摘要:基于人口老化与财务平衡推定提高退休年龄是劳动生产率同质假设的静态逻辑。理论上,最优退休时间取决于劳动者退休后消费水平与休闲收益的权衡。劳动生产率是能够同时影响消费水平与休闲收益的本质性变量,对劳动者退休时间决策具有双重效应。劳动生产率异质性使不同劳动者、不同时期的退休时间决策具有明显的异质特征;国家与社会有必要对异质性劳动生产率导致的异质性的劳动者最优退休时间作出回应,从而适时优化现行退休时间政策。模拟分析表明,劳动生产率异质性决定了最优退休时间的异质特征,两者之间存在显著的反向关系;在基准情境下我国劳动者的最优退休时间约为63.16岁;若要维持60岁的法定退休年龄,则必须保持9%的劳动生产率增长率。因此,摒弃劳动生产率同质假设并重视通过劳动生产率路径缓解养老金压力、实施激励相容的弹性退休计划、不断提高劳动者与社会的劳动生产率等有助于改进我国退休政策的有效性和可持续性。
关键词:劳动生产率;异质性;退休时间;退休决策
中图分类号: C971;F242 文献标识码:A
文章编号:1005-3492(2024)02-0077-15
退休是个体劳动生涯的重要阶段,劳动者将退出劳动力市场不再提供劳动并获得闲暇,但也因此不再获得劳动收入,这意味着个体必须提前为退休阶段的消费进行财富积累。传统意义上,劳动能力缺失、养老财富积累是影响退休时间的两大因素。而随着社会经济的不断发展,退休带来的休闲收益日益成为影响人们退休行为的重要内在因素。工业社会的到来与人们健康水平的不断提高使养老财富越来越成为退休决策的显性变量,与此同时也在相当程度上强化着人们对闲暇的偏好。相对于制度性的强制退休,这种基于健康、养老财富与休闲偏好的退休行为,即为劳动者的内生退休决策行为。由于个体—社会行为的同构性,社会层面的退休行为同样具有内生特征,并进而影响制度性的退休时间计划设计。
无论生命周期模型还是世代交叠模型,在物质形态上,养老财富最终都表现为个体劳动者或社会生产的产品或服务即劳动产出,退休人口的消费对象都只能是当期劳动者创造的个体或社会财富的一部分。进一步,养老财富进而退休人口消费水平依赖于劳动者或社会的劳动生产率与劳动时间,其中任一因素的变动均会引起养老财富的同方向变化,从而影响退休时间的决策。在给定劳动时间前提下,劳动生产率成为养老财富与退休消费水平的决定性因素,在这个意义上劳动生产率的高低意味着个体劳动者或社会养老能力的高低。而在宏观层面,劳动生产率与劳动时间的变动则会影响一项退休计划的有效性与可持续性。一般来说,劳动生产率具有相对客观性和外在特征,而劳动时间则与退休时间互为表里,人们更习惯基于劳动时间—退休时间关系考虑退休问题。于是当养老财富积累存在压力时,退休时间似乎就成为解决问题的首选甚至唯一突破口。显然,忽视劳动生产率因素而仅仅基于退休时间探讨养老金财务平衡及退休计划有效性是片面的、静态的。个体退休决策或者一项退休计划,只有将劳动生产率与劳动时间两个因素结合起来系统考察才合乎逻辑。随着人口老龄化的加剧,世界范围内的养老财富压力持续增加,提高退休年龄成为众多国家应对养老金危机的“法宝”,我国也不例外。然而忽视劳动生产率因素而过于关注劳动时间的延迟退休观点在理论上是不合乎逻辑的,基于此的退休政策也是不科学的和低有效性的,最终损害的是广大劳动者的福利水平。
不言而喻,个体劳动者之间或不同时期间的劳动生产率的变动与差异即劳动生产率异质特征会直接影响个体或社会的劳动产出,从而影响个体劳动者或社会的养老财富积累。特别是随着劳动生产率的提高,不断增长的个体与社会的经济产出能够使养老财富在更短工作时间内积累起来,使人们在维持正常消费水平的同时拥有更多的退休闲暇。早在1966年,美国学者Kreps & Spenglar就已指出,随着生产率的提高,许多延长休闲时间与提高消费能力的新机会会出现,一个极端的情况是退休年龄会降至38岁。而James H. Schulz认为,“从历史上看,工人生产率的提高使休闲时间和收入都同时得到了增长”;而最近几十年大多数休闲时间发生在人生晚年。这意味着劳动生产率同样是决定养老财富积累、影响退休时间决策的关键因素。
人类社会的发展总是伴随着劳动生产率的不断提高,正因为如此,在人类的劳动史上表现出来的是社会平均的劳动者工作时间在相对减少而获得的闲暇时间在缓慢增加。但也不可不论,不同劳动者个体之间的劳动生产率的异质性、不同时期社会平均的劳动生产率的异质性导致了不同主体之间的工作—休闲年限比各自迥异、不同时期的社会平均的工作—休闲年限比各不相同。然而现实生活中,持续的养老财务压力却使延迟退休成为世界各国退休领域普遍的政策主张。劳动生产率的异质性特别是不断增长的劳动生产率到底如何影响劳动者个体的退休时间决策、又如何影响社会层面的退休时间计划,是值得深入研究的重要问题。
在公共退休计划建立之前,并不存在真正的退休时间决策与社会意义上的退休时间计划,劳动者一般都会劳动至身体健康不允许工作的时刻。现代意义的退休计划是工业社会的产物。19世纪末德国首创退休制度,规定劳动者达到70岁可以领取养老金。1935年美国颁布《社会保障法》,规定65岁是老年人退休的适宜年龄,退休后由政府提供收入补偿。20世纪以来老龄化不断强化着退休决策与退休计划的重要性,加之世界范围内养老金财务的持续压力,退休时间逐渐成为世界各国关注的共同议题。
经济学对退休时间的早期探讨并不是基于退休本身,而是始于退休对个人储蓄、消费行为的影响。美国经济学家Modigliani指出,有远见的劳动者会理性地安排他们一生的消费,通过储蓄以备退休之用,以此实现生命周期的福利最大化。虽然Modigliani并未探讨退休时间,但其提出的生命周期假设已经隐含着一个理性劳动者如何进行退休时间决策的基本思路。20世纪70年代中期,退休的长期趋势引起了经济学者的注意,关于退休时间选择的经济学研究开始爆炸性的增长。其中Gary S. Fields & Olivia S. Mitchell、Alan L. Gustman & Thomas L. Steinmeier等认为退休时间是“闲暇”与“未来消费能力”之间权衡的结果,并基于边际分析构建了退休时间决策的最优模型。
随着人口老龄化的加剧,学者们将探讨重点拓展到退休时间的调整方面:提高退休年龄。这其中一部分研究基于对养老金财务平衡的担忧,如Echevarria、Prettner & Canning、John Turner等认为随着预期寿命的提高,提高退休年龄成为减轻养老金计划财政压力的重要措施。而另一部分研究则是基于就业与劳动力短缺问题。Jonathan Barry Forman、Belan et al.等指出提高退休年龄能够提高就业率、劳动参与率,对劳动力市场具有促进作用;但也有学者反对提高退休年龄,认为提高退休年龄会降低老年劳动力的劳动参与率,并对依靠养老金获得收入的人产生负面影响,试图通过延迟退休解决养老金财务问题的想法是错误的。而Peter Haan & Songu l Tolan认为延迟退休期待的更灵活的劳动供给和相关财政效应是不明确的,其强烈地依赖于退休制度设计。Johannes Geyera等人的研究则认为提高退休年龄在短期中具有积极的财政影响,但其就业效应对于不同群体则大不相同。
国内关于退休时间的研究始于20世纪90年代,其中退休时间决策因素的研究是一个重要方面。徐勤、李锐、田宋和席恒等众多研究得出大致相同的退休时间影响因素,但却并未涉及劳动生产率因素。退休年龄调整即延迟退休问题是国内研究的另一焦点。林义、邓大松、高建伟等研究者主张通过延迟退休来应对老龄化问题。更多的研究如柳清瑞、田月红等认为延迟退休是实现我国养老基金财政平衡的必要手段。而基于劳动力供需与就业问题,张车伟、范琦等研究显示延迟退休会对就业产生负面效应,不宜延迟退休时间;而封进等认为延迟退休政策需要权衡劳动供给与家庭照料之间的矛盾。杨李唯君等研究表明延迟退休会对中国未来的人力资本产生不同影响。唐钧、潘锦棠认为延迟退休并不能解决养老金缺口,养老金平衡问题不能仅靠延迟退休来解决。值得注意的是部分研究已经对退休时间有了更为深刻的探讨。李海明指出退休自愿是退休权的内核,构建我国的退休自愿权极为必要。张熠认为有必要借鉴国际普通采用的内生退休范式深化我国退休研究。
国内外学者关于退休时间的研究已经持续了半个世纪,对于内生退休决策模型已经取得了较为一致的成果,但这种最优退休模型显然是基于劳动时间的边际权衡,并未涉及劳动生产率的可变性和异质性;而在提高退休年龄方面尚存争议,但持支持态度的研究大多都基于养老金财务平衡而非经济产出或者休闲偏好。面对不可逆转的人口老龄化,延迟退休的确有助于保证退休人口的消费水平;但延迟退休时间并非保证退休消费水平的唯一选择,更何况延迟退休与人们的休闲偏好背道而驰。毕竟,人类进步史本身就是一部劳动生产率的提高不断拓展人们的休闲与自由的历史,免于劳苦、增加闲暇才是人类向往自由的永恒追求。内生退休模型已揭示出退休时间决策的实质在于消费最大化与休闲最大化的均衡,其中最终起决定作用正是劳动生产率因素,因此仅仅基于养老金财务平衡而忽视人们的休闲偏好、忽视劳动生产率因素探讨延迟退休时间显然有失偏颇。在理论上,劳动生产率是能够同时影响人们的消费水平与休闲收益的关键变量,考虑劳动生产率及其异质性,将有助于全面而准确地认知人们的退休时间决策,避免“短视化”研究与政策设计,以改进退休个体的消费水平与休闲偏好的均衡状态。
(一)退休时间的理论分析:养老财富、休闲收益与劳动生产率
根据内生退休决策模型,个体最优退休时间取决于边际劳动补偿与边际工作损失的权衡。养老财富构成劳动补偿的核心,而工作损失则主要意味着退出劳动而获得的休闲收益。在理论上,理性个体会将一生中的全部收入在工作与休闲两个阶段进行分配以最大化生命周期内消费效用。一般而言,退休即意味着休闲,退休带来的休闲收益不同于狭义的消费效用,是构成个体生命周期福利的另一变量。然而休闲收益需要以收入损失为代价,从而影响个体的消费效用,因此,个体将在休闲收益与消费效用之间进行权衡,以确定最优退休时间。相对于开始工作时间,退出工作时间决策更加复杂。毕竟,退休时间决策是面对未来数十年不确定性所进行的规划,对大多数人而言从来都不是一件容易之事。
在理论上,如果基于生命周期模型,人们在退休阶段的消费支出来自劳动者本人工作阶段的劳动收入;如果基于世代交叠模型,退休人口的消费支出来自于处工作期的子代的收入转移支付。此时,两种模型下退休人口的消费支出均受制于“工作期”的劳动收入,因此无论在个体层面还是在社会层面,退休人口的消费水平必然依赖于因工作获得的劳动收入,或者说劳动产出。无论采取何种筹资模式,退休人口的消费对象只能是物质形态的实物产品或服务,价值形态的退休权益和养老金只是获取产品或服务的介质,退休人口的消费行为在本质上必须依赖于当期工作人口的劳动产出,即所有退休人口的养老均是实物养老,影响退休时间决策的基础性因素一定是个体或社会的劳动产出。
相对于劳动时间,劳动生产率是影响劳动产出的内在变量,体现着劳动产出进而养老财富的质的规定性,它更深刻地影响着人们的退休行为。这种影响主要基于劳动生产率的异质性考虑。劳动生产异质性意味着劳动生产率的可变性,既指劳动生产率在不同劳动者之间的个体间异质性,也可以指劳动生产率在时间序列上的异质性。劳动生产率的代际间异质性是劳动生产率在时间序列的异质特征的一种特殊表现。
传统最优退休模型中的边际劳动补偿与边际工作损失均是对劳动时间的边际效用,隐含着劳动生产率不变的假设。考虑劳动生产率异质性可以将传统最优退休决策模型进行扩展。首先,当考虑劳动生产率的个体异质性时,不同劳动者的边际劳动补偿与边际工作损失均不相等,由此决定的最优退休时间会在不同劳动者个体之间表现出明显的差异性。同时对于最优退休决策的约束条件来说,劳动生产率较高的劳动者个体能够积累必需的养老财富而不增加甚至减少劳动时间,从而使提早退休成为可能;而对于劳动生产率较低的劳动者则相反,其最优退休时间较前者要晚一些。这是劳动生产率个体间异质性导致的不同劳动者最优退休时间各不相同的理论结论。
其次,当考虑劳动生产率的时间序列异质性时,边际劳动补偿与边际工作损失变动趋势会发生变化。当劳动生产率增加时,边际劳动补偿的递减趋势会相对减缓,而休闲时间的减少会导致边际工作损失提高,此时收入效应通常会小于替代效应,最终决定了较早的最优退休时间。当劳动生产率降低时,替代效应小于收入效应,从而导致较晚的最优退休时间。同时对于最优退休决策的约束条件而言,为保证既定养老财富,劳动生产率与劳动时间呈反向变动,从而导致最优退休时间也反向变动,而退休后休闲时间呈同向变动。理论上,劳动生产率的代际异质性对退休时间决策的影响与时间序列异质性的影响相同。
在绝对意义上可以假设,如果个体或一个社会的劳动生产率足够高,其创造的劳动产出足够丰富,老龄化带来的长寿风险就可迎刃而解,养老财富(基金)亦不会存在赤字问题;与此同时人们对闲暇的内在偏好也能够得到最大限度的实现。理论上,提高劳动生产率能够缩小保证养老财富平衡所需的退休年龄延迟幅度,这种延退年龄幅度的缩小恰恰体现和满足着劳动者对休闲最大化的内在需求;相反,当劳动生产率降低时,只能通过增加劳动时间保证基本的养老财富,此时必然导致休闲时间的相对减少。在这个意义上,最终决定退休时间的本质性因素是个体或社会的劳动生产率而不是养老财富。类似于阿马蒂亚·森的“可行能力”,正是“养老能力”决定着人们或社会的退休时间决策,劳动生产率则构成养老能力的核心。由于技术进步与人力资本等因素,在时间序列上或不同个体之间的劳动生产率存在显著的异质特征,从而使不同时期的养老能力、不同个体的养老能力各不相同。这意味着,若不考虑其他外部因素,不同时期、不同个体的最优退休时间将存在差异。人类社会的发展总是伴随着劳动生产率的不断提高,长期来看,劳动生产率在时间序列上(包括代际之间)的异质性必然逐步降低人们的工作—休闲年限比,从而使更早退休成为可能;而劳动生产率个体间异质性则为劳动生产率较高的劳动者获得更多休闲时间提供了选择空间,为这部分劳动者能够较早退休或者收缩延迟退休时间幅度确立了前提。
在人口老龄化不可逆背景下,简单化地将延迟退休时间作为解决养老金压力的政策主张是对劳动生产率同质假设的静态逻辑,延迟退休时间并非唯一选项,提高退休年龄与提高劳动生产率应是同等重要的政策路径。考虑到人类对休闲、对免于劳作的内生偏好,劳动生产率成为同时促进退休人口消费水平最大化与休闲收益最大化的关键变量,提高劳动生产率既有助于解决养老金平衡问题,也有助于降低退休年龄的提高幅度;其异质特征则会导致个体或社会的最优退休时间的异质性。
(二)退休时间决策的理论模型
鉴于本文的研究视角,假设如下前提:(1)在进行退休决策时,人们的偏好排序为“消费最大化”优于“休闲最大化”,这意味着退休决策者愿意调整退休时间以换取退休后消费最大化,即养老财富是退休时间决策的硬约束条件;(2)忽略健康因素的影响;(3)将退休时间等同于实现养老金权益的时间;(4)其他外部因素如劳动力市场状况、政府宏观目标等保持不变。
1.劳动生产率与工资
现实中劳动者的养老财富积累,一般与劳动收入即工资相关联,因此首先需要探讨劳动生产率与工资之间的关系。劳动生产率与工资的关联,本文借助最基本的Cobb-Douglas函数来获得。假设技术进步是Hicks中性的,则有,

完全竞争条件下的均衡工资可表示为:

实证文献中常用的劳动生产率的度量是平均劳动产出,即有,

由此,经济中均衡的工资水平与劳动生产率的关联可以表示如下:

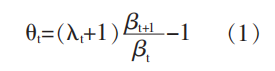
进而,工资增长率(θt)与劳动生产率增长率(λt)的函数关系可表示如下:

2.基于生命周期的退休时间决策
基于生命周期假说,一方面,理性个体会将全部收入分配于工作和退休两个阶段以效用最大化;另一方面,退休个体在实现消费最大化的同时追求休闲最大化即退休时长的最大化。假设工作阶段为I={l,l+1,l+2,…,R-1},退休阶段为J={R,R+1,R+2,…ω,},其中l为初始工作年龄,R为退休年龄,ω为个体预期寿命。同时假设个体退休时的可用其他财富为A,则个体在整个退休期的消费总额(C)等于全部的养老财富(Y),如下所示:
C=Y=P+A,其中
此时,个体退休时间R取决于由消费与休闲两种行为变量构成的效用函数,如(2)式所示。

(2)式中,L(ω-R)为休闲函数。
倘若人们同意通过调整退休年龄来实现养老账户的财务平衡,则意味着在预期寿命不断提高背景下退休个体依然首先维持原有的消费水平Cj不变,而休闲函数允许调整。由此,(2)式可表示为如下:

上式中,A为常量,L取决于ω与R。此时个体退休时间R取决于(3)式,

其中,P、τ、w、θ、r分别表示来自养老计划账户的养老金、养老计划的缴费率或为退休进行的储蓄率、工资水平、工资增长率、养老基金平均收益率。
代入(1)式,则(3)式转换如下:

(4)式即为考虑劳动生产率个体异质性的退休时间决策模型。
由(4)式可看出,个体的最优退休时间R受到其本人养老金财富(意味着退休后消费水平)、缴费率(或为退休进行的储蓄率)、工资水平、劳动生产率增长率、基金收益率、初始工作时间、预期寿命诸多因素的影响。当Pj、τi、r一定时,个体退休年龄R取决于预期寿命ω、初始工作时间l、工资水平w、劳动生产率增长率λ。进一步分析可得出如下结论:
(1)个体的预期寿命是其退休时间决策的重要影响因素。假定个体的初始工作年龄、工资水平、劳动生产率增长率一定,为维持既定养老金水平,个体预期寿命的提高必然推高其退休年龄。
(2)个体的劳动生产率是影响其退休时间的关键因素,个体的劳动生产率增长率与退休年龄呈反方面变动。保持其他因素不变,个体劳动生产率增长率的提升,将降低其退休年龄或收窄延退幅度。
(3)不同个体间由于人力资本差异,其劳动生产率及其增长率具有显著的异质性,这种异质性会导致不同个体之间的不同的退休时间决策。不同个体的退休时间R决定于各自不同的劳动生产率、预期退休消费水平和初始工作年龄。显然,不同劳动者因其劳动生产率的不同而具有不同的最优退休年龄。
3.基于世代交叠的退休时间决策
基于世代交叠模型,处于退休阶段的人口的消费支出来自子代收入的转移支付。假设t为当期,依据现收现付的一般平衡式:Nt-1Pt=NtTtWt,
可有,
进而,
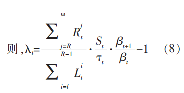
同前文分析,倘若人们同意通过调整退休年龄来实现养老账户的财务平衡,则意味着在预期寿命不断提高背景下退休者依然首先维持原有消费水平Cj不变,而休闲函数允许调整。此时退休时间R取决于劳动生产率、替代率、缴费率、老年抚养比等因素。如(6)式所示,



上式中,Nt-1、Nt、St、ODRt分别表示当期退休人口、当期工作人口、当期养老金替代率、当期老年抚养比,
分别表示退休年龄变动时的当期工作人口和当期退休人口。进一步分析可有如下结论:
(1)在其他因素不变前提下,劳动生产率因素与退休时间呈相反方向变动趋势。
(2)当劳动生产率不存在代际异质性,即劳动生产率保持不变(λt=0)时,如维持原有的替代率与缴费率,老龄化趋势必然推高退休年龄。
(3)当存在劳动生产率的代际异质性,特别的当λt>0时,退休计划可以允许老年抚养比ODRt一定程度上升,此时的
可维持原有水平。这意味着当劳动生产率代际异质性为正时,退休计划可以抵御老龄化风险而维持退休年龄不变。当劳动生产率增长率足够大时,退休年龄可以降低。
(4)根据(7)、(8)式,保持其他因素不变,当社会预期寿命、初始工作年龄、替代率、缴费率等因素已知时,可由劳动生产率增长率λt确定合理的社会层面的预期退休年龄。
4.基于生命周期的退休时间决策与基于世代交叠的退休时间决策的一致性
前文已论述,所有退休人口的养老在事实上均为实物养老,无论何种养老财务模式,本质上均是现收现付的养老资源运行机制。这意味着无论是基于生命周期理论还是基于世代交叠模型探讨内生退休时间决策,在本质上并无二致。对比两种退休时间决策模型亦可得出相同结论。
前文的(4)、(6)式分别为考虑劳动生产率个体异质性的基于生命周期退休时间决策模型和考虑劳动生产率代际异质性的基于世代交叠的退休时间决策模型。针对基于世代交叠模型的(6)式,可以进一步假设
为t期养老计划提供的平均养老金,
为t期养老计划要求的平均的养老保险缴费,由此,
为t期全部退休人口需要的养老金总额,
为t期在职员工缴纳的养老保险缴款总额。由此(6)式可转换为如下,



上式中,t期的养老保险缴费
等于(4)式中的τiwi-1。
比较(4)、(9)两式,其模型形式一致,不同之处在于(4)式存在一个资本收益因子:
;而(9)式中则包含一个“人口收益”因子:
。显然,(4)、(9)两式的一致性可以通过“艾伦条件”得以解释。
(4)式正是对单个个体退休时间决策的微观模型解释,而(6)或(9)式则是对全社会或整个养老计划的退休时间规定的宏观或总量模型解释。基于个体—社会行为的同构性特征,(4)式与(9)式在逻辑上和表达意义上同样具有一致性,这说明二者在本质是同一的。这意味着,分别考虑劳动生产率个体异质性与劳动生产率代际异质性的两个退休时间决策模型对退休时间决策行为的描述和解释在本质是一致的。
正如前文分析,劳动生产率异质性直接影响着个体退休时间决策的异质特征,并进而影响制度性退休时间设计。为进一步分析劳动生产率异质性对退休时间决策的影响,本研究将对不同水平劳动生产率下的最优退休时间进行模拟和测算,以动态地反映劳动生产率异质性与退休时间决策之间的关系,从而为优化退休时间政策提供依据。
前文已分析,考虑劳动生产率个体异质性与考虑劳动生产率代际异质性进行退休时间决策在本质上是同一的,即(4)式与(6)式对退休时间决策的解释具有一致性。鉴于数据可获得性,本文以(4)式刻画的理论模型进行模拟分析。
根据前文理论分析,结合模拟分析的需要,依据(4)式可有如下:

其中,
为个体目标养老财富贴现至退休年份的现值,s为养老金替代率,d为贴现率,w为基期年度工资水平,同时设定βi=βi-1,τi=τ。
(一)基准情境下最优退休时间决策的分析
预期寿命(ω)。本研究中预期寿命参数使用平均预期寿命。《我国卫生健康事业发展统计公报》显示,2019年、2020年、2021年我国平均预期寿命分别为77.3岁、77.9岁、78.2岁。本文设定模型中的平均预期寿命为78岁。
初始工作时间(l)。鉴于中国法律对初始工作年龄的限制以及中国劳动者受教育年限的延长,结合近年来相关统计数据资料,模型假定初始工作时间为20岁。
缴费率(τ)。我国基本养老保险制度实行的是统帐结合的筹资模式,统筹账户缴费费率一般不超过20%,个人账户缴费费率为8%;从2019年5月1日起统筹账户缴费费率不高于16%,个人账户缴费费率为8%。本研究将基准情境的个人缴费率设定为28%,在进行异质性模拟分析时将其设定为24%(即16%+8%)。
养老基金投资收益率(r)。通过养老基金的投资运营获得收益是实现养老金保值增值的根本途径。多年来,国家社保基金理事会管理的全国社保基金的收益保持在8%左右,而地方政府管理的基本养老保险基金的年均收益率比较低。随着地方分散管理的基本养老保险基金由国家社保基金理事会受托经营,基本养老保险基金收益率已经开始好转。全国社保基金理事会受托经营的基本养老保险基金在2017年、2018年、2019年、2020年的收益率分别为5.23%、2.59%、9.03%、10.95%;社保基金自成立以来的年均投资收益率为7.66%。结合相关数据,本研究将投资收益率设定为5%、6%两个档次,在基准情境下设定为5%。
养老金(P)。养老金水平取决于上年度社会平均工资与替代率两个变量,并贴现为退休年度的现值。根据我国经济发展趋势与相关预测,我国在职职工平均工资水平呈现由高到低的发展趋势,学者们大致认可中国城镇在职职工平均工资增长率在2011—2020年为8%、2021—2030年为7%、2031—2040年为6%、2041年后为5%的假设。为计算方便,假定基准情境的工资增长率为6.5%。关于替代率(s),研究表明,养老金替代率大于70%即可维持现有生活水平,如果达到60-70%即可保证基本生活水平。按照国家总体设计,我国基本养老保险的替代率为58.5%。本文在模拟研究中将基本养老保险的替代率设定为60%。贴现率(d)反映了个体对货币的时间偏好,本研究将贴现率设定为3%,在进行模拟分析时再考虑贴现率为4%的情况。
劳动生产率增长率(λ)。数据显示,1953-2018年间中国劳动生产率增长率平均为7.41%;1996—2015年为8.6%;2009—2018年为7.67%。而CEIC的数据显示,2021年中国劳动生产率的增长率为8.697%。研究表明,鉴于经济结构优化、教育年限提高、科技创新等因素,我国的劳动生产率将在未来较长时间内保持较快增长,提升的空间仍然较大。因此可将劳动生产率增长率设定较高、高、中、低四档,分别为9%、8%、7%、6%,在基准情境下设定为7%。
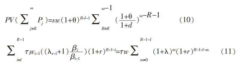
根据上述各基准参数值及(4)、(10)、(11)式,计算可得表1如下。
如表1所示,基准情境下个体的最优退休时间约为63.16岁。基于退休内生范式与个体—社会行为同构特征,退休时间R≈63.16岁即为个体最优退休时间或社会期望退休时间,此时的退休后休闲时间约为13.84年,工作—休闲年限比为3.12∶1。相对于我国现行的强制性退休年龄60岁,在基准情境下(即个体的劳动生产率增长率为7%,预期寿命为78岁),要保证养老金账户财务平衡,有必要将退休年龄延迟3.16岁,即退休年龄延迟至约64岁。
(二)异质性劳动生产率下的最优退休时间决策:基于不同情境的模拟分析
异质性劳动生产率意味着个体间劳动生产率存在差异从而导致不同的个体最优退休时间,或者在时间序列上社会劳动生产率存在差异而形成不同的社会预期退休时间。基于退休时间决策模型(4)式,可对异质性劳动生产率下最优退休时间进行不同情境的模拟分析。
除基准情境外,本文通过调整劳动生产率增长率参数(最后一种情境既调整了劳动生产率增长率,也同时调整了其他相关参数)进行另外四种情境的模拟性分析。这四种情境分别是:情境2,基准情境其他参数不变,劳动生产率增长率调整为8%;情境3,基准情境其他参数不变,劳动生产率增长率调整为9%;情境4,基准情境其他参数不变,劳动生产率增长率调整为6%;情境5,调整劳动生产率增长率为8%、工资增长率为6%、贴现率为4%、养老基金投资收益率为6%、养老保险缴费率为24%(即单位缴费率为16%,个人缴费率为8%),其他参数与基准情境保持一致。计算后的模拟结果如表2所示。
如表2所示,当其他参数不变,劳动生产率增长率分别为低值6%、高值8%、较高值9%时,对应的最优退休时间(R)分别约为65岁、61.25岁、59.37岁;退休后休闲时间分别约为12年、15.75年、17.63年。相对于基准最优退休时间63.16岁分别增加1.84岁、下降1.91岁、下降3.79岁;相应地,退休后休闲时间分别减少1.84年、增加1.91年、增加3.79年。此时的工作—休闲年限比分别为:3.75∶1、2.62∶1、2.23∶1。
当对模型的参数进行综合调整,假设τ=0.24、θ=6%、d=4%、r=6%,劳动生产率增长率为8%,此时的最优退休时间将约为58.25岁,退休后休闲时间约为18.75年,与基准情境最优退休时间相比下降了约4.91岁,甚至比目前我国男性职工退休时间低1.75岁。这时的工作—休闲年限比为:2.04∶1。
特别地,情境3的最优退休时间约为59.37岁,大致等于目前我国现行退休年龄。这表明,在人口老龄化背景下(预期寿命为78岁),要确保现行退休制度的有效性与可持续性,必须保持9%的劳动生产率增长率。
(三)分析与探讨
综合基准情境与不同情境最优退休时间的模拟,可以看出,在其他参数不变条件下,劳动生产率异质性将导致明显差异的最优退休时间;劳动生产率的变动与最优退休年龄具有显著的反向变动关系。特别地,劳动生产率的提升将显著地降低最优退休时间,同时显著地增加退休后休闲时间。表1、表2数据显示,在基准的劳动生产率增长率7%的基础上,每增加1%,最优退休时间大致可降低1.9岁,与此同时退休后休闲时间相应增加约1.9年;而劳动生产率增长率由7%降低至6%时,最优退休时间大致后延1.9年,退休后休闲时间相应减少约1.9年。
为进一步分析,本文引入工作—休闲年限比指标,这一指标能够体现内生退休决策范式中工作—休闲亦即劳动者退休后消费效用与休闲收益的权衡程度,也可以清晰地反映出异质性劳动生产率对最优退休时间决策的实质性影响。如表2所示,其他参数不变,劳动生产率增长率分别为6%、7%、8%、9%时,劳动者一生的工作—休闲年限比分别为3.75∶1、3.12∶1、2.62∶1、2.23∶1。显然,劳动生产率的异质特征最终表现为劳动者一生的工作—休闲年限比的异质性上,劳动生产率的变动会引起工作—休闲年限比的显著的反向变动。而在综合调整情境下,劳动者工作—休闲年限比下降至2.04∶1。劳动生产率与工作—休闲年限比的反向关系表明在维持退休后消费水平不变前提下,劳动生产率的高低意味着个体或社会的养老能力的高低。
正如表1、表2所示,在内生退休范式下,不同情境的异质性劳动生产率导致了不同的最优退休时间。在时间序列上,不同时期的社会劳动生产率显然各不相同,特别是劳动生产率的代际间异质特征,从而导致不同的社会预期退休时间。对个体而言,不同的劳动者各具异质性的劳动生产率,从而形成各自不同的最优退休时间;在目标替代率相同时,劳动生产率与最优退休年龄呈反向变动关系,劳动生产率越高的劳动者其最优退休年龄越低。当然现实中的情况常常是,劳动生产率较高的劳动者的目标养老金替代率也是相对较高的,从而使劳动生产率与最优退休时间之间关系并非简单的线性反向变动。由于个体与社会行为的同构特征,劳动者的内生退休决策行为,特别是劳动生产率的个体异质性导致的最优退休时间的异质性,必然会映射到整个社会与国家层面,从而影响强制性退休时间计划的有效性,因此关于退休时间的顶层决策需要将异质性劳动生产率因素纳入到延迟退休的政策设计中,并充分理解和考虑劳动者个体的内生退休决策行为。
从纯粹个体角度进一步分析,劳动生产率的个体异质性导致的不同最优退休时间,正是劳动者个体及其家庭追求其生命周期内总收益最大化的理性表现。倘若没有强制性的退休时间制度,在理论上劳动者总会依据其劳动生产率水平(即养老能力)作出一个最优的退休时间的决策。这意味着,国家与社会有必要对异质性劳动生产率导致的异质性的个体最优退休时间作出相应的回应,从而适时优化现行退休时间政策。基于对个体理性与社会选择的均衡考量,对我国而言,一个以养老金领取的年龄区间为基础的激励相容的弹性退休时间计划有利于兼顾劳动者个体与社会双方福利的最大化选择。
退休时间决策对于每一个劳动者都是事关自身与家庭福利的重大行为,而国家层面的退休时间政策则深刻地影响着劳动者的福利。本文旨在考察劳动生产率及其异质性如何影响劳动者个体退休时间决策及社会的退休时间计划,为此本文构建了劳动生产率因素影响退休时间决策的理论模型,并对不同情境下的最优退休时间进行了模拟分析。根据研究得出以下结论。
1.劳动生产率与劳动时间(亦即退休时间)是维持养老计划有效性的同等重要的两个变量,简单地强调提高退休年龄以纾解养老金压力的政策主张是对劳动生产率同质假设的静态逻辑。考虑到劳动者对休闲收益的内生偏好,劳动生产率能够同时促进退休人口消费水平最大化与休闲收益最大化,劳动生产率对退休时间决策具有双重效应,提高劳动生产率有助于降低退休年龄或者至少能够缩小退休时间的延迟幅度。最终决定退休时间的本质性因素是个体或社会的劳动生产率而不是养老财富,养老财富或养老基金只是影响退休时间决策与退休时间政策的一个外部因素。
2.基于内生退休范式,因人力资本或技术进步等因素带来的不同个体之间、时间序列的劳动生产率异质性(主要表现为代际间劳动生产率的可变性)会产生各自迥异的最优退休时间,这意味着不同个体或不同时期退休人口的消费水平与休闲收益的异质性均衡。个体间劳动生产率异质性为劳动生产率较高的劳动者获得更多休闲时间提供了选择空间,为这部分劳动者能够较早退休或收窄延退幅度确立了前提;而长期来看,劳动生产率在时间序列上的异质性必然逐步降低人们的工作—休闲年限比,使更早退休或收窄延退幅度成为可能。
3.在其他因素不变前提下,劳动生产率的变动与最优退休时间之间存在明显的反向变动关系。这意味着当劳动生产率增长率为正时,退休计划可以不通过提高退休年龄而抵御老龄化风险;当劳动生产率增长率足够大时,降低退休年龄成为可能。在基准情境下,即劳动生产率增长率为7%时,个体或社会期待的最优退休时间约为63.16岁,工作—休闲年限比为3.12∶1,为保证养老金账户财务平衡,有必要将退休年龄延迟3.16岁。当劳动生产率保持9%的增长水平时,个体或社会期待的最优退休时间约为59.37岁,大致等于目前我国现行退休年龄。这意味着要维持现行退休年龄规定,个体或社会的劳动生产率必须保持9%的增长水平。
基于上述研究结论,本文提出以下政策启示。
1.重视劳动生产率异质性对退休时间决策的本质性作用,摒弃政策研究与设计中对劳动生产率的同质假设与静态逻辑。习惯于通过延长工作时间解决养老金缺口的思路并不符合人们对休闲的偏好与追求,劳动生产率同样应该成为纾解养老金压力的重要路径,特别是劳动生产率的异质性特征,更符合现实生活中人们进行退休决策的事实与客观真实。在退休时间与劳动生产率两种因素中,更应重视并优先通过劳动生产率路径化解老龄化对退休的负面效应,将异质性劳动生产率因素纳入退休时间的顶层决策与政策设计当中,以提高退休计划的有效性和可持续性。
2.尽快落实激励相容的弹性退休计划,基于法定养老金时间(Legal Pensionable Age)确定具有激励相容机制的退休年龄区间,使退休决策更能体现个体特征与个体贡献,特别是个体之间劳动生产率的异质性特征,并激励、引导劳动者进行符合宏观目标与社会利益的退休时间决策。劳动生产率异质性意味着不同劳动者所具有的养老能力是有差异的,从而最优退休时间与工作—休闲年限比也各不相同,“一刀切”的强制性退休年龄规定(包括延退政策)显然不能满足个体间异质性的退休需求。制订并尽快推行既反映宏观因素又体现个体特征、具备多主体激励相容效应的弹性退休计划有助于满足新时代人们对美好生活的期待,推动我国经济与社会向着更有效率和更加公平的方向发展。
3.不断提高个体与社会的劳动生产率,从消费效应与休闲收益两个方面同时改进退休人口的社会福利函数。劳动生产率因素对于退休决策具有双重效应,不断改进的劳动生产率能够在确保养老金财务平衡的同时降低退休年龄的提高幅度。人口老龄化已使养老金账户面临着巨大财务压力,而人们的休闲偏好不断提出更高层次的新需求。在此背景下,努力提高个体与社会的劳动生产率水平就成为解决这一矛盾的关键。可以预期,在未来较长时间内我国劳动生产率仍有较大的提升空间,仍将会保持较高的增长速度,这将有助于我国劳动者实现更合理的工作—休闲年限比,改进劳动者的最优退休时间决策以及国家层面的退休年龄政策。