摘要:农村中老年群体家庭养老观念根深蒂固,在现代化社会代际关系逐渐疏远的背景下,“养儿防老”的传统养老方式遭受冲击。代际关系变迁是否会促使养老方式由家庭养老转向社会养老?文章以农村中老年为研究对象,借助中国家庭追踪调查数据开展实证分析,从个体代际关系亲疏的微观视角来分析传统家庭代际关系变迁这一社会宏观发展趋势对社会养老保险参与的影响。研究表明,代际关系疏远带来的养老焦虑会促使农村中老年群体参加农村社会养老保险,在处理内生性问题后这一结果仍然稳健可靠。机制方面,代际关系疏远会降低子女对父母的经济支持,由此引发中老年群体社会养老需求。异质性方面,中西部地区中老年群体、“以房养老”及“自我养老”能力较低的群体、风险意识较高的群体在面临代际疏远导致的家庭养老风险时,通过参与社会养老保险来解决养老问题的可能性更大。
关键词:代际关系;家庭养老风险;农村社会养老保险
中图分类号:F842.4 文献标识码:A
文章编号:1005-3492(2023)03-0126-17
随着人均预期寿命提高、人口老龄化加速,中国居民养老难题亟待解决。第七次全国人口普查数据显示,2020年中国人口年平均增长率为0.53%,60岁以上老年人口占比为18.7%,65岁以上老年人口占比高达13.5%。在农村,养老问题更加凸显。2021年农村常住人口中,60岁及以上群体占比23.99%,65岁群体占比16.57%。失地农民已丧失从事小农经济的物质基础,种地农民年老体弱难以从事正常的农耕活动,子女异地求学,适龄劳动人口外出务工、定居现象普遍存在。
在中国大部分农村老年人的生活来源不足,生活水平较低。中国农村养老方式分为通过劳动供给获得劳动收入的自我养老、通过子代获得经济支持的家庭养老以及依赖于农村社会养老保险体系获得养老金的社会养老。目前农村居民仍然主要依赖于家庭养老,通过代际赡养的“反馈模式”取得养老保障。作为家庭关系和家庭功能的具体体现,家庭养老连接着亲子两代,亲代与子代之间的关系称为代际关系。传统时期,除了亲情之外,代际关系靠宗规族训、礼仪、道德进行维系,但在城镇化、市场经济冲击下,农村居民逐渐进入“理性经济人”角色。代际关系呈现出亲代对子代付出持续强化,而子代对亲代责任、义务日趋弱化的失衡状态。中国农村居民代际关系渐行渐远,使得农村传统家庭养老方式面临严峻挑战。作为养老保险体系中的最基础保障的社会养老保险需要发挥在农村养老保障中应有的作用。
农村社会养老保险是农村居民在家庭养老风险下可选择的另一种养老方式。早期,我国一些地区施行农民自我储蓄式的农村养老保险,即老农保,主要针对低保户及五保户。2009年,国务院发布《国务院关于开展新型农村社会养老保险试点的指导意见》(国发〔2009〕32号),开始了新农保试点工作,参保范围为年满16周岁(非在校生)且未参加职工基本养老保险的农村居民,并于2012年实现了新农保的全国覆盖。2014年国务院出台《关于建立统一的城乡居民基本养老保险制度的意见》,指出要将新型农村社会养老保险和城镇居民养老保险制度合并实施,形成城乡居民社会养老保险制度。
不同于城镇职工基本养老保险,这些适用于农村居民参加的社会养老保险均为自愿参保,虽然早已实现了制度上的全国覆盖,但是仍有部分农村居民未能获得社会养老保险的基本保障。面对代际关系逐渐疏远带来的家庭养老风险,农村居民是否通过社会养老保险来转移自身养老风险?代际关系变迁这一社会发展趋势如何影响社会养老保险参保行为?哪些异质性因素阻碍了参保选择?本文以农村中老年群体为研究对象,探索代际关系对于农村社会养老保险参保行为的影响。
本文可能的贡献有两点。第一,现有文献多将代际支持变化作为农村社会养老保险制度的一个结果,未能将代际关系、代际支持前置识别为影响农村社会养老保险参保行为的一个关键性风险因素来考量,鲜有文献从代际关系变迁角度来分析社会保险参保行为。农村传统文化浓厚,代际关系变迁对居民养老方式选择的冲击较大,本文以农村中老年群体为研究对象,从代际关系亲疏的微观视角来分析代际关系变迁这一社会宏观发展趋势对社会养老保险参与的影响,丰富了社会保险参保影响因素的研究视角。第二,心理因素影响决策行为,提高保险保障覆盖率的关键在于理解被心理因素主导的各种消费者行为。本文通过亲代对代际关系的感知来衡量代际亲疏,考察了风险认知对保险需求的影响,丰富了主观风险认知与保险需求相关关系研究。
(一)相关研究
1.农村社会养老保险参与的影响因素分析
目前已有大量文献对农村居民社会养老保险参与的影响因素进行分析。分析角度主要分为三方面。一是个人、家庭特征。研究显示,包括年龄、受教育水平、健康状况、子女数量、家庭收入以及认知能力等因素在内的个人特征、家庭特征会影响农村居民社会养老保险参保行为。二是主观感知。郑雄飞和黄一倬利用CGSS2015数据,发现社会公平感知中的结果公平感知与执法公正感知正向促进农民的社会养老保险参与;高明等使用中国健康与养老追踪调查2011—2018年四期面板数据进行实证研究,发现信任感的重建会影响农村社会养老保险参与。三是文化与观念。Zhang发现宗族文化与社会养老保险参与显著负相关。柳晨基于宝鸡市三个县区农户问卷调研数据发现养儿防老观念对农村居民参保行为有显著影响,子女数量对其影响不显著;而郑沃林等利用CGSS2012—2015数据,发现养老观念对农民参保行为影响并不显著。四是外部因素。相关研究表明,政策设计、政策实施质量;村域信任、村域互动;参保便捷度、经办人员态度、决策中的同群效应均会影响农村社会养老保险参保行为。
2.代际支持与社会保险参与相关研究
一些学者着眼于农村社会养老保险的政策效应,将农村社会养老保险参与作为主要解释变量,研究其对代际支持的影响。多数研究显示,父母参保基本养老保险,会减少子女对其经济支持与生活照料。Chen的研究表明农村社会养老保险所支付的养老金会降低亲子两代共同居住的可能性,从而会减少代际支持。胡仕勇的研究表明,新农合虽然减少了子女对父母的代际经济支持,但对代际生活照顾以及精神慰藉功能未产生明显影响。与以上研究不同,郝春虹等使用2018年 CHARLS 数据研究表明“新农保”不再对家庭养老有明显的挤出效应,而靳卫东等研究表明新农保增加了子代向亲代的经济支持。
(二)理论分析与研究假设
1.家庭养老风险再思考:养儿未必能防老——男孩数量对社会养老保险参保行为的影响不再明确
在中国,子女是父母的重要养老资源。以往研究认为中国人倾向于养儿防老,认为子女数量越多的中老年人越容易获得代际经济支持及精神支持。有研究表明,儿子数量对农民参加社会养老保险意愿的影响显著为负。但是随着经济社会的发展,养儿防老的传统思想逐渐被削弱,尹银的研究结果显示养儿不能提升老人的生活质量,儿子的作用逐渐下降。苏运勋也认为儿子作为家庭主要劳动力要外出务工,他们难以实现对老人的情感慰藉和生活照料。现代社会代际剥削问题严重,养儿更会增加农村老年人陷入经济贫困的可能性。基于此,本文提出研究假设H1。
H1:男孩数量不再是影响养老方式选择的重要因素,不再影响农村居民的社会养老保险购买行为
2.家庭养老风险再思考:代际关系渐行渐远——代际关系疏远导致的养老焦虑影响社会养老保险参保行为
年龄会通过影响风险偏好来影响保险需求。研究表明,中年之后,风险厌恶程度随年龄增大而增大,中老年群体风险态度趋于保守,风险感知水平逐渐上升,而个体风险感知水平的上升会引起保险需求的增加。研究表明农村居民代际互动可降低农村老年人贫困发生概率。而当子女与自己减少互动,代际关系逐渐疏远时,农村中老年人感知到无法再依赖子女获取经济保障,家庭养老存在风险,从而通过保险手段寻求养老保障。基于此,本文提出研究假设H2。
H2:代际关系亲疏影响养老方式的选择,代际关系疏远对农村居民购买社会养老保险具有促进作用
3.机制分析
一方面,代际关系亲疏会影响子代对亲代的代际支持。已有文献表明,现代社会中地域分割会造成代际关系的疏远,因此制约着经济支持、生活照料等代际功能关系的履行。此外,韩文丽和钟宇佼的研究发现,代际关系亲近对个人代际向上净支付有显著的正向促进作用。另一方面,代际支持会影响农村居民社会养老保险参与。尚青松和赵一夫、宋嘉豪等的研究表明,子女所提供的经济支持及生活照料可显著提升农村居民选择家庭养老的意愿,而不选择社会养老保险。伍海霞和宋健也发现子女的经济支持额度会影响老人的养老观念进而影响养老规划。基于此,本文提出研究假设H3(图1)。
H3.1:代际关系疏远会减少子代对亲代的经济支持,从而促使亲代通过参加社会养老保险来进行养老
H3.2:代际关系疏远会减少子代对亲代的生活照料,从而促使亲代通过参加社会养老保险来进行养老

(一)数据介绍
本文数据来源于中国家庭追踪调查(China Family Panel Studies,CFPS)。CFPS由北京大学中国社会科学调查中心(ISSS)实施,是一项覆盖社会、经济、人口、健康的大型社会跟踪调查项目。CFPS从2010年正式开展访问,样本覆盖25个省/市/自治区,目标样本规模为16000户,调查对象包含样本家户中的全部家庭成员。数据分为个人库、家庭成员库、家庭经济库、跨年核心变量库和少儿家长代答库。本研究使用2016年数据,在个人库基础上匹配家庭成员库、家庭经济库数据信息。
本文研究代际关系对农村中老年社会养老保险参与行为的影响,因此在人群范围上对数据加以限制。首先,剔除小于45岁、大于80岁人群(一般不具有购买养老保险的自主性);其次,剔除城镇户籍样本;再次,为排除其他养老保险因素干扰,剔除具有党政事业单位养老保险、具有城镇职工基本养老保险、具有企业补充养老保险、商业养老保险的人群;最后,剔除缺失值及异常数据。最终得到7400个有效样本。
(二)变量选择
1.被解释变量
本文考察农村中老年群体的基本养老保险参保行为。被解释变量为二值变量,定义为是否参加社会养老保险。农村居民可参与的社会养老保险为老农保、新农保,2014年起城镇居民养老保险与新农保统筹为城乡居民社会养老保险。因CFPS未使用统筹后的名称表述,故将参加“城镇居民养老保险”“新农保”或“老农保”三者中的任意一种,视为参与了农村社会养老保险并对其取值为1,否则取值为0。
2.核心解释变量
(1)男孩数量。本文验证男孩数量是否为农村中老年社会养老保险购买的影响因素。通过家庭问卷数据匹配该受访个体所育男孩数量。
(2)代际关系。代际关系定义为是否有与自己亲近的子女。CFPS2016问卷中有“您与第i个子女(i取值为1—10)关系如何?”选项1—5分别为很不亲近、不大亲近、一般、亲近、很亲近。将1—3定义为疏远,4—5定义为亲近。代际亲近(至少有一个子女与自己亲近)=1,代际疏远(没有子女与自己亲近)=0。
3.控制变量
参考Zhang、张川川和朱涵宇、常芳等在研究农村社会养老保险参保影响因素中所使用的控制变量,设置年龄、年龄的平方、性别、省份、最高学历、婚姻状况、认知能力、风险意识、患病情况、子女数量作为个人层面控制变量;设置家庭人均收入、家庭房产、家庭总支出、所拥有的土地价值、所拥有的农用机械价值作为家庭层面的控制变量。
表1给出了各变量的具体定义。
表1 变量定义


表2为描述性统计。样本中49.6%的人群为男性,平均年龄57岁,23%的中老年人身体状况不佳,过去半年内患有慢性疾病。人均子女数量1.6个,人均男孩数量1.07个。有71.5%的中老年人表示没有与自己代际关系亲近的子女。样本中中老年参保率51.3%,仍有接近一半的农村中老年群体没有最基本的养老保险保障。参保者的最高学历、认知能力高于未参保者。参保者家庭人均收入、总支出、家庭房产数量、农用机械价值、土地价值高于未参保者。参保者人均子女数量和男孩数量略高于未参保者。相比于未参保的中老年人,已参保的中老年人子女与其代际关系更疏远,猜测代际关系疏远的个体更倾向于参与农村社会养老保险。

(三)研究设计
首先,农村社会养老保险参保行为是二值变量,采用Probit模型进行基准回归;其次,通过工具变量法解决可能存在的内生性问题;此外,在考虑中介机制检验可能存在问题的情况下,慎重选择中介变量并使用依次回归法及Bootstrap法探索代际关系亲疏对于社会养老保险参保行为的影响机制。基准回归模型如下:

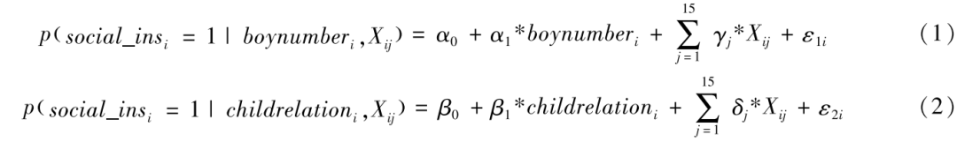
通过(1)式验证儿子数量对农村社会养老保险参保行为的影响。其中,i表示第i个受访个体;social_insi为被解释变量,表示第i个个体是否参加农村社会养老保险;boynumberi为解释变量,表示第i个个体的男孩数量;Xij为控制变量,表示第i个个体的第j个控制变量,共15个控制变量,ε1i为残差项。通过(2)式考察代际亲疏对社会养老保险参保行为的影响。其中,childrelationi表示第i个个体与子女的代际亲疏关系,ε2i为残差项。
(一)基准回归
表3展示了基准回归结果。回归(1)、回归(2)将男孩数量作为自变量回归,结果显示男孩数量对农村中老年人社会养老保险的参保行为影响不再显著。由此可见男孩数量不再是影响居民选择社会养老的因素,验证了H1。因此本文后续部分将围绕代际关系亲疏对于农村中老年人社会养老保险参保行为的影响展开进一步研究。回归(3)、回归(4)考察代际关系亲疏对农村中老年人社会养老保险参保行为的影响。加入控制变量后,调整后的R2增大表明解释力度提高,回归系数在1%的水平上显著为负,说明代际关系与参保行为显著负相关。代际关系越疏远,农村中老年人越倾向于参加社会养老保险,由家庭养老转向社会养老,验证了H2。经计算,代际关系的平均边际效应为-0.2096,即相比于亲近的代际关系,疏远的代际关系会使居民参加社会养老保险的概率上升20.96%。以上研究说明能否继续依赖家庭养老不在于孩子“数量”而在于代际关系的“质量”。代际关系亲疏成为影响农村中老年群体养老方式选择的重要因素。



(二)内生性问题处理
基准模型中通过个人层面、家庭层面控制变量较好的控制了个体、家庭特征。但解释变量代际关系可能因遗漏变量偏差、反向因果等原因造成其内生性问题的存在。因此考虑借助工具变量将内生变量进行分离。参考李丁等的做法,采用村或社区平均水平作为个体水平的工具变量。本文通过“村居顺序码”识别个体所属的村或社区,以该个体所属村或社区的平均代际关系水平作为工具变量。对工具变量的有效性分析,首先,社区内的个体居住位置相近、文化传统相近,居民素质、收入水平、家庭氛围较为相似,因此社区内平均代际关系亲疏与所居住的个体的代际关系亲疏存在相关性,满足工具变量相关性要求;其次,社区平均代际关系水平与个体的参保行为没有直接关系,社区平均代际关系仅通过影响个体代际关系来影响个体的参保行为,因此社区平均代际关系符合工具变量外生性的要求。
表4展示了检验结果。一阶段回归显示代际关系与工具变量在1%显著性水平上正向相关,F检验值为517.2,认为不存在弱工具变量问题。Wald检验p值为0.0135,拒绝解释变量外生的原假设,表明代际关系存在内生性。使用工具变量后,自变量系数在1%水平上显著为负,且绝对值更大。证明回归结果稳健可靠。


(三)稳健性检验
为了减少估计方法选取、变量定义、样本范围差异对实证结果造成的影响,本文通过更换估计方法、更改自变量定义方式、调整样本数据三种方法对回归结果进行稳健性检验。
1.更换估计方法
采用OLS及Logit方法再次估计,表5第(1)—(4)列结果均显示代际关系与农村社会养老保险参保行为在1%显著性水平上负相关,与基准回归结论一致。
2.变更自变量定义
基准回归中解释变量代际关系为二值变量,使用“是否有子女与自己亲近”来度量,此处稳健性检验使用“与自己亲近的子女数量”度量代际亲疏。由表5第(5)—(6)列回归结果可知,与自己亲近的子女数量越少,越会造成农村中老年人养老焦虑,从而越倾向于购买社会养老保险。与基准回归所得结果的逻辑一致。
表5 稳健性检验:更换估计方法、变更自变量定义

3.调整样本数据
为保证结果稳健性,此处将一年期截面数据更换为2016年、2018年两年期面板数据。分别使用混合回归、固定效应模型、随机效应模型进行检验。表6第(2)列、第(4)列、第(6)列为加入所有控制变量的回归结果,显示代际关系与社会养老保险参保行为显著负相关,即代际关系的疏远会提高农村中老年群体购买社会养老保险的概率。证实了基准回归结果稳健可靠。

(一)机制分析
多数文献采用Baron & Kenny的做法,使用逐步回归法进行中介机制检验。其中,对间接效应检验通常使用依次检验法、Sobel 法、Bootstrap 法,例如郑路和徐旻霞采用因果步骤法、Sobel中介效应检测、KHB 检测和 Bootstrap法来检验金融信任与金融素养是否是传统家庭观念对城镇居民商业养老保险需求的中介机制。关于中介机制检验方法,近来一些学者对其进行了探讨,认为需要审慎使用。一是估计可能存在偏误。使用逐步回归法进行中介机制检验只能检验相关关系、不可检验因果关系,因此所寻找的中介变量要尽量避免与被解释变量关系不明显的情况,中介变量对被解释变量的影响应该是直接、明显的,有理论、文献及经验常识做支持的。二是统计检验功效较低的问题。温忠麟和叶宝娟建议先使用依次检验法分别检验解释变量对中介变量的影响、中介变量对被解释变量的影响,若均显著,则不存在检验力低的问题,若有至少一个不显著,则使用Bootstrap法。
基于此,本文尝试在尽量避免出现以上两个问题的前提下探讨代际关系对农村中老年人社会养老保险参保行为的影响机制。第一,选择经济支持、生活照料作为中介变量进行检验。农村中老年人参加社会养老保险的动机在于养老保障。在子女提供代际经济支持及生活照料来支撑其进行家庭养老的情况下,中老年群体会减少对于社会养老保险的需求动机。已有文献表明,子女提供的经济支持及生活照料可显著提升农村居民选择家庭养老的意愿,而不选择社会养老保险。可见所选中介变量对被解释变量的作用较为直接且有理论常识作支撑。第二,本文拟先进行依次检验,若存在不显著的情况,使用Bootstrap法进行进一步检验。
中介变量Mi表示第i个受访个体受到的经济支持或生活照料。CFPS2016个人数据库中有“子女n是否向你提供经济帮助?(n取值为1—10)”,将经济支持定义为有子女提供经济帮助,即:有经济支持(有至少一个子女提供经济帮助)=1,无经济支持(无子女提供经济帮助)=0。个人数据库中有“子女n是否帮你料理家务或照顾你的饮食起居?(n取值为1—10)”,将生活照料定义为有子女提供生活照料,即:有生活照料(有至少一个子女提供生活照料)=1,无生活照料(无子女提供生活照料)=0。(3)式检验代际关系对中介变量的影响,(4)式检验在控制代际关系的情况下中介变量对被解释变量的影响。

表6对中介机制进行检验。中介变量为经济支持与生活照料。回归(1)回归(3)是对中介变量为经济支持时的检验结果。由回归(1)可知,代际关系与经济支持在1%的显著水平上正相关,表明代际关系疏远会减少子女为自己提供经济支持;由回归(3)可知在控制了代际关系的影响后,经济支持与参保行为在1%的显著水平上负相关,说明子女提供的经济支持越少,农村中老年人越倾向于参加农村社会养老保险,假设3.1得以验证。回归(2)回归(4)是对中介变量为生活照料的检验结果。由回归(2)可知,代际关系与生活照料在1%的显著水平上正相关,表明代际关系疏远会减少子女为自己提供生活照料。而回归(4)显示,生活照料与养老保险参保行为之间的关系并不显著。假设3.2未能得到证据支持。因此需要使用Bootstrap法进行进一步检验。
表7检验结果显示,当中介变量为经济支持时,bs1间接效应置信区间不包括0,中介效应成立,验证了假设3.1;当中介变量为生活照料时,bs1间接效应置信区间包括0,中介效应不成立,同样无法验证假设3.2。
表7 机制分析:依次检验法

以上检验说明代际关系疏远会造成子女提供的经济支持减少,进而促使农村中老年人参加农村居民养老保险,经济支持是代际关系作用于参保行为的中介变量,而生活照料不是。可能的原因如下:养老保险金对代际关系疏远导致的经济支持缺失具有一定替代效应,而无法对生活照料产生替代效应。具体来说:一是代际关系的疏远减少子代对父代的经济支持,经济支持的缺失将直接促使居民通过参与养老保险获取养老金,以尽量保障最基本的生活需求,因此代际关系疏远引起的经济支持缺失可以通过养老保险金弥补,养老保险金对其具有一定替代效应。二是农村居民参保城乡居民养老保险多数选择较低档次,保障水平尚低。样本中70—80岁老年人占比仅6%,排除存在重病的特殊情况,绝大多数人群可以生活自理。对于生活可以自理的群体,根据马斯洛需求层次理论,生活照料相比于经济支持来说属于更高层次的需求,一方面生活照料的缺失可能不会直接促使居民参保社会保险,另一方面低水平的养老金也无法购买生活照料服务。因此养老保险金无法对生活照料产生直接替代效应。

(二)异质性分析
首先,考虑到地区经济文化发展水平、风险意识、“以房养老”能力、“自我养老”能力的异质性可能会影响社会养老保险参保决策,本文从4个维度开展异质性分析,见表9。
表9 异质性分析结果

回归(1)回归(2)表明,相较于东部地区,中西部地区农村中老年人更易因代际关系疏远而参加社会养老保险。可能的原因是中西部地区的经济、文化发展水平、思想观念明显落后于东部地区,传统家庭养老思想根深蒂固,代际关系的疏远对其传统养老理念冲击更大,更需要通过社会保险来解决养老问题;回归(3)回归(4)表明,相较于低风险意识的人群,高风险意识人群更易因代际关系疏远而参加社会养老保险。原因是风险意识影响保险需求,高风险意识的人群在代际关系疏远时更能清醒、及时的认识自身所面临的家庭养老危机,从而试图通过社会养老保险方式来解决养老问题;回归(5)回归(6)表明,相较于拥有多套房产的群体,没有房产或仅有1套房产的群体更易因代际关系疏远而参与社会养老保险,可能的原因是无房产或仅一套房产的中老年群体“以房养老”的能力低于多套房产群体,所以更容易受代际疏远的影响,从“家庭养老”转向“社会养老”;回归(7)回归(8)表明,相较于持有农用机械的群体,不持有农用机械的群体更易因代际关系疏远而参加社会养老保险,原因在于持有农业器械在一定程度上代表着通过自我劳动取得收入或者通过器械租赁获取收入的能力,对于农民来说,不持有农业器械的群体在某种程度上“自我养老”能力低于持有农业器械的群体,更容易受代际疏远的影响,从“家庭养老”转向“社会养老”。
随着城镇化进程的推进、人口结构的变化和个体化思想的发展,农村居民逐渐进入“理性经济人”角色,加之农村青壮年外出务工、定居现象普遍,代际关系逐渐疏远,农村居民传统“养儿防老”的养老观念被打破。本文使用CFPS2016年数据,以农村中老年群体为研究对象,从个体代际关系亲疏的微观视角来分析传统家庭代际关系变迁这一社会宏观发展趋势对社会养老保险参与的影响。研究发现“养儿防老”已不再适用,男孩数量已不是影响农村中老年养老方式选择的重要因素,代际关系对农村社会养老保险购买行为显著负相关,即说明农村中老年群体是否能继续依赖家庭养老不在于孩子“数量”而在于代际关系的“质量”。随着代际关系的疏远,传统家庭养老方式面临风险,农村中老年人转向社会养老保险来解决自身养老问题。本文在选取该个体所属村或社区的平均代际关系水平作为工具变量处理内生性问题后,这一结果仍然稳健。进一步分析表明,代际关系会通过子代向亲代的经济支持对中老年人社会养老保险参保行为产生影响,没有证据表明生活照料是其中介因素。此外,相比于经济、思想发达的东部地区,中西部地区代际关系疏远对农村中老年人农村社会养老保险参保行为的促进作用更大。“以房养老”“自我养老”能力受限的中老年群体,在面临代际疏远导致的家庭养老风险时,更倾向于通过参加社会养老保险来解决养老问题。此外,风险意识越高,越能在疏远的代际关系中准确认知养老风险并参保社会养老保险。
本文对于代际关系变迁下农村中老年人养老问题具有一定的政策启示。第一,人口老龄化加速的时代背景下,养老问题本就成为社会性难题。代际关系疏远导致的代际支持缺失将对农村居民传统家庭养老模式提出更加严峻的挑战。因此代际关系变迁引发的养老风险必须引起社会各阶层的足够重视,也亟需引起后续研究的关注。第二,通过完善社会保障制度缓解代际关系变迁带来的家庭养老危机。要加强养老风险宣传教育,提高农村中老年人风险意识;加强社会养老保险宣传推广,提高农村居民社会养老保险制度认知和购买档次;加大政府投入力度,减轻农村居民社会养老保险缴费负担,充分发挥社会养老保险的基础保障作用。第三,社会养老是手段,代际关系有温情,一方面要加强传统孝道观念的宣传和思想教育,另一方面要通过制度措施,例如探亲制度、老年户口随迁制度等,引导代际成员加强联络,促进子代履行相应责任与义务,实现家庭养老和社会养老的配合与互补。