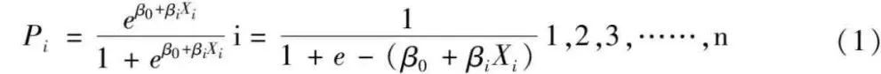
摘要:政治权利公平是公民权利平等的关键内容,也是推动公民广泛参与社会治理的重要保证。然而,学界有关政治权利公平与个体参与社区治理间关系的研究却十分缺乏。借助“中国社会状况综合调查”数据(2019),文章考察了政治权利公平感知对居民参与社区治理的传导机制。研究发现:(1)政治权利公平感知对居民参与社区治理两维度(即选举/决策参与)具有直接正向影响;(2)社会资本三维度(网络、规范、信任)在政治权利公平感知与居民参与社区治理间均具有中介效用;(3)社会资本三维度的调节效用具有差异,社会网络调节不显著,社会规范(或社会信任)调节政治权利公平感知与选举参与(或决策参与)间关系。实证结果既丰富了政治权利公平的理论研究,又为推动居民参与社区治理提供有益的实践启示。
关键词:政治权利公平感知;社会资本;社区治理;居民
中图分类号:D638 文献标识码:A
文章编号:1005-3492(2023)04-0048-13

图1 研究假设模型








