摘要:“十四五”是中国农业绿色发展的快速提升期,巩固提升小农户生产方式的绿色化程度是促进农业绿色转型和乡村生态振兴的应有之义。文章基于新疆16个农业主产区1106个农户的微观调查数据,运用Double Hurdle模型分阶段检验了影响农户绿色生产行为的关键要素,并借助调节模型深度剖析环境规制在农户经营决策过程中的作用机制。结果表明:农户绿色生产决策受到认知规范与环境规制的综合影响,且环境规制是认知规范与行为意向之间重要的情境变量。有鉴于此,建议把握生态认知与同群效应等利好条件,以环境规制作为当前绿色革命的主要抓手,并完善落实绿色生态为导向的农业补贴制度,从而循序渐进地引导农户迈向绿色转型之路。
关键词:农业绿色发展;农户;双栏模型;环境规制;影响因素
中图分类号:F323.8 文献标识码:A
文章编号:1005-3492(2023)05-0094-15
改革开放40余年,中国农业实现快速发展的同时,生态环境亮起了“红灯”,农产品质量触碰了“底线”。“十三五”以来,《关于创新体制机制推进农业绿色发展的意见》《乡村振兴战略规划(2018-2022年)》《中共中央国务院关于做好2022年全面推进乡村振兴重点工作的意见》等纲领与规划密集出台,彰显绿色发展引领乡村振兴的战略走向。可见,农业绿色发展既是中国农业发展观的深刻革命,也是“两山”理念在农业农村领域的必然实践。2019年“中央一号”文件明确提出要统筹农业面源污染治理、“三北”地区防护林修复、农业废弃物资源化利用等,以推进农业农村绿色发展。其中,农田防护林是产前保护性耕作的重要配套技术,能够有效强化生态系统有序性、改善农田弱抗逆性。特别对于“三北”绿洲农业而言,农田防护林在控制风沙干旱、促进农业增产丰收、改善小气候环境等方面功效显著。2022年10月,国家林草局、农业农村部、自然资源部与国家乡村振兴局联合印发《“十四五”乡村绿化美化行动方案》,重点强调了加强农田防护林建设、促进农田林网化,从而稳步增加乡村绿量。综上,“十四五”时期是中国农业绿色发展的快速提升期,而农田防护林已成为新时期助推农业绿色转型升级的重要载体之一。
大国小农是中国的基本国情,小农户仍是农业生产经营的基本单位和微观主体。因而,农业绿色转型有赖于小农户生产经营方式的转变,加速提升农户生产行为的绿色化程度是促进乡村生态振兴的关键着力点。就学术层面而言,农户绿色生产行为是指既能保障和增加生产与盈利能力,又能减少农村环境污染、提高资源利用效率的生产方式。21世纪以来,得益于“公共物品私人供给”和“集体林地三权分置改革”,小农户作为微观主体嵌入防护林管理体系。此举既能通过林业生产、生态补偿等获取经济回报,亦可促进林草生态保护修复与土地综合整治,一度破解了农田防护林的“集体治理”困境。联合国粮农组织森林负责人考德威尔就曾高度肯定中国农村家庭参与人工林种植对于农民增收与社会福利方面的突出贡献。然而,营林生产是“营造”与“管护”相结合的长期过程。当前,掣肘于农户的“理性认知”受限以及地方农林、水利等行业部门间协同不畅,多地农田防护林已然出现效能弱化、管护失位等乱象,致使实施效果与制度设计脱钩,严重制约农业绿色发展实践。对此,2022年农业农村部、自然资源部等联合印发《关于加强农田防护林建设管理工作的通知》,再度强调明确农田防护林责任主体、落实管护责任以及森林抚育补助的重要性和迫切性。有鉴于此,本文以农田防护林生产经营作为绿色发展实践的切入点,通过理论与实证分析探究如何诱发农户广泛持续的绿色生产行为,从而为农业绿色发展提供有益的实践参考。
伴随生态文明建设与乡村振兴进程的不断加速,“农业绿色生产行为”相关议题在理论界与实践中一直备受瞩目。通常,广义的农业生产包含种植、畜牧、林业、渔业及其他副业。目前,相关研究成果主要集中于秸秆还田、有机化肥、少耕免耕、农用地膜、节水灌溉等种植环节的绿色技术采纳,而对于其余业态的绿色行为探索较为匮乏。仅就研究载体而言,现有农业绿色生产行为的研究具有高度的典型性与聚焦性,但仍然存在异质性与代表性方面的缺失。“农田防护林”是保护性耕作的重要技术,也是农田基础设施的关键组成部分。同时,得益于其“林”的自然属性和生态功效,农田防护林已成为农业绿色发展的关键一环。立足“三北”地区,农田防护林的建设初衷是为了根除农业生产的“三刮四种”现象。在经济效益层面,营林利润主要取决于生产者的营造模式、管护方式以及林网效益。近年来新疆不断探索农林复合模式、林下种养殖、生态造林补助从而丰富生产经营者的增收渠道。
与此同时,国外研究大多认为绿色生产通常能够产生较高的经济效益,因而绿色生产行为能够满足理性经济人假说。然而国内相关调查证据表明,无论秸秆还田、施用有机化肥,亦或是节水灌溉、营林生产,农户在具体实施过程中普遍呈现“意愿与行为悖离”现象。特别对于农田防护林经营者而言,“外部性”与“胁地性”等固有顽疾,一直是绿色推广实践的现实阻碍。针对上述现实困境,已有研究为破解“意愿行为悖离”问题提供了有益的建议和思路。众所周知,认知是行为的先导。关于群体决策的研究表明,人们会在大脑中构建起认知外部世界的“模型”,而这种心智模型能够显著影响人们的生产、消费行为。而经济学理论认为,农户行为是具有理性的。通常农户的决策会受到理性程度以及所处环境的影响。而农户对于宅基地产权、土地流转、农业保险、环境保护的认知程度,会直接影响农户家庭的参与意愿和经济行为决策。即使进一步将领域聚焦于“农户的绿色生产认知”,上述影响逻辑依然广泛成立。然而,近年来亦有研究表明,农户既是“经济人”同时也是“社会人”,在双重身份作用下农户的生产行为更趋理性。而在具体生产实践中,风俗习惯、道德约束等社会规范能够有效调节农户的行为,这也间接呼应了外部环境要素对于农户生产决策的影响。
综上所述,众多学者围绕绿色生产行为的现实阻碍以及驱动因素开展了较为广泛的探究,诸多研究成果为本文提供了重要借鉴。然而,上述研究在分析视角和研究对象方面仍然存在可拓展的空间。一方面,已有文献更多聚焦种植环节的某项绿色生产技术开展分析,而甚少关注森林及其他生态要素对于乡村绿色发展的关键价值。另一方面,农田防护林的“自然解决优势”在绿色发展战略中持续凸显,然而这一研究载体的重要价值目前并未在已有文献中得到充分体现。综上所述,本文将吸纳、总结上述研究成果,并尝试为农业绿色生产的学术研究作出边际贡献。
(一)认知规范与环境规制
农户向绿色生产方式转型是一个系统化的决策过程,农户行为决策很大程度上由内外部因素共同决定。在内部因素中,认知规范代表了个人的价值观、内在道德和义务倾向。根据自然辩证法,认知规范可被视作认识活动中应遵守的规范。其既属于认知又属于规范的范畴,对于规范农户行为、唤醒农户责任意识具有重要作用。因而可以认为,农户绿色生产行为是建立在有效性认知基础上的自觉行为。而在外部因素方面,著名的梅奥“霍桑实验”证明:人不是单纯的理性人,也是社会人。而小农户的生产决策也更容易受到外部环境因素的影响。新制度经济学理论认为:人们总是在一定制度约束条件下最大化自己的效用。就绿色生产行为而言,环境规制是政府调节农户经济生产措施的集中体现,主要包含引导、激励与约束三类规制。作为外部制度因素,环境规制对于农户生产行为的重要影响已被广泛证实。综上,本文将紧密围绕认知规范与环境规制,对影响农户绿色生产决策的内外部要素进行综合探究。
(二)“认知—意向—行为”决策框架
Ajzen的计划行为理论构建了完整的“认知—意向—行为”个体行为响应过程,为社会、经济领域内的行为选择或行为决策研究提供了坚实的理论参考。首先,个体认知是通过思维或者感官对外界事物与获取的信息进行加工的产物。农户认知是生产决策的先导,也是意愿的发生基础。而理性行为理论显示,意愿是行为的预测,是个体发生行为的充分条件。意愿的形成有赖于自身条件与个体认知的综合作用,可被视为连接个体认知与行为的中介。此外,Hoffman等研究认为外部环境变量作为重要的情境因素,对于认知与行为之间可能存在作用关系。然而,立足个体行为响应的完整过程,当前并无广泛的理论和证据指明,外部环境因素会在思维认知向行为转化的具体某个阶段产生关键影响。

综上,文中基于研究区的实地调查与理论思索,选取“认知规范”“环境规制”作为潜变量,并结合“理性小农”和计划行为框架中意向与行为的转化准则,构建包含情境因素的“认知规范→行为意向→行为响应”的理论分析框架(详见图1)。本文将先以“认知规范”和 “环境规制”为基准搭建指标体系,并借助模型验证影响小农户绿色生产行为意向与行为响应的关键要素。而后在此基础上,本文将以“环境规制”为调节变量,分别检验其对于个体行为响应过程的两个不同阶段究竟存在何种作用效果。
(一)区域概况与调研设计
新疆是中国典型的干旱、半干旱区,区内沙暴、寒潮、旱风、盐碱等自然灾害频发,生态环境异常脆弱。而农田防护林对于强化农田生态系统平衡、保障农业高产稳产、加速推进农业绿化等方面功效显著。作为国家“三北防护林”体系的重点建设省区,新疆近40余年农田防护林面积和蓄积均大幅提升。截至2019年,新疆农田防护林面积超过34万hm2,活立木蓄积量已达4893.02万m3,理论上全区95%的耕地得到林网庇护。此消彼长之下,新疆全区荒漠化土地和土地面积沙化速度显著降低,而人工绿洲总面积则从新中国成立初期的130万hm2扩大至630 hm2(数据截至2018年),可见农田林网的生态效能立竿见影。得益于“三北工程”的持续推进,新疆农田防护林也因“窄林带、小网格”的模式全国闻名,在20世纪90年代便已基本实现区内平原农田林网化。从区域的建设成效来看,南疆优于北疆和东疆,而兵团建制内的农田防护林运营整体优于地方。
表1 样本分布及区域统计

然而,农田防护林作为典型的乡村生态产品,因其自身具备的非排他性导致营林管护过程中容易出现“生产外部性”以及“消费不经济”。自1978年以来,新疆区内的集体林权制度改革历经“三定”、宜林荒山荒地使用权拍卖、林地使用权流转等不同阶段,然而当前区内农田防护林营林生产仍然面临农户认知偏差以及部门间协同不畅等问题,严重抑制了农户的经营积极性,阻碍生态产品的价值实现以及农业绿色发展进程。为此,课题组以随机抽样与分层抽样相结合的方式在昌吉玛纳斯县、塔城沙湾县、伊犁霍城县、阿克苏温宿县、巴州焉耆县、喀什疏勒县、哈密巴里坤等16个乡、镇分别抽取3—5个行政村,并在每个村庄随机选择20—30个小农户展开问卷调查。为核实数据的可信度,通过对各县、乡林管站工作人员进行访谈作为间接依据。样本区域分布详情见表1,样本点选择基本覆盖了新疆农田防护林的重点建设区域以及集体林改的主要试点。
(二)样本信息概述
本文所用数据来源于2018—2020年间对新疆主要农业产区开展的小农户微观调研,课题组成员分阶段对北疆、南疆、东疆采取详尽的入户调查。拟发放问卷1200份,而后剔除逻辑矛盾以及数据缺失样本,实际获取有效问卷1106份,有效率为92.1%。根据基本信息统计可知,所获样本中女性户主数量高达568户,其占比显著高于非民族地区的常见微观调查。在全部受访农户中,老年户的比例仅占8.50%,该项年龄分布结构有利于实证结果的稳健性。而在所有问卷中,户主的受教育程度主要集中于初中以下阶段。此外,样本统计信息揭示了当前农户对于农田防护林具有较好的经营意向,可见新疆农户普遍认可农田防护林绿色生态的作用效能。具体调查区域、样本家庭成员个数和家庭年均收入等指标此处不再赘述,相关信息的统计结果详见表2。
表2 样本基础信息

(三)变量选择与描述性统计
根据前文的理论梳理,“认知规范”主要包含认知与规范两个层面,能够全面刻画农户行为转化背后的信念、思维、规范等要素。而“环境规制”主要由引导规制、激励规制和约束规制三方面构成。在农户认知层面,通常小农户的行为意向以实现预期利益最大化目标为基准,并在综合考量成本、收益等各方面信息后作出生产决策。同时,伴随全党、全社会对于绿色发展战略和“两山”理念的呼吁和践行,潜在的生态效益和“绿水青山”的价值转化也应被纳入成本效益最大化的考量范畴。此时,小农户个体对于绿色生产行为的不同认知将导致边际成本曲线或边际收益曲线的波动。此外,根据课题组的微观调查,新疆农户的绿色生产决策同詹姆斯·斯科特的“道义经济”理念更为接近。即农户间会通过互惠和庇护关系提供非正式的社会保障,通过再分配以达到群体生存的目的。综上,农户认知对于家庭行为意向与行为决策的影响已被广泛证实,而认知范围不仅局限于生产经营收益,也同生态效益、群体利益等息息相关。而在农户规范层面,社会规范是群体及其成员对某些事件所理解的行为规范与准则,对个体行为有一定的引导作用。另外,对于营林生产而言,农户参与的技术培训以及自身经营能力等个人认知规范也会影响农户的经营决策。
综上,本文依照理论分析框架,并充分参考现有研究成果遴选了13个观测变量,并基于个体、家庭、经济、气候层面选取10个常用指标作为控制变量。而本文的因变量有两个,一是小农户经营农田防护林的“行为意向”,用1和0分别表示有、无营林生产意愿;二是小农户经营农田防护林的“行为响应”,由1至5的离散选择反映小农户响应程度的递增。鉴于开放式指标通常难以直接获取,除“家庭劳动力数量”“家庭年均收入”等选择变量外,其余自变量利用Likert五级量表进行测度,以克服抽象概念的度量误差。从1—5依次代表“完全不赞同(很差)”“不赞同(较差)”“基本赞同(一般)”“赞同(较好)”和“非常赞同(很好)”。指标体系及变量描述性统计详见表3。
表3 变量定义及描述性统计

(四)实证模型设定
实践中发现,小农户绿色生产的行为意向和行为响应可能同时兼在,也可能处于一种向另一种转化或消退的状态。经课题组调查发现,当下小农户的绿色行为意向与行为响应程度并不一致。不仅展现“高行为意向,低行为响应”,甚至部分农户存在“有行为响应但并无行为意向”,整体呈现“围城”困境。因而,纯粹依据两类观测值进行回归分析势必容易出现度量误差。同时,若采取差异化的指标方法则存在遗漏变量问题的担忧。

对此,Cragg提出对于一个项目活动的参与,个体决策应由两部分组成,第一个门槛决定个体是否属于零类型,第二个门槛是在第一个阶段非零的条件下决定个体的参与程度,并构建了Double Hurdle模型。其优点在于能够运用相同的指标逐步估计BI和BR,即先探究“质”的状态,再客观分析“量”的程度。此外,该模型在条件样本删失的情形下,允许零值的概率可以由观测值的非经济因素决定。
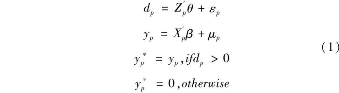
在(1)式中,dp是农户p经营农田防护林的行为意向,取值为0或1。yp反映农户p对农田防护林经营的响应程度,
和
是共同影响BR和BI的同一组经济社会变量,参数θ和β用于揭示有无意向和实际响应程度,εp和μp是随机扰动项,服从独立同分布。特别的,
是生成的条件变量。当农户的dp>0,表明农户存在行为意向,此时dp=1,
=yp;而当dp=0,即无行为意向,此时无论该农户行为响应程度如何,均视作yp=0。该设定能够克服离群值对BR估计结果的影响,且不会产生样本选择偏误。Cragg建议Double Hurdle模型估计采用最大似然原理,似然函数形式为:

(2)式中,σ是密度函数,等式右边第一项自然对数和与Probit模型结果相对应,若农户经营农田防护林的意向不为零,则Zp>0,等式右边第二项的自然对数和对应断尾回归的结果,反映小农户的行为响应程度。
(一)模型拟合度检验
本文借助Stata16软件对计量模型进行检验与估计,表4是模型的有效性检验结果。通过伪判决系数(Pseudo
)和对数似然函数值(Log likehood)等统计量可以得出:借助Probit模型对农户行为意向的拟合效果较好,而截断高斯回归模型也适用于小农户农田防护林经营行为的研究。因此综合上述判断,本文运用Double Hurdle模型分两阶段对BI和BR进行实证检验更为合理。
表4 模型拟合度检验结果

(二)实证结果与分析
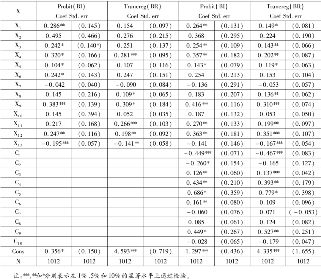
经检验,各变量间相关系数最大值为0.51,方差膨胀因子VIF最大值是1.80,满足相关系数小于0.6、VIF小于10的准则,可以进行参数估计。Probit模型和Truncreg模型的卡方值在1%的水平下均显著,表明模型具有良好的解释力度,估算结果详见表5。
表5 双栏模型估算结果(N=1106)

在认知规范(认知)方面,测度农户经济效益认知的变量“增加作物产量”对行为意向的影响较为显著。但落实至具体的行为响应,该变量的作用程度明显呈下滑态势;而“提高家庭收入”在两阶段模型中均不显著,可见经营性收入并不是小农户经营农田防护林最重要的驱动力,这也与理论框架中新疆农户的行为逻辑相吻合。观测生态效能认知的变量“吸收二氧化碳”“改善小气候环境”在两个模型中均呈现较高的显著关系,说明农田防护林的生态效益深入农户内心,这不仅有助于提高农户的绿色生产意向,也是激发农户实际行为响应的关键诱因。因而,上述分析也能侧面反映新疆农户在农田防护林经营决策中的“生存理性”优先于“经济理性”。此外,表征社会福祉认知的变量“提升环保意识”和“促进非农就业”在一阶段模型中的显著性均高于第二阶段,说明有关公共福利的考量会对农户行为意向产生积极影响,但其驱动绿色实践的效果容易出现阻碍。“自身营林能力”对农户意向和行为响应没有产生显著影响。但该变量的回归系数为负,揭示小农户的自身营林管护技术和行为响应的负向激励关系,因此提升营林生产能力和管护技术将是促进农户持续响应行为的重要环节。特别的,“定期培训服务”仅在行为响应模型中通过了1%的显著性检验,证明技术培训并不会提升小农户对于绿色生产的偏好和意向,只有行动上积极响应的农户才对定期技能培训青睐有加。结合自身营林能力的显著系数,可见生产技能的缺失会对绿色生产决策产生抑制,但技术壁垒并不是阻碍农户行为响应的决定性因素。而相较于“村庄污染状况”对农户的负向刺激,“邻里带动作用”无论对于农户的绿色行为意向还是绿色行为响应均能产生更加显著的带动效果,这也验证了从众心理和同群效应对于农户价值观和道德倾向的重要影响,也侧面证实了社会规范及社会属性在小农决策分析框架中的不可或缺。
表6 稳健性检验估计结果

在调节变量中,新一轮集体林地三权分置对行为意向和行为响应均有一定的正向影响。可见,产权明晰依旧是小农户经营行为的重要保障与激励。但该政策的作用效果在统计上的显著性一般,可能与当前新疆集体林改进程相对滞后、各区域间配套政策和执行状况存在偏差有关。“生态补偿激励”对于农户行为产生了显著的正向影响,这比较符合小农决策和响应激励的行为逻辑。但调研中发现,部分农户存在对公益林补贴和增收稳定性的担忧,这也是目前地方公益林在森林资源体系中的相对弱势带来的连锁反应。因而,如何稳定提升林业收入和生态补偿将是进一步提升绿色生产意向、诱发持续营林响应的重中之重。最后,“采伐限额约束”在两个模型中呈现出显著的负相关,这也刻画出当前新疆小农户生产决策过程面临的采伐指标限制与生产周期较长等多重困境。而在控制变量中,“户主年龄”对于农户生产意愿及行为均产生了负向的显著性,这也与诸多关于绿色技术采纳的研究结论相契。“投资收益周期”在两阶段模型中产生了高度显著和一般显著作用,此外两阶段估计系数的方向也发生了偏差,这可能是由于行为转化过程中,农户行为意向的预期与行为响应的动机差异导致的。模型回归结果显示,“前期投入成本”和“经营性收入占比”对于小农户农田防护林经营决策的影响微乎其微,可见生产收益和前期投入并不是决定农户生产决策的主要因素。此外,“家庭劳动力数量”变量则在两个模型中均产生了较为显著的影响,表明农田防护林所需管护周期较长,劳动力资源禀赋也是农户家庭绿色生产决策的必要前提条件。
通过对比发现,本文诸多因变量的作用方向和影响程度在两个模型中呈现出较高的一致性,且整体在第一阶段的拟合显著性高于第二阶段。根据Double Hurdle模型报告的检验结果,小农户的行为意向对行为响应的估计系数为0.324,通过了10%的显著水平检验。证明农户的绿色行为意向对于绿色行为响应具有一定的解释力度和推动作用,但在BI→BR的转化路径中,农户行为容易受到内外部要素的综合影响导致行为分化,若在推动农户绿色转型的实践道路上缺乏足够的外部激励,便难以诱发广泛的绿色行为响应。
(三)稳健性检验
为进一步对Double Hurdle模型的估计结果进行验证,本文拟对实证分析的结果进行稳健性检验,以求证估计结果的可靠性。在计量分析中,“替换因变量”与“选择子样本”是常见的衡量模型稳健性的方法。鉴于本文中两个因变量能够在相同指标的前提下实现相互印证的效果,本文拟采取“剔除老年户样本”的处理方式对模型进行了重新估计,稳健性检验回归估计使用了异方差稳健标准误以得到更加精确的参数估值,具体估计结果详见表6。通过对比分析,本文遴选的主要自变量和控制变量在模型中的作用方向和显著性水平与表5的估计结果呈现高度一致性。说明上述模型对于变量的估计具有较强的适用性,因此模型的参数估值稳定、可靠。
(四)环境规制的调节效应检验
North的制度变迁理论为本研究个体认知与行为决策的关系验证提供了重要启示,而Hoffman等通过研究外部环境要素发现,环境规制作为重要的情境因素,对于认知规范与行为之间可能存在作用关系。因而,文中基于Double Hurdle模型的检验结果,将环境规制设定为目标变量,借助调节模型检验其对于其他潜变量与因变量之间的作用关系,SPSS21的拟合结果详见表7。总体上,环境规制在两个因变量与其他潜变量之间的调节作用与方向较为一致。环境规制作为重要的情境变量,能够有效弥补小农户认知规范的不足并施加影响,进而有效诱发农户的绿色生产行为响应。特别的,尽管表征农户规范的变量在双槛模型中并未体现其对于两个因变量的高度显著作用,但与环境规制交互以后,农户规范对于行为意向和行为响应呈现极高的显著性。而将潜变量认知规范进行细分后发现,生态效能认知与环境规制交互项的显著系数及水平均高于经济效益认知与环境规制的交互项,再次验证了生态脆弱区小农户经营决策的“生态经济人”特质。然而环境规制无法对小农的有限认知产生助推作用,以致实际行为响应常常无法兼顾社会福祉。最后,在认知规范→行为意向→行为响应的路径转化中,环境规制无法通过对农户的绿色生产意向再次施加影响以诱发持续的绿色生产响应,只会在前半条路径中产生调节作用。
表7 调节效应检验(N=1106)

样本统计信息显示,当前新疆农户的绿色生产实践呈现高认知、高意向和低行为响应的非理想路径。尽管小农的绿色生产决策属于“理性人”的自由选择,然而面对诸如农田防护林等具有准公共产品属性的生态生产活动,农户需要应对营林生产的外部性问题。此外,多数农户不仅要为自己的家庭生计负责,还需在社会规范中考量群体存续问题。此时,科斯倡导的市场机制容易出现失灵,无法实现高效的资源配置,绿色生产难以自然实现帕累托最优。欲在短期内缓解目前农户行为转化滞而不畅的困境,需以全面贯彻农业绿色发展战略为契机,以庇古提倡的环境规制举措作为主要抓手,通过税收、补贴等形式实现环境规制与农户认知规范的交互作用,以便能在“生存伦理的安全取向”“社会网络中的经济行为”以及“环境规制下的理性选择”综合影响下形成更加辩证、长远的价值观和道德倾向,从而持续诱发农户生产方式的绿色嬗变。
眼下,农田防护林在农业绿色发展战略中的“自然解决”优势尽显,且其吸收二氧化碳、改善气候环境等功效深入农户内心。因而,地方政府应采取行之有效的宣传策略以产生邻里间的同群效应,从而诱发农户间广泛的行为响应。同时,坚持执行合理的地方公益林补偿及环境规制手段有利于破解当前农户绿色生产意向与行为响应的异化难题。然而,环境规制变量对于农户绿色行为意向与行为响应的影响程度及作用方向存在差异,且调节效应检验结果表明,环境规制对于行为意向到行为响应的转化过程并未产生关键的催化作用,可见仅依靠政府环境规制也存在局限和不足。立足长远来看,尽管当前中国“绿水青山”到“金山银山”的转化之路仍在探索,但绿色发展战略内含“预期引导”的作用。若要引导绿色资源与生态要素向绿色低碳循环的发展方式集聚,唯有借助市场行为的激发,才能实现政府与市场的双轮驱动。但在生态要素与绿色市场实现衔接融合前,必要的财政支持与合理的规制手段之间协同配合将是引导农户绿色生产转型的根本保障。
本文基于1106个农户的实地调查数据,运用理性经纪人假说、新制度经济理论等构建了小农户绿色生产决策的分析框架,并运用Double Hurdle模型和调节模型实证检验了绿色发展战略下新疆农户绿色生产行为的影响因素及决策机理,得出如下主要结论。
(1)农户认知规范、政府环境规制是决定农户绿色生产意向和行为响应的关键要素,但绿色生产的外部消费经济性和配套政策不完善容易对农户的绿色认知产生抑制。因而相较于行为意向,农户认知规范对于行为响应的驱动效果呈现下滑趋势。
(2)环境规制是各潜变量和两个因变量之间重要的调节变量,但在文中“认知规范→行为意向→行为响应”的决策路径下,环境规制变量只对农户认知规范和行为意向之间产生了显著的调节效应,目前对于行为意向转化为行为响应的规范、促进作用尚不明显。
(3)绿色发展战略为破解农户生态认知与行为反应异化、绿色意向与行为响应悖离等多重困境提供了宝贵契机,需要充分利用环境规制的催化效果,同时加速生态环境产业以及绿色要素市场的发展,从而促进农业绿色高质量发展。
文中研究结论可为促进农田防护林可持续经营、助推农业绿色发展提供参考。
(1)应把握当前小农户的生态认知和邻里间羊群效应等积极因素,通过强化生态效能感知、有效宣传引导、协调行业部门间政策等手段诱发农户的持续响应。
(2)短期内当以环境规制手段作为绿色行为转化的主要抓手,并在尊重农户意向的基础上,循序渐进地实现“自由主义的温和专制”。
(3)以绿色发展战略为契机,探索完善绿色生态为导向的补贴制度,同时加速人工生态林经营管理与绿色要素市场的融入与衔接,在保障农民收益的前提下构建农业绿色发展的长效机制。