摘要:在推动经济结构转型升级的进程中,“碳达峰”“碳中和”目标的提出使得绿色金融促进经济绿色发展成为国家战略。为进一步考察绿色金融对经济增长的影响,文章建立了一个基于内生增长理论的一般均衡模型分析框架并进行面板数据实证分析,一方面考察绿色金融的合理规模和政策干预的合理边界,另一方面验证绿色金融、技术进步和经济增长之间的关系。模型分析认为,银行更看重厂商抵押品和现有产出水平的贷款评估模式会造成对环保厂商技术进步潜能的忽视和信贷资源的错配,为解决错配问题的政府干预存在政策锚不明确的问题,所以有绿色金融非理性扩张的可能。面板数据实证分析支持技术进步在绿色金融和经济增长的关系中存在部分中介效应,且绿色金融规模与经济增长之间存在倒U型关系,即理论上存在绿色金融规模的最优值,而该最优值约为36.03%。虽然大多数省份和全国水平仍低于最优值,但存在部分省份超出的情况,绿色金融非理性扩张已应给予关注。
关键词:绿色金融;内生增长理论;技术进步;面板数据;中介效应
中图分类号:F832 文献标识码:A
文章编号:1005-3492(2023)03-0016-15
自党的十八届五中全会提出五大新发展理念以来,绿色理念一直贯穿我国经济建设全过程。随着投资拉动的粗放式增长模式逐渐无效率化以及经济转型升级的逐步深化,构建起更为高效、和谐、可持续的经济增长模式愈发关键。2020年9月, “碳达峰” “碳中和”目标正式提出,经济建设中的环境保护上升到了国家战略高度。2021年2月,国务院正式发布文件,为双碳目标实现作出较为完善的顶层设计和战略部署,其中着重强调要大力发展绿色金融、将金融资源向绿色产业倾斜,这标志着绿色金融将成为未来金融发展的核心方向之一。截至目前,国内相继推出许多政策措施,通过绿色信贷、绿色债券以及绿色基础设施建设等渠道支持绿色金融发展,如中国人民银行于2021年6月9日制定并发布《银行业金融机构绿色金融评价方案》;人民银行重庆营业管理部开发出“长江绿融通”绿色金融大数据综合服务系统;广东省政府2020年发行全国水资源领域的首支绿色政府专项债券;江西省赣江新区2019年推出全国首单绿色市政专项债券;湖州银行单列绿色信贷投放规模等等。
不过,任何新事物的发展均应警惕“一哄而上”“一哄而散”的非理性发展倾向。目前绿色金融发展虽如火如荼,但仍处在探索阶段,还存在两大问题需要进一步讨论:一是绿色金融的合理规模应为多少,二是政策干预的合理边界如何确定。这些问题的有效回答有助于规避绿色金融发展“一哄而上”“一哄而散”的非理性倾向。本文将构建一个基于内生增长理论的一般均衡模型,进一步完善绿色金融理论建模分析框架,并探索绿色金融理性的发展路径。
本文接下来的安排如下:第二部分是文献综述,第三部分是理论模型的构建与分析,第四部分是面板数据实证分析,第五部分是结论和政策建议。
国内学者对绿色金融与经济增长问题的研究主要侧重于三个层面:一是分析绿色金融对经济高质量发展的促进作用;二是从刺激新技术应用、消除资源错配等角度探讨绿色金融助力经济增长的作用;三是针对政府相关政策,尤其是分析绿色金融相关政策对经济发展、市场结构以及企业创新等的增益效应。
对于绿色金融促进经济高质量发展,马骏等认为绿色金融和普惠金融能够协同互助、共同发展,为农村经济和绿色农业的发展贡献力量。史代敏和施晓燕构建绿色全要素生产率指标,从绿色信贷、绿色投资、绿色证券和碳金融等多角度展开分析,认为当绿色金融达到一定规模后对绿色全要素生产率的促进作用会显著增大。江红莉等涵盖23个省份的面板数据分析认为,绿色信贷和绿色风投都有助于碳减排,且两者不存在显著的“挤出”和“挤入”效应。周琛影等利用主成分分析法,构建度量绿色金融和经济高质量发展的综合指数,并通过面板数据分析前者对后者的影响,结论认为绿色金融促进了经济发展、经济结构优化和创新,但不利于经济稳定。高锦杰和张伟伟从区域化的视角,考察了绿色金融对东中西部地区产业结构的影响,认为东部地区高污染产业受绿色金融发展的抑制作用较之中西部地区更强。这类研究从不同的角度进行了比较丰富的实证检验,但缺乏相对充分的理论基础,所得结论虽然比较支持绿色金融的正向作用,但对于讨论绿色金融合理规模无显著帮助。
对于绿色金融助力经济增长,丁志刚等在博弈论模型框架下分析认为绿色信贷优惠确有激励市场主体采用低碳技术的效应。文书洋和刘锡良在传统一般均衡多部门经济增长模型的基础上,将金融和环境因素纳入考察范围,认为竞争性均衡能够使得信贷资源配置实现环保意义上的最优路径,但现实中存在信息不对称因素会造成金融资源错配或信贷歧视,从而破坏竞争均衡。刘锡良和文书洋基于类似的理论框架,着重从理论上考察信贷歧视加剧环境污染的内因。文书洋等更强调金融行业的绿色程度,认为绿色金融本质上有助于消弭因环境的公共物品属性而带来的资源过度消耗问题,从而促进经济增长。刘传江和张劭辉借鉴增长核算与传统增长理论分析框架,分析认为绿色金融能够从需求侧五个层面发挥作用增益消费、投资、政府购买与净出口,从供给侧发挥结构化引导和提升作用增进资本、劳动要素积累以及技术进步。这类研究开始着手从传统增长理论角度分析绿色金融对经济增长的作用,但在理论模型构建上对技术进步这一关键因素的考察不够充分。
涉及绿色金融政策对经济发展促进作用的研究比较丰富,部分研究深入到比较微观的层面,揭示政策起效抓手,如牛海鹏等通过双重差分法评估绿色信贷政策的实施效果,结论认为相关政策使得绿色上市公司的融资便利性提高,但融资成本并未与其他类型公司有显著差异,所以政策差异化有必要加强。丁杰和胡蓉同样采用双重差分法评估政策执行效果,但切入视角更微观和区域化,将30个省级行政单位按环境规制强度分组,认为在规制强度较高的地区,绿色信贷政策对污染企业的信贷制约效应更强。曹廷求等研究视角更为微观,研究对象为国内重污染上市公司,通过双重差分法分析《绿色信贷指引》 颁布的影响,认为绿色信贷政策对重污染企业有“优胜劣汰”效应,绿色创新能力较强的企业会受政策刺激而加强创新,进而淘汰创新能力差、污染高的企业。谢乔昕和张宇同样以《绿色信贷指引》颁布为事件构建准自然实验,以国内A股非金融类上市公司为研究对象,实证结果支持绿色信贷对企业创新的刺激作用,且对轻污染企业的作用更强,即同样有所谓“优胜劣汰”的效应。陆菁等以2007年的绿色信贷政策作为准自然实验标的,分析其对市场结构的影响,发现高污染企业在政策实施后退出增加、市场份额萎缩,政策发挥了有效的正向资源再配置效应。
本文认为现有文献对绿色金融和经济增长问题的研究,主要问题还是在于理论研究匮乏,无法对许多根本问题进行回答,由此导致部分实证研究存在理论基础不充分的弊端。对诸如政策干预边界和绿色金融规模应该如何确定等问题的研究,由于理论研究的不足,实证研究给出的结果差异较大、莫衷一是,参考价值受限。将绿色金融融入到传统增长理论框架下进行研究,是更深入全面考察绿色金融相关问题的核心,也是未来发展的必然方向。本文将在内生增长理论框架下,充分考虑技术进步,将绿色金融因素融入到对经济增长问题的讨论中,并在此理论框架构建与分析的基础之上进行实证研究,重点讨论政策干预边界和绿色金融合理规模问题。
建模思路延续Bovenberg和Smulders以及文书洋和刘锡良的传统增长模型多部门一般均衡框架。在此基础上,融入内生增长理论基本范式,将信贷资源对技术进步的促进作用纳入建模当中,并通过对银行传统放贷行为的描述刻画当前存在的信贷资源错配(歧视)问题。致力于改善信贷歧视的政策干预由于不存在向政策锚收敛的激励,故绿色金融有非理性扩张的可能性。对现有文献作出的改进主要有:一是考察内生化了的技术进步因素,即对环保企业的信贷支持能够带来生产率的提升;二是把对政策干预的讨论放到对模型的分析中,重点讨论政策支持绿色金融发展的非理性可能。
(一)模型基本设定
1.环境
保护环境、促进经济高质量可持续发展是绿色金融的最终目的,设定环境的演化受两方面影响:一是环境自身的恢复,二是污染。环境具备一定的恢复能力,而对自然资源的开采利用则会造成环境污染。基于此,环境e的动态方程为

环境最优值被设定为0,即e0=0,所以e≤0。-e则表示与环境最优值的偏离程度,是对环境破坏程度的度量,η和φ分别是环境恢复系数和污染系数。
污染P是因自然资源的开采利用而产生的,故而

其中,M为自然资源,h是环保技术水平,代表当前社会在开采利用自然资源时减轻所造成污染的能力,环保技术水平越高,开采等量自然资源带来的污染越少。
2.消费者
消费者对良好环境的偏好被并列于对消费品的偏好,即瞬时效用函数为

c代表消费,φ是相对风险厌恶系数。消费者对与环境最优值偏离程度的负效用由参数κ刻画,由效用函数对-e取一阶和二阶偏导数可知,边际负效用递增,即消费者在环境破坏愈发严重时,对环境的偏好更强烈。
3.厂商
消费品的生产分为两个阶段:中间品生产和最终品生产。中间品生产厂商存在两种类型,第一种类型是污染厂商,设定为生产需要消耗自然资源,因而对环境会造成污染;第二种则为环保厂商,从简化角度考虑设定为不消耗自然资源,所以不会对环境带来污染。两类厂商的生产函数分别为
污染厂商:

环保厂商:

其中,M为自然资源,A是环保厂商采用的生产技术,L和H分别是两类厂商生产中投入的资本品。环保厂商依赖于技术进步实现绿色低碳无污染等环保目标,故在生产函数中考虑技术进步因素;污染厂商缺乏技术进步空间或能力,出于简化目的不再考虑技术因素。
最终品生产厂商以中间品生产者的产出为投入要素之一,再加劳动要素,装配出最终消费品,而且生产过程受到环境影响,生产函数为

P为环境污染,污染越严重对产出的负面影响越大。W是劳动,自然增长率为n。
4.金融机构
经济中存在银行类金融机构。银行吸收消费者存款,并放贷给两类中间品生产厂商,通过存贷赚取利润,利润函数为

其中,rp和rg分别为给予污染和环保厂商的贷款利率,r是存款利率。因银行存款全部来自于消费者,存款去向只贷给中间品生产厂商,所以

这里令银行存款总额K中贷出给污染厂商的比例为ζ(0≤ζ≤1),即H=ζK。
(二)完全竞争性均衡
对于环保厂商,假定技术进步A满足内生增长理论中罗默式技术进步设定,即A是社会对环保厂商信贷支出的函数,即
,其中D和θ为参数。
将最终产品的价格标准化为1,且令污染和环保厂商的中间品价格分别为pp和pg、工资率为w,则最终品厂商的利润方程为

则竞争性均衡应满足条件

污染和环保厂商的利润函数分别为
污染厂商:

环保厂商:

其中,pM是自然资源价格。对两类中间品厂商来说,竞争性均衡满足的一阶条件为

在完全竞争市场上银行自由进入退出,所以对利率没有控制力。银行追求利润最大化意味着会将信贷资金贷给利率更高的厂商,且如果贷款利率高于存款利率,则银行有激励扩大贷款数额以获取利润。最终在完全竞争条件下,对两类中间品厂商来说,银行贷款利率相等且等于存款利率,即

再由式(13)和式(15)可得

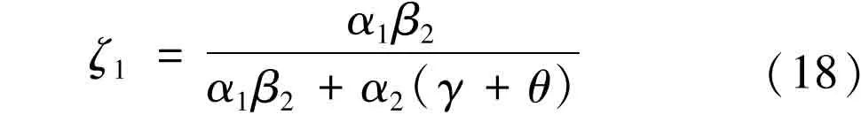
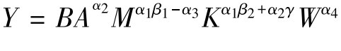
故而,污染厂商获得的信贷在银行总信贷中占比ζ为

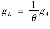
由此,在完全竞争条件下银行对不同类厂商信贷比例与污染厂商的资本产出弹性β2、环保厂商的资本产出弹性γ、最终品厂商的中间品产出弹性α1和α2以及环保厂商的信贷技术进步弹性θ有关。
(三)存在信贷资源错配下的均衡
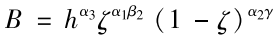
传统意义上,银行在进行贷款评估时出于安全谨慎考虑更看重抵押品和企业当前的生产经营情况,不会将未来技术研发进步因素考虑在内。这种传统模式隐含着技术进步A不再满足罗默式技术进步的设定,此时A为外生变量。那么,传统模式下的竞争性均衡,污染厂商获得的信贷在银行总信贷中占比为

显然ζ2>ζ1,即存在信贷资源错配,差异源于环保厂商信贷技术进步弹性θ。信贷资源错配的存在使环保厂商技术进步潜能没有得到信贷资源的有效支持,污染厂商获得更多信贷资源,导致技术进步迟缓和产出效率损失。基于此,绿色金融的关键就在于消弭信贷资源错配,引导支持环保厂商技术进步,熨平ζ2与ζ1之间的差异。绿色金融合理规模应以完美消弭ζ2和ζ1之间的差异、给予环保产业充分的技术研发支持为度量标准。
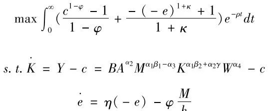
(四)社会计划者最优化问题
1.求解过程
社会计划者最优化问题为:

其中,
。令
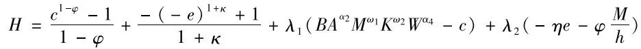
,求解上述最优化问题,建立现值汉密尔顿函数,如下所示

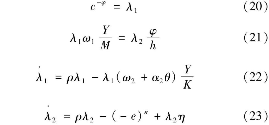
通过汉密尔顿函数对控制变量求导,以及对状态变量求导和汉密尔顿协状态变量之间的等价关系,可得最优控制问题的一阶条件如下

最优化问题的横截条件是
和
。
2.稳态与平衡增长路径
对稳态的分析建立在对变量A、K、c、Y、e、M增长率分析的基础上,令各变量的增长率为g*。由式(20)可得,-φgc=gλ1。
由式(22)可得

在稳态中各变量的增长率g*均为常数,所以对上式两边取对数并对时间求导可得gY=gK。
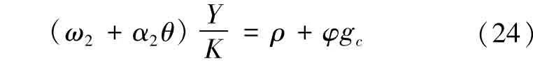
根据状态变量资本的动态
和式(24)可得

所以gc=gK。
由式(23)可得

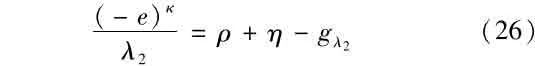
所以κge=gλ2。
由环境的动态
可得

所以gM=ge。
之后,对式(21)两边取对数并求导可得gλ1+gY-gM=gλ2,由此得到自然资源开采量增速和消费增速的关系式,如下

由
可得
。
又根据最终产品生产函数
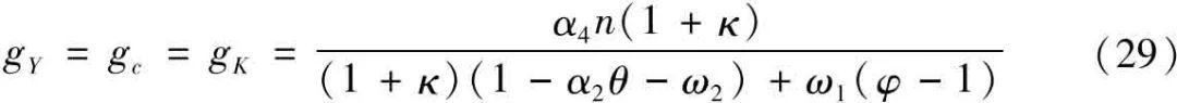
,仍旧经取对数并求导过程可得gY=α2gA+ω1gM+ω2g,再将式(28)和其他变量之间的等价关系代入后可得

当φ>1且α2θ+ω2<1时,消费、资本和产出三者增长率满足一条平衡增长路径。式(29)中α2θ项的存在意味着信贷对环保厂商技术进步的促进作用使得稳态资本增长率提高,并推动消费和产出水平提高。在φ>1得到满足的情况下,平衡增长路径上稳态消费增长率为正,由此据式(28)可得自然资源开采量的稳态增长率gM为负。该结果符合理论预期,技术进步使得环保厂商生产率逐渐提高,污染厂商生产率相对下降,自然资源开采消耗量进而下降。绿色金融的发展对技术进步和环境保护均能起到正面作用。
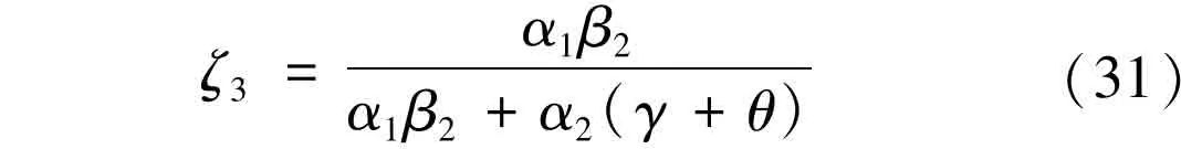
3.最优信贷比例
由均衡条件式(21)和式(22)可得

由于
,所以当
取最大值时,gc满足平衡增长路径,由此可得计划者问题下的最优信贷比例ζ3为

此时ζ3=ζ1,所以在不存在信贷歧视、银行能充分考虑环保厂商技术进步空间的情况下,竞争性均衡可以实现最优均衡。
(五)绿色金融规模非理性扩张的问题
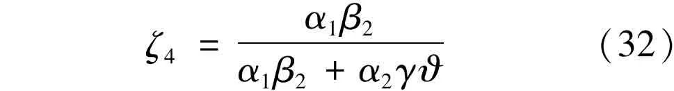
前文述及,绿色金融合理规模和ζ2与ζ1之间的差异程度、即信贷资源错配程度有关。换言之,如果绿色金融能够充分支撑厂商技术研发,则不应再继续加大投入,此时也就无需政府干预。但现实中,出于某种原因未对相关厂商的技术研发潜能进行准确评估,换言之无法准确掌握ζ2与ζ1之间的差异程度或错配程度,政策干预在具体执行时往往是通过各种渠道较为粗放地给予环保厂商信贷优惠,如此则有出现所谓“一哄而上、一哄而散”局面的可能,即信贷资源会超出所需。这里不妨将“通过各种渠道给予环保厂商信贷优惠”简化为人为降低环保厂商信贷利率,即令rp=
rg(
>1),并将A依然处理为外生变量,之后再次求解可得

人为降低利率的方式虽然能够促进信贷资源更多地流向环保厂商,但是由于政策锚不明确,存在出现ζ4<ζ1的可能性,这意味着绿色金融的扩张呈现出非理性发展的态势。在最理想的情况下,如果绿色金融扩张能够实现

则政策干预可以达成最优信贷比例。只是目前现实中并不存在一个如同式(33)所示的政策锚,不存在绿色金融规模朝向政策锚收敛的激励,政府对绿色金融的推崇有可能导致绿色信贷规模超出政策锚,即超出合理规模出现无效率资源配置。
(一)计量模型构建
基于第三部分的理论分析,可知绿色金融对经济增长的促进作用可通过促进技术进步而实现,换言之技术进步在绿色金融与经济增长的关系中发挥中介效应。此外,绿色金融对经济增长(技术进步)的促进作用存在上限,该上限作为政策干预的政策锚既是绿色金融合理规模的度量标准也是政策干预的目标。
由此,本文作出如下实证假设。
H1:绿色金融对经济增长(技术进步)的促进作用呈现出“倒U型”,即在绿色金融规模小于一定临界值时,绿色金融对经济增长(技术进步)表现出促进作用;在超过一定临界值之后,绿色金融规模的扩大不再促进经济增长(技术进步)
H2:技术进步在绿色金融与经济增长的关系中发挥中介效应,即绿色金融通过对技术进步的促进作用增益经济增长
为检验上述实证假设,构建面板数据计量模型如下

GDPit是经济增长项,TPit是技术进步项,GFit是绿色金融规模项,
是绿色金融规模平方项,
是控制变量所组成的向量。λt是时间固定效应,μi是个体固定效应,εit是随机误差项。
(二)数据选取说明
本文将以全国31个省、市、自治区,2007至2017年间的面板数据作为研究对象。在指标选取上,以各地区国内生产总值度量经济产出水平,以各省、市、自治区每年的专利授权数(单位:个)作为度量技术进步的指标。专利授权数作为科研产出的量化指标,在文献中多被用来作为技术进步和创新产出的代理变量。对于绿色金融规模的度量,理论上绿色金融包括绿色信贷、绿色证券、绿色投资、绿色保险以及碳金融等五大块,但到目前为止,权威机构统计并发布的数据尚缺乏同时涵盖这五大领域且对绿色金融规模有比较好测度能力的指标。现有研究在度量绿色金融的问题上主要采取两种思路:其一是对绿色金融涉及的五大领域分别选择相应指标进行度量,之后据此通过熵值法或主成分分析等方法综合成一个度量绿色金融发展水平的指标;其二是“以点带面”,即采用信贷数据或者上市公司融资数据等公开数据,通过度量绿色金融的一个侧面,反映绿色金融整体概况。本文将借鉴第二种思路,具体来说,以某一年份某省所有绿色上市公司短期和长期借款之和占当年该省所有上市公司短期和长期借款总额的比重作为对该省该年份绿色金融规模的度量。虽然在企业绝对数量占比上,上市公司所占比重不高,但上市公司多是经营相对稳健、资质较好、收入规模可观的企业,能代表所在行业的整体发展情况。
确定上市公司是否为绿色上市公司的方法为:对上市企业经营范围进行关键词筛选。所使用的关键词是“节能”“环保”“污染治理”“风能”“绿色”“生态”“新能源”“循环”“清洁能源”“水力”“低碳”等十一个。关键词的确定参考国家发改委制定并发布的《绿色产业指导目录(2019年版)》中相关绿色产业的关键核心标识词。企业经营范围中包含这十一个关键词中的至少一项则被筛选出,之后通过人工识别,剔除明显不符合绿色定义的企业,其余企业则被认定为绿色企业。本文根据企业经营范围来进行关键词筛选,比通过股票概念标签进行的筛选,从标准上来看要更宽松一些,能更全面地涵盖绿色上市企业。
控制变量源于六个层面,包括:(1)地区经济发展水平:经济发展水平是决定一个地区产出水平和技术创新能力的核心,用地区人均GDP度量;(2)地区受教育水平:教育往往能够深刻影响一个地区的产出水平和技术创新能力,用平均在校生人数(高等学校)度量;(3)政府支持力度:政府对于技术研发的支撑对促进技术创新有着很大作用,用财政支出金额度量;(4)金融发展水平:金融发展水平能够影响绿色金融支持技术进步的效率,用每万人金融机构营业网点数度量;(5)对外开放水平:对外开放是引进国外技术、接受国外技术转移以及技术溢出的关键,同样对一个地区的产出和技术进步有着重要作用,用FDI/GDP度量;(6)总人口:人口数量对于产出和专利授权数的绝对数量有影响,用地区常住人口数度量。所有变量可参见表1,数据均收集自万得数据库。

(三)模型估计结果
除个体固定效应之外,本文设置时间虚拟变量构成双向固定效应模型,回归结果见表2。引入个体固定效应捕捉不同地区存在的异质性是实践中的常用做法。检验时间虚拟变量的联合显著性,结果均为显著,这表明引入双向固定效应是合理的。对模型进行豪斯曼检验,结果支持对固定效应模型的选择。
从模型(2)估计结果看,
大于80%,模型设定取得良好效果;绿色金融规模(gf)项和其平方项(
)系数估计值分别大于零、小于零且均在1%的显著性水平下显著,这支持绿色金融对经济增长的增益效应存在且表现出倒U型。从模型(4)估计结果看,绿色金融规模(gf)项和其平方项(
)系数估计值同样分别大于零、小于零且均在1%的显著性水平下显著,表明绿色金融和技术进步之间的倒U型关系同样得到支持。综上,不能拒绝实证假设H1的成立,绿色金融规模存在最优值,而非越大越好,超过临界最优值继续扩大绿色金融规模,不会再有促进经济增长(技术进步)的作用,实践中应避免 “一哄而上”“一哄而散”倾向。从模型(6)估计结果看,绿色金融规模(gf)项和其平方项(
)系数估计值分别大于零、小于零且均在1%的显著性水平下显著,中介变量(pat)的系数估计值大于零且在1%的显著性水平下显著,再结合模型(2)和模型(4)的估计结果,可认为实证结果支持部分中介效应的存在性,由此不能拒绝实证假设H2的成立,即绿色金融存在通过对技术进步的促进作用进而增益经济增长的效应。
表2 双向固定效应模型回归结果

控制变量方面,对模型(6)进行分析,可知人均GDP、地区受教育水平和财政支出变量的系数估计值在1%显著性水平下显著且符号为正,说明地区经济发展水平、政府支持和教育的普及能显著提高产出,符合一般逻辑。FDI/GDP的系数估计值为负、在1%的显著性水平下显著,说明对外开放水平越高,产出会降低,这或许由于对外开放引致更剧烈的竞争导致。考察模型(4),每万人金融机构营业网点数和总人口的系数估计值分别在5%和1%的显著性水平下显著且符号为正,说明金融发展能够促进技术进步的提高,毕竟金融发展水平直接影响到绿色金融投入对技术进步的支持效率,而且专利授权数与地区人口数正相关也符合一般逻辑。
(四)内生性处理
对于上文实证涉及的变量,互为因果导致的内生性问题需要重视。绿色金融在促进技术进步的基础上对经济增长有增益作用,但反过来经济的高速增长也可能会促进绿色金融规模的扩张。为处理互为因果带来的内生性问题,本文将采用两种方式。方式一是将部分解释变量取一阶滞后进行回归。本文认为经济的高速发展存在促进绿色金融规模扩张、技术进步、地区经济发展水平与教育水平提升、政府财政支出水平与金融发展水平提高的效应,但经济增长对促进对外开放和人口数量增长的效应在现实中不明确。所以,对于除fdipgdp和people之外的其他解释变量取一阶滞后并带入模型进行回归。理论上,各滞后一阶变量已经发生,不存在受当期经济增长影响的可能性。方式二是应用工具变量法,将主要变量,即绿色金融及其平方项以及技术进步三者的滞后项作为这三个变量的工具变量。实践中存在对方式一的质疑,故增加方式二。出于简化考虑,对内生性问题的处理集中于模型(6),结果见表3。
表3 对内生性问题的处理

从估计结果看,不论采用哪种方式,绿色金融规模(gf)及其平方项(
)系数估计值均分别大于零、小于零且均显著,模型(7)和(9)在1%的显著性水平下显著,模型(8)在10%的显著性水平下显著,而且技术进步项系数估计值始终在1%的显著性水平下显著。该结果继续支持技术进步部分中介效应的存在性。
(五)绿色金融最优规模初探
根据模型(2)的估计结果,绿色金融对经济增长的促进作用总效应临界值(倒U的拐点)为36.03%。再结合表4数据,全国绿色金融规模处在24.7%的水平,小于临界值,仍有很可观的提升空间。从各省情况来看,只有少部分省份超过临界值,分别是吉林、辽宁、安徽、陕西、青海、宁夏和新疆等七地,大多数省份仍旧低于临界值,而且经济较发达地区,如北京、上海、广东、浙江和江苏等地,相距临界值仍旧较远,绿色金融仍旧有较大发展空间,短时间内绿色金融非理性扩张的可能性不大。但在绿色金融项目上马时,仍旧有必要考虑各省情况,一些省份已经逼近临界值,如广西、内蒙古等,非理性扩张风险应给予足够的重视。
表4 全国各省绿色金融规模(以绿色上市公司借款占比度量)

(一)结论
本文在一个基于内生增长理论的多部门一般均衡框架下展开分析,试图回答绿色金融合理规模以及政策干预合理边界的问题。理论模型分析指出,银行的传统贷款评估模式,即更看重厂商抵押品和现有产出水平的模式,会忽视环保厂商的技术研发潜能,造成信贷资源的错配——信贷资源更多地向污染厂商集中。致力于克服信贷资源错配的政府干预应以引导信贷资源更多流向环保厂商,支持其技术研发为最终目的,干预的合理边界就应以穷尽环保厂商的技术研发潜能为界。但是由于现实中并不存在一个明确的政策锚,政府未能或者难以准确评估环保厂商的技术研发潜能,所以存在政策过度干预、绿色金融非理性扩张的可能。面板数据实证检验支持绿色金融最优规模的存在性,即绿色金融和经济增长(技术进步)之间表现出倒U型关系,同时技术进步的部分中介效应存在。实证结果还指出,绿色金融规模(以绿色上市公司借款占比度量)临界值(倒U的拐点)为36.03%,大多数省份和全国整体水平仍未达到临界值,因此绿色金融非理性扩张问题并不严重。但一些省份已经出现高于临界值的情况,超出绿色金融最优规模的“一哄而上、一哄而散”非理性倾向已经需要给予重视。
(二)政策建议
一是在目前的情况下,有必要对我国环保相关产业技术研发和污染产业技术转型的整体形势进行全面的评估分析,以探究研发潜能和信贷资源错配的程度,为政策干预提供关键指导。绿色技术研发的资金缺口,研发风险以及研发收益在经过系统评估之后,结合信贷资源配置的现状,能够尽量大致估算出绿色金融合理的规模。关于绿色金融规模的测算应是未来研究的重点方向之一。
二是在目前绿色金融相关项目已经表现出非理性扩张苗头的情况下,有必要在政策层面上稍稍放缓扩张态势,尤其是要避免单纯追求规模的考核机制,以避免资源的浪费。
三是在合理的范围内继续坚持对绿色金融的政府干预和政策支持。通过必要的政府干预,消除资源错配等市场失灵因素,尤其是对银行信贷审批和评估模式的转变。