供了坚实的保障,有助于缓解融资约束对企业研发投入产生的抑制作用,提升企业创新的积极性。譬如深圳市明确实施清单式排查、矩阵式布局的“链长制”,发挥产学研深度融合优势,按照“理技融合、研用结合”,建立纵横交错、互联互通“创新联合体”;南京市率先成立创新产品推广办公室,为八大重点产业链的企业创新产品提供专场推介与供需对接等服务,从需求侧有效激发了企业创新活力。作为现代经济增长的核心,技术创新有助于提升企业的生产效率,所带来的技术垄断利润以及专利费用有助于提升企业经营绩效,该结论在现有研究中已经形成基本共识。因此,产业链链长制政策影响企业绩效的过程中可能存在技术创新作用机制。基于上述分析,本文提出研究假说1。
研究假说1:产业链链长制政策可以通过推动技术创新来提升企业经营绩效
第二,数字化转型作用机制。在新发展阶段,面对新形势与新要求,数字化转型已不是“选择题”,而是关乎企业生存和长远发展的“必修课”。产业数字化本质是应用数字技术进行全方位、多角度、全链条的改造过程,其核心在于数字技术,包括人工智能、大数据、云计算、物联网等新兴技术。与一般性技术创新不同,数字技术是多个学科领域交叉融合以及多主体协同创新的产物,这给“链长”与“链主”发挥作用提供了充足空间。链长制政策是产业链数字化的重要制度供给,从过去几年的探索实践来看,“链长”在协同推进产业数字化方面发挥了重要作用,譬如江门市创新“链长制”+数字化转型工作机制,将企业数字化转型需求列入服务企业重点任务清单,五个细分行业“链长”聚焦企业数字化转型问题,统筹协调相关力量进行攻关,在引领产业“链式”数字化转型取得了较好成效。而“链主”企业本身具有独特的数字化平台优势与技术创新优势,对其他企业数字化转型可能存在溢出作用或示范效应。同时“链主”企业也能够通过产业关联的形式推动或者倒逼产业链上下游企业的协同数字化转型,进而实现比翼齐飞的效果。从实践来看,各级政府正不断引导龙头企业发挥好“链主”作用,并且越来越多“链主”企业利用自身优势与经验赋能中小企业,形成对上下游相关主体的重要支撑。譬如上海建工、广药集团等一批“链主”企业正不断打造产业链数字化新生态,发挥“链主”企业新担当。数字化转型至少在以下两个方面对企业经营绩效产生影响,一是数字化转型有助于增强企业与上下游企业的关联关系,拉进企业与客户之间的距离,进而提升企业的市场反应速度以及加快产品与技术的更新步伐,这对于企业保持持续竞争力以及抢占市场份额发挥了至关重要的作用。二是利用数字技术与“数据”要素,可以对企业现有业务流程进行改造升级,优化并加快企业的生产与决策过程,提升企业组织效率、生产运营效率以及市场获利能力。因此,产业链链长制政策影响企业绩效的过程中可能存在数字化转型作用机制。基于上述分析,本文提出研究假说2。
研究假说2:产业链链长制政策通过推动数字化转型来提升企业经营绩效
第三,政府补贴作用机制。聚力推进重点产业链的“强链、补链、连链、延链”以及优质企业的梯度培育是产业链链长制政策的核心工作,各地区在产业链链长制政策实践过程中,围绕这些中心工作,往往会定制化出台一些专项行动计划、专项扶持政策。譬如在“强链、补链、延链”方面,深圳市围绕5G产业链关键环节“补链”,以资金补贴的方式进行支持,明确“补链”的重点环节和相关攻关项目资金支持额度。鼓励企业围绕基站基带芯片、基站射频芯片、光通信芯片、服务器CPU、服务器存储芯片、电路类元器件等展开研发攻关,支持企业参与上述技术攻关项目,资助金额最高不超过3000万元。充分发挥市级财政专项资金作用,连续5年每年投入10亿元用于支持深圳市5G产业发展。在企业梯度培育方面,《德清县“5+N”产业链链长制工作方案(2022—2026年)》中,明确提出要加快企业培育,推进“双金”“雄鹰”“小巨人”“单项冠军”梯度升级。2022年全县兑现涉企政府补助补贴资金达到10.3亿元,占全县年度一般财政公共预算支出比重达到10%以上。政府补贴至少在以下两个方面对企业经营绩效产生影响,一是在企业盈利和生存空间逐渐收窄的市场环境下,政府补贴有助于改善企业现金流情况,通过资本积累扩大发展,进而提升企业经营绩效。二是通过政府补贴、税收优惠等扭曲市场价格的方式有助于激励企业投资水平趋向社会最优投资水平,增强企业创新动力进而提升企业经营绩效。因此,产业链链长制政策影响企业绩效的过程中可能存在政府补贴作用机制。基于上述分析,本文提出研究假说3。
研究假说3:产业链链长制政策通过获取政府补贴来提升企业经营绩效
第四,降低成本作用机制。“链长”的顶格协调与“链主”企业的集聚效应是产业链链长制政策降低
企业成本两大关键,在“链长”顶格协调方面,地方重点产业链通常会由各级党政负责人担任“链长”,“链长”负责将行业协会、专家学者、龙头企业以及中小企业等主体聚集到一起,共同研究相关产业发展的现实问题,对未来形势作出科学研判。然后,地方政府再根据研究结论以及来自企业的底层诉求,精准地进行新的政策制定或旧的政策改进,这对于企业而言,最直接的影响就是成本的降低,譬如新冠病毒爆发期间,企业的复工复产与投资建设离不开“链长”的协调与政策的支持。在产业链链长制政策出台之前,企业办事大都需要找多个部门(税务、工商、社保、质量监督等),办事的周期相对较长,时间成本也相对较高。然而在产业链链长制政策出台之后,由“链长”来进行多部门协调就能够快速地解决这些问题,有效降低企业办事的时间成本与协调成本。在“链主”企业的集聚效应方面,“链主”企业能够通过产业关联关系降低同行业其他企业的生产成本,譬如京东方、蔚来以及维信诺等“链主”企业的出现,吸引并带动了大量与之配套的企业集聚在合肥,有效降低了配套企业的物流成本与营销成本,缩短了配套企业的成长周期。此外,“链主”企业也可以帮助本地企业降低节约中间产品的采购成本,以及通过溢出的方式降低同行业其他企业的用工成本与知识学习成本。根据Porter的研究,成本领先是企业塑造竞争优势进而提升企业经营绩效的重要途径。同时从会计学的角度看,成本是企业利润的减项,成本降低有助于提高企业利润。11因此,产业链链长制政策影响企业绩效的过程中可能存在降低成本作用机制。基于上述分析,本文提出研究假说4。
研究假说4:产业链链长制政策通过降低成本来提升企业经营绩效
本文基于产业链链长制政策这一外生冲击,构建多期双重差分模型检验产业链链长制政策影响企业绩效的因果效应,基准模型设定如下:
其中,i表示企业,t表示年份,j表示省份,k表示行业。被解释变量Roe表示企业绩效,参考现有文献的常用测度方法,本文在基准回归中采取净资产收益率Roe来衡量企业绩效。为了排除变量测度对基准结论的影响,本文在稳健性检验中,还采用了总资产收益率Roa来衡量企业绩效。主解释变量Chain为产业链链长制政策,具体测度方法见下文。为了控制行业特征、省份特征以及宏观经济冲击的影响,本文在基准模型中加入了行业、省份与年份固定效应。ε为随机干扰项,用以刻画其他非特异因素。本文关注β1系数的估计结果,如果β1系数显著为正,则说明产业链链长制政策有助于改善企业经营绩效。
模型(1)估计结果的可靠性必须建立在平行趋势假设得到满足的前提下,即在产业链链长制政策实施前实验组与控制组的企业绩效变化趋势要保持一致。由此,本文借鉴Beck et al的做法,采用事件研究方法进行平行趋势检验,具体模型设定如下:

其中,政策实施窗口before和after为一组虚拟变量,beforeiht(h=2,3,4,5)表示第t年为企业i受政策影响的前h年,afteriht(h=1,2,3)表示第t年为企业i受政策影响的后h年,current表示产业链链长制政策实施当年。本文以产业链链长制政策实施前1期为基期,并对政策窗口期以外的观测值作两端收尾处理,其余各变量的设定与模型(1)相同。模型(2)不仅可以观察产业链链长制政策实施前实验组与控制组的企业绩效变化趋势,即平行趋势检验,而且可以观察产业链链长制政策实施后在不同时段影响企业绩效的动态效应,即动态效应检验。
(二)变量定义
1.产业链链长制政策
考虑到政策效应可能存在滞后性,本文将2020年之前实施了产业链链长制政策的地区企业作为实验组,其余地区企业作为控制组。如果企业i所属地区在t时期开始实施了产业链链长制政策,则将t期之后的政策变量Chainit赋值为1,否则赋值为0,各地区产业链链长制政策的实施时间如表1所示。政策变量Chainit的系数估计值β1即为DID的平均处理效应,旨在捕捉产业链链长制政策对企业绩效的实际影响。
2.控制变量
为了更好地识别产业链链长制政策对企业绩效的影响,本文还需控制其他可能影响企业绩效的特征变量。参考尹美群等与李琦等研究,本文在基准模型中控制了企业规模、企业年龄、负债比率等企业特征变量,同时控制了董事会规模、两职合一等治理结构变量。此外,行业竞争与地区市场化水平也是影响企业绩效的重要外部因素,因此,本文进一步控制行业竞争与地区市场化两个指标。变量的具体测度方法如表2所示。

(三)数据来源与描述性统计
考虑到其他地区的产业链链长制政策文件获取难度较大,部分地区官网未披露相关政策文件,无法直接判断其是否实施了产业链链长制政策以及政策实施的具体时间。因此,本文选择全国百强城市的沪深两市A股上市公司作为基础样本,样本区间为2013—2021年。遵循研究惯例,剔除了ST与PT异常样本、金融保险类样本以及主要变量缺失的样本。并且对连续变量进行1%和99%分位的极端缩尾处理。其中企业基础数据来源于CSMAR数据库,市场化指数数据来源于王小鲁等发布的中国分省份市场化指数报告。表3报告了主要变量的描述性统计结果,从中可以发现,被解释变量企业绩效Roe的最大值0.328,最小值为-0.740,均值为0.059,标准差为0.133,说明不同企业的经营绩效差异较大。产业链链长制政策Chain的均值为0.040,说明在全样本中受政策影响的企业样本相对较少,后续本文也对小样本估计偏误问题进行了检验。

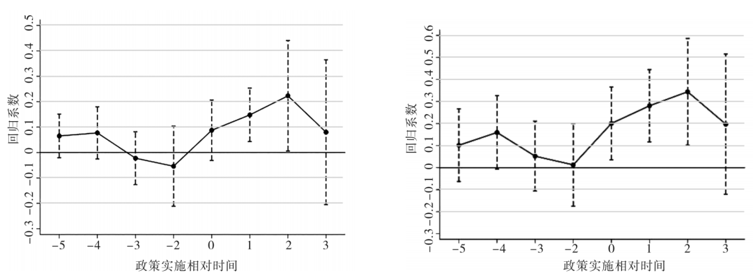
(一)平行趋势与动态效应检验
本文将产业链链长制政策作为准自然实验,在利用双重差分法检验该政策对企业绩效的影响前,需满足平行趋势假说。图1展示了平行趋势与动态效应检验结果,其中左图为控制行业、省份以及年份固定效应的估计结果,右图为控制企业与年份固定效应的估计结果,可以发现,无论是控制行业、省份与年份固定效应,还是控制企业与年份双向固定效应,在政策实施前核心解释变量的系数估计值均不显著,说明在产业链链长制政策实施前实验组与控制组的企业绩效变化趋势保持一致,满足平行趋势假定。在政策实施后核心解释变量的系数估计值在不同程度上显著为正,说明产业链链长制政策有助于提升企业经营绩效,并且这种促进作用在政策实施后两年表现得更为强劲。此外,由于产业链链长制政策在实施当期就对企业绩效产生了正向促进作用,此时由遗漏变量驱动结果的概率就相对更低,较好地排除了遗漏变量对基本结论的干扰。
图1 平行趋势与动态效应检验结果
本文借助模型(1)考察产业链链长制政策对属地企业绩效的影响,检验结果如表4所示。表4采用了逐步加入控制变量的方法,第(1)列为未加入控制变量的模型估计结果,产业链链长制政策Chain的系数估计值为0.011,在5%的显著性水平上显著为正,说明产业链链长制政策有助于提升企业经营绩效。第(2)列为加入企业规模、财务杠杆等财务指标之后的模型估计结果,产业链链长制政策Chain的系数估计值为0.012,且仍然在5%的显著性水平上显著为正。第(3)—(4)列为进一步加入企业基本特征与治理结构变量之后的模型估计结果,产业链链长制政策Chain的系数至少在5%的显著性水平上显著为正。为了控制行业竞争与地区市场化建设对企业经营绩效的影响,第(5)进一步控制了行业竞争与市场化变量,产业链链长制政策Chain的系数仍然在5%的显著性水平上显著为正。因此,综合来看,无论是否增加控制变量,主解释变量的系数估计值均显著为正,这意味着产业链链长制政策在实践过程中取得了较好的成效,在其他因素不变的条件下,产业链链长制政策有助于提升企业经营绩效。

注:***、**、*分别表示相关系数在1%、5%、10%的水平下显著;括号内数字为标准误。
(三)稳健性检验
1.安慰剂检验
为了检验产业链链长制政策的企业绩效促进效应是否为其他因素导致,本文采取两种方式进行安慰剂检验。第一,借鉴Wang et al的方法,人为地将产业链链长制政策的实施年份提前1—3期进行安慰剂检验。思路如下:如果基准结果来自其他因素的干扰,在更换产业链链长制政策的实施年份之后,也应当能够观察到虚假政策的企业绩效促进效应,在这种情况下,基础回归中的正向关系就不能得出“产业链链长制政策是企业绩效提升的原因”的基本结论。反之,如果不存在这种作用,那么就可以排除其他潜在干扰因素的影响。表5报告了政策实施年份提前1—3期的安慰剂检验结果,其中第(1)—(2)列为产业链链长制政策提前一期的模型估计结果,无论是否增加控制变量,虚假政策变量Chain_1的系数估计值均不显著为正;第(3)—(4)列为产业链链长制政策提前两期的模型估计结果,无论是否增加控制变量,虚假政策变量Chain_2的系数估计值均不显著;第(5)—(6)列为产业链链长制政策提前三期的模型估计结果,无论是否增加控制变量,虚假政策变量Chain_3的系数估计值仍然不显著。综合来看,当人为地将产业链链长制政策提前1—3期时,所形成的虚假政策变量对企业绩效均不具有解释力,由此说明基准结果中产业链链长制政策的企业绩效促进效应并非其他因素导致。

第二,本文借鉴Li et al、吕越等的做法,通过随机分配实验组样本和实验时间的方式进行安慰剂检验。具体地,打乱产业链链长制政策的实施地区与实施年份,并随机进行1000次抽样,从而构建1000个安慰剂检验的虚假解释变量。如果随机生成的虚假解释变量仍然对企业经营绩效具有较强的解释力,则可认为企业绩效的提升并非产业链链长制政策所致,而可能是其他因素的影响结果。图2为随机生成虚假解释变量的估计系数的核密度分布,从左图可以发现,1000个虚假解释变量系数估计的t统计量均值接近于0,说明绝大部分虚假解释变量的系数估计值均不显著,而基准回归中真实政策变量系数估计的t统计量为2.52;从右图可以发现,1000个虚假解释变量的系数估计值均聚集在0附近,且均值趋近于0,远小于真实回归系数0.012。由此说明,本文的估计结果具有较高的可信度,基准模型中企业绩效的提升并非其他因素所致,而是产业链链长制政策的影响结果。

2.小样本估计偏差
考虑到本文产业链链长制政策变量的均值为0.040,为避免估计结果受小样本估计偏差的影响,本文参考刘海建等的做法,随机从实验组中挑选200家企业,并将其与对照组企业进行回归,计算出新的估计系数与t统计量。图3展示了重复1000次上述过程的估计结果分布图,其中左图为产业链链长制政策变量估计系数的t统计量分布情况,可以发现绝大部分新生成的政策变量估计系数的t统计量聚集在2附近,说明绝大部分新生成的政策变量都可以通过显著性检验。右图为产业链链长制政策变量估计系数的分布情况,可以发现绝大部分新生成的政策变量估计系数聚集在真实值0.012附近,与本文真实回归系数保持高度一致,说明本文基准结论并非源于小样本的偶然因素。


4.排除其他政策影响
需要指出的是,产业链链长制的政策效果评估过程中,在时间与空间上均可能存在与之重叠的其他政策,忽视这些重叠的政策可能会导致遗漏变量偏差,从而带来对产业链链长制政策效应的误判。譬如,比较有代表性的是“宽带中国”试点政策、国家智慧城市试点政策、创新型省份试点政策以及创新型城市试点政策。现有研究认为,以“宽带中国”试点政策为代表的网络基础设施建设有助于促进企业技术创新,进而提高企业财务绩效和环境绩效水平,同时在城市层面也有助于促进创新创业,提升全要素生产率。伴随着国家智慧城市试点政策的实施,城市信息化水平提升有助于降低企业交易成本,提升企业全要素生产率,推动经济高质量发展。此外,创新型省份试点政策以及创新型城市试点政策的实施有助于实现企业创新的“量质齐升”,具有显著的绿色全要素生产率提升效应。为排除上述政策对本文回归结果的影响,本文进一步构建“宽带中国”试点broadband、国家智慧城市试点smart、创新型省份试点invpro以及创新型城市试点invcity四个政策变量,并且在模型估计中进一步控制这些政策的影响,结果如表7所示。可以看出,在控制了“宽带中国”试点政策、国家智慧城市试点政策、创新型省份试点政策以及创新型城市试点政策的影响后,主解释变量产业链链长制政策Chain的系数估计值仍然至少在5%的显著性水平下显著为正,并且系数估计值相比基准结果未发生实质性的变化,说明上述四个相关政策对本文基准结果的影响较为有限,基准结论保持稳健。




(一)机制分析
根据前文理论分析可知,产业链链长制政策作用到微观企业将促进企业技术创新与数字化转型、提升政府补贴力度以及降低企业成本,进而提升企业绩效。为考察技术创新、数字化转型、政府补贴以及企业成本在产业链链长制政策和企业绩效之间发挥的微观机制作用,本文借鉴牛志伟等、曾国安等的方法,通过设计四段式中介效应模型进行检验,具体模型设定如下:
其中,i表示企业,t表示年份,j表示省份,k表示行业。Med代表中介变量,包括技术创新、数字化转型、政府补贴以及企业成本四个方面,其他变量定义与模型(1)保持一致。需要说明的是,根据江艇的研究建议,在机制检验过程中,中介变量Med对企业绩效Roe的影响应当是直接而显然的,核心在于检验产业链链长制政策Chain对中介变量Med的影响。因此,在四段式中介效应模型中,模型(3)检验的是产业链链长制政策Chain对中介变量Med的影响,这是机制检验的关键;模型(4)检验的是中介变量对被解释变量的影响,这是基本前提,这种影响应当是符合理论预期的;模型(5)设置的目的是考察产业链链长制政策Chain对企业绩效Roe的影响在多大程度上可以被中介变量Med这一作用渠道所捕捉。
1.技术创新
技术创新有助于提升企业绩效的基本结论在现有研究中已经形成基本共识。考虑到发明专利的专利价值相比其他类型专利高,更能够代表企业的真实创新水平,本文采用发明专利数量加一的对数值来衡量企业技术创新指标Invent。表11报告了产业链链长制政策影响企业绩效的技术创新机制回归结果,可以发现第(2)列中产业链链长制政策Chain的回归系数在1%的显著性水平下为正,表明产业链链长制政策的实施有助于促进企业创新,表现为企业发明专利数量的提升。在第(3)、(4)列的回归结果中,企业技术创新Invent的回归系数均显著为正,表明企业技术创新水平的提升有助于改善企业经营绩效,结论符合理论预期。当在基准回归模型中进一步加入企业技术创新Invent时,主解释变量Chain的回归系数较第(1)列有所下降,表明技术创新机制检验的结果有效,即产业链链长制政策会通过促进企业技术创新进而发挥企业绩效提升效应,研究假说1得以验证。

2.数字化赋能
尽管早期部分学者对“信息技术生产率悖论”与“数字化悖论”进行了广泛的讨论,但是目前国内外学者普遍认为数字化转型有助于提升企业生产率与企业绩效,并且各级政府也高度重视数字产业化与产业数字化。党的二十大报告也明确提出,要加快建设“制造强国”和“数字中国”,推动经济高质量发展。借鉴吴非等的方法,本文借助词频分析技术,采用企业年报中数字化词频的对数值来衡量数字化转型程度Digitizing。表12报告了产业链链长制政策影响企业绩效的数字化转型机制回归结果,可以发现第(2)列中产业链链长制政策Chain的回归系数在1%的显著性水平下为正,表明产业链链长制政策的实施有助于促进企业数字化转型,表现为企业数字化转型水平的提升。在第(3)、(4)列的回归结果中,企业数字化转型Digitizing的回归系数均在1%的显著性水平下为正,表明企业数字化转型的提升有助于改善企业经营绩效,与现有研究结论与理论预期保持一致。当在基准回归模型中进一步加入企业数字化转型Digitizing时,主解释变量Chain的回归系数较第(1)列有所下降,表明数字化转型机制检验的结果有效,即产业链链长制政策会通过促进企业数字化转型进而发挥企业绩效提升效应,研究假说2得以验证。

3.政府补贴
补贴是政府鼓励企业研发、扶持产业发展的一种重要途径,特别地,政府补贴有助于缓解企业融资约束,对生产率起到平滑作用。国内外大量学者对政府补贴的效果进行检验,普遍认为政府补贴对提升企业绩效具有较好的促进作用。本文借鉴杨洋等的方法,采用政府补助项目金额的对数值来测量政府补贴指标Subsidy。表13报告了产业链链长制政策影响企业绩效的政府补贴机制回归结果,可以发现第(2)列中产业链链长制政策Chain的回归系数在10%的显著性水平下为正,表明产业链链长制政策的实施有助于提升政府补贴水平,这主要是因为地方产业链链长制政策的出台,通常会对企业技术改进、数字化转型等方面进行补助与奖励,部分地区对企业培育、企业贷款、关键环节“补链”等方面均具有一定的补助。在第(3)、(4)列的回归结果中,政府补贴Subsidy的回归系数均在1%的显著性水平下显著为正,表明政府补贴有助于改善企业经营绩效,与现有研究结论与理论预期相符。当在基准回归模型中进一步加入政府补贴Subsidy时,主解释变量Chain的回归系数较第(1)列有所下降,表明政府补贴机制检验的结果有效,即产业链链长制政策会通过提升政府补贴水平进而发挥企业绩效提升效应,研究假说3得以验证。

4.降低成本
成本领先是企业塑造竞争优势进而提升企业经营绩效的重要途径。本文借鉴倪克金和刘修岩等的方法,采用企业营业成本与营业收入的比值来衡量企业成本指标Cost。表14报告了产业链链长制政策影响企业绩效的降低成本机制回归结果,可以发现第(2)列中产业链链长制政策Chain的回归系数在10%的显著性水平下为负,表明产业链链长制政策的实施有助于降低企业成本,这主要得益于“链长”与“链主”在其中发挥的重要作用。譬如《天津市产业链“链长制”工作方案》与《江西省推动产业链链长制深入实施工作机制》等文件指出,要建立产业链要素保障机制与议事协调例会制度,协调解决企业发展的困难和问题。过去需要多部门协调解决的问题,现在可以通过链长更加快捷地给予解决,有效降低了企业成本。同时“链主”企业也有助于降低了产业链上下游企业的物流成本、营销成本、采购成本以及用工成本与知识学习成本。在第(3)、(4)列的回归结果中,企业成本Cost的回归系数均在1%的显著性水平下显著为负,表明成本提高将降低企业经营绩效,这一结论与实际吻合。当在基准回归模型中进一步加入企业成本Cost时,主解释变量Chain的回归系数较第(1)列有所下降,并且下降幅度相较其他机制更为明显,由此说明,降低成本机制检验的结果有效,即产业链链长制政策会通过降低企业成本进而发挥企业绩效提升效应,而且降低成本是产业链链长制政策促进企业绩效提升的关键作用机制,研究假说4得以验证。

(二)异质性检验
表15 不同规模企业的异质性检验结果

表16 地区异质性检验结果

3.行业技术特质异质性检验
具有不同技术特征的企业,受产业链链长制政策的影响结果可能存在差异,特别是高新技术企业具有知识密集、技术密集与高竞争力的基本特征,自身发展对新技术的突破和创新有着更高的要求。因此,相较于非高新技术企业而言,高新技术企业更可能在政策激励下主动对接“链主”企业资源,与“链主”企业开展协同创新活动,进而提升企业经营绩效。为了验证这一猜想,本文根据企业资质认定结果,将企业划分为高新技术企业与非高新技术企业两种类型,表17第(1)—(2)列报告了行业技术特质的异质性检验结果。在高新技术企业组中,产业链链长制政策Chain的系数估计值为0.014,高于全样本估计结果,且在1%的显著性水平下显著为正。而在非高新技术企业组中,产业链链长制政策Chain的系数估计值为0.004,且未通过显著性检验。由此说明,相较于非高新技术企业,产业链链长制政策更有助于提升高新技术企业的经营绩效,研究结论验证了上述猜想。进一步地,本文还借鉴王玉泽等的方法,按照国家统计局制定的《高技术产业(制造业)分类(2017)》和《高技术产业(服务业)分类(2018)》,将企业所属行业划分为高技术行业与非高技术行业两种类型,异质性检验结果如表17第(3)—(4)列所示,在高技术行业中,产业链链长制政策Chain的系数估计值为0.018,且在1%的显著性水平下显著为正。在非高技术行业中,产业链链长制政策Chain的系数估计值不显著为正。因此,综合来看,我国产业链链长制政策的绩效提升作用更多体现在高技术企业中,对非高技术企业的影响相对较弱。

4.所有制与生命周期异质性检验
其一,所有制异质性检验。表18第(1)—(2)列报告了基于企业所有制的异质性检验结果。在非国有企业组中,产业链链长制政策Chain的系数估计值为0.011,且在5%的显著性水平下显著为正。而在国有企业组中,产业链链长制政策Chain的系数估计值为0.006,未通过显著性检验。由此说明,相较于国有企业,产业链链长制政策更有助于提升非国有企业的经营绩效。其二,生命周期异质性检验。参考Dickinson与刘诗源等的方法,本文基于现金流模式法将企业划分为成长期、成熟期与衰退期三个阶段。表18第(3)—(4)列报告了基于企业生命周期的异质性检验结果。在成长期企业组中,产业链链长制政策Chain的系数估计值为0.006,且在10%的显著性水平下显著为正。在成熟期企业组中,产业链链长制政策Chain的系数估计值未通过显著性检验。而在衰退期企业组中,产业链链长制政策Chain的系数估计值在5%的显著性水平下显著为正。由此说明,相较于成熟期企业,产业链链长制政策更有助于提升成长期与衰退期企业的经营绩效,可能的原因在于,相比于成熟期企业,成长期与衰退期企业对产业链链长制政策更为敏感。这一结论也意味着,产业链链长制政策对于培育成长期企业以及挽救衰退期企业具有重要的作用。
