摘要:区域市场一体化有利于统筹发挥有效市场和有为政府的积极互动作用,为协同推动区域绿色高质量发展提供有力支撑。文章基于全局生产前沿和非径向方向性距离函数构建DEA模型,测算了长三角全域41个地级以上城市全要素绿色发展效率,结果显示,长三角城市全要素绿色发展效率整体上呈上升趋势,其中,长三角中心区城市全要素绿色发展效率保持较快的持续上升趋势,外围区城市全要素绿色发展效率经历了一个先下降、再平缓上升、后较快上升的变化趋势。运用面板Tobit模型实证研究长三角商品市场一体化、资本市场一体化和劳动力市场一体化对城市全要素绿色发展效率的影响,研究结果表明,长三角市场一体化整体上有利于促进城市全要素绿色发展效率提升,尤其是资本市场一体化显著促进了城市全要素绿色发展效率提升,但商品市场一体化和劳动力市场一体化对城市全要素绿色发展效率的整体促进作用尚不显著,市场一体化对全要素绿色发展效率的影响效应在长三角中心区城市表现更为显著。今后要进一步发挥市场机制的主导作用,实现有效市场与有为政府有机结合,提升长三角市场一体化对城市绿色发展效率的促进作用,尤其是要加强商品市场一体化和劳动力市场一体化对城市全要素绿色发展效率的积极作用,提升市场一体化对长三角外围区城市全要素绿色发展效率的协同促进作用。
关键词:区域市场一体化;绿色发展效率;统一大市场;长三角;Tobit模型
中图分类号:F293;F061.5 文献标识码:A
文章编号:1005-3492(2024)03-0028-18
党的二十大报告明确提出,要深入推进环境污染防治工作,站在人与自然和谐共生的高度谋划发展,坚定不移走生产发展、生活富裕、生态良好的文明发展道路,实现中华民族永续发展。环境污染具有明显的外部性和空间溢出性特征,环境治理必须突破地方行政边界壁垒,在更大的地理空间尺度上实施联防共治才能取得实效。但是,我国幅员辽阔,地区经济发展差异大,地方政府在市场化取向改革中形成较为严重的公司化倾向和“行政区经济”,加剧了国内市场分割和碎片化环境治理。因此,必须突破行政区划壁垒和市场分割等限制,加快国内统一大市场建设,充分发挥国家级城市群的引领示范作用,实施区域一体化环境治理,才能促进区域经济与环境协调发展。
建设全国统一大市场是构建新发展格局的基础支撑和内在要求,我国拥有一个范围广、层次多且差异大的超大规模市场,区域市场一体化是全国统一大市场建设的重要推进器。近年来,我国先后实施了京津冀协同发展、长江经济带发展、长三角区域一体化发展、粤港澳大湾区建设、黄河流域生态保护和高质量发展等区域重大发展战略,对推动区域经济高质量发展发挥了重要的战略引领作用。2022年3月发布的《中共中央 国务院关于加快建设全国统一大市场的意见》指出,打破地方保护和市场分割,促进商品要素资源在更大范围内畅通流动,加快建设高效规范、公平竞争、充分开放的全国统一大市场,鼓励京津冀、长三角、粤港澳大湾区以及成渝地区双城经济圈、长江中游城市群等区域,在维护全国统一大市场前提下,优先开展区域市场一体化建设工作,建立健全区域合作机制,积极总结并复制推广典型经验和做法。
作为我国区域一体化发展战略的重要试验区,长三角区域一体化合作起步早、辐射广、影响大,区域协调发展取得了一系列重要突破,成为我国经济发展最活跃、开放程度最高、创新能力最强的区域之一,在国家现代化建设大局和全方位开放格局中具有举足轻重的战略地位。2018年11月,习近平总书记在首届中国国际进口博览会上宣布,支持长三角区域一体化发展并上升为国家战略。2019年5月,《长江三角洲区域一体化发展规划纲要》正式发布,将长三角一体化范围扩大至上海市、江苏省、浙江省和安徽省全域41个地级以上城市。2019年10月,国务院批复设立长三角生态绿色一体化发展示范区,2019年12月,中共中央、国务院印发实施《长江三角洲区域生态环境共同保护规划》。此后,《长江三角洲区域一体化发展规划纲要》和《长三角生态绿色一体化发展示范区总体方案》陆续发布和推进实施,对区域生态绿色一体化高质量发展擘画新蓝图,同时也为在更大区域范围内实施长三角一体化环境治理创造了良好的历史机遇。
通过区域市场一体化提升城市环境治理水平,并在区域生态环境协同治理中推进城市高质量发展,是长三角更高质量一体化发展中亟待破解的深层次问题。近些年来,长三角各市地方政府坚持有为政府与有效市场双向驱动,不断推进区域统一大市场建设和生态环境协同治理,在此背景下,本文在区域市场一体化影响城市绿色发展效率的理论分析基础上,全面评估长三角市场一体化进展与城市绿色发展效率,实证研究长三角市场一体化对城市绿色发展效率的影响效应及其地区差异,试图为推进长三角一体化高质量发展提供实证依据和对策建议。
与本文研究主题相关的文献主要有两支,一支文献侧重于绿色发展效率测算方法的研究,另一支文献侧重于探讨区域市场一体化对绿色发展效率的影响。
(一)绿色发展效率测算方法的演进
当前,我国经济已由高速增长阶段转入高质量发展阶段,推动经济社会发展绿色化、低碳化是实现高质量发展的关键环节,也是中国式现代化的本质要求,因此,必须将资源环境因素纳入到经济发展效率分析框架,学术文献将这种兼顾要素投入节约、环境污染治理及经济增长等因素的效率称之为绿色发展效率。绿色发展效率有参数法与非参数法两种测算方法,前者以随机前沿方法(SFA)为代表,后者以数据包络分析方法(DEA)为代表。相对于DEA而言,使用SFA方法测算绿色发展效率,需要对潜在生产技术预设函数形式,还需要利用相关投入产出的价格信息,因此,基于DEA的非参数方法在绿色发展效率研究中得到了广泛应用。
运用DEA方法评估绿色发展效率,需要使用方向性距离函数(Directional Distance Function,DDF)这一建模工具。早期使用较多的是谢泼德(Shephard)距离函数,将期望产出和非期望产出同比例同方向扩张至生产前沿,不能正确区分和处理非期望产出的负外部性问题,不符合节能减排的绿色发展理念,在发展理念上存在明显的不足。Chambers等为此提出方向性距离函数(DDF)这一技术工具,要求期望产出扩张的同时实现要素投入减少和非期望产出减少,这一处理方法能更科学合理地拟合节能减排的新发展理念。Chung等首次将方向性距离函数(DDF)运用到环境效率和环境全要素生产率评价研究中,此后,Färe等将DDF与Malmquist指数相结合,进一步对绿色全要素生产率指数进行分解,有力推进了DDF与Malmquist指数在绿色发展效率测算研究中的广泛应用。但是,这种基于径向和角度的测算方法没有考虑潜在松弛变量的影响,当存在非零松弛变量时可能高估环境效率值。
为了解决环境效率和环境生产率测算中的径向和角度问题,Tone构造了基于非角度、非径向的考虑松弛变量的SBM效率测度模型,Färe & Grosskopf在此基础上提出更加一般化的非径向、非角度方向性距离函数,Zhou等开创性地提出考虑松弛变量的非径向方向性距离函数(NDDF),赋予期望产出和非期望产出不同变化比例,进一步分解投入要素和两类不同产出的无效率值,从而将污染排放效率从综合性环境技术效率中分离出来。此后,不少文献在此基础上做了大量应用拓展性研究,比如,Wang等运用NDDF模型测算基于不同场景的能源效率和生产率,李江龙和徐斌利用地级市面板数据和非径向方向距离函数测算绿色经济效率,张宁综合应用Bootstrap方法和共同前沿两期非径向方向距离函数评估中国火电厂碳全要素生产率的动态变化。
(二)区域市场一体化对绿色发展效率的影响
在依托国内超大规模市场优势和重塑双循环经济发展新格局背景下,区域市场一体化建设有利于发挥有效市场和有为政府的积极作用,为协同推动城市绿色发展提供有力支撑。首先,区域市场一体化有利于促进区域市场整合、产业分工和经济集聚,提升市场在资源配置中发挥决定性作用,让生产要素在超大规模市场中充分流动,实现资源优化配置、规模收益递增和生产率提升优势,有利于实现节能减排协同增效。当然,由于各地经济发展水平、资源生态禀赋、产业结构等方面存在差异,区域市场一体化对不同地区带来的绿色发展效益是非均衡的,也有文献研究结果显示,区域市场一体化可能带来污染密集型产业的空间转移,加重经济发展水平低和环境规制弱的城市环境污染。因此,在区域市场一体化进程中,需要协调处理好区域生产力布局及地区生态环境韧性问题。其次,区域市场一体化有利于激励产业链和供应链上的企业抱团学习和模仿,共享专业知识和共有技术,促进专业知识扩散和技术创新外溢,有效提升企业创新能力和创新效率,降低企业创新成本和风险,通过“创造性破坏”和合作创新实现绿色技术进步,减少能源消耗与污染排放,提升能源效率和生态效率。其次,区域市场一体化有利于推进地方政府之间形成环境规制策略良性互动,促进地方环境规制竞争由“竞底效应”转向“标尺效应”,有力推动地方政府竞争从增长锦标赛转向环境治理竞赛的转变,提升区域环境协同治理效率。
在实证研究中,区域市场一体化对绿色发展效率的影响效应受到学者的广泛关注。孙博文等基于长江经济带城市研究发现,商品市场分割与绿色增长效率之间存在倒U型关系,劳动力市场分割与资本市场分割与绿色增长效率存在U型变化关系。刘军和陈亚欣11基于空间计量模型研究发现,市场一体化通过规模效应、产业升级以及协同创新等路径促进了长三角城市绿色全要素生产率增长。徐斌等12基于实证研究结果,认为区域一体化有利于提高碳排放效率,且该作用受到产业结构升级的正向调节和财政支出规模的负向调节。吕有金等运用省际面板数据研究发现,市场一体化对绿色全要素生产率产生U型非线性影响。张可研究认为长三角一体化与环境污染之间存在倒U型关系,即一体化水平较低会加剧环境污染,一体化水平超过临界值后,显著降低环境污染。张泽义等研究认为,长江经济带市场一体化有利于减少城市的空气污染物排放。
在推进长三角一体化高质量发展的背景下,长三角市场一体化能否推进城市绿色发展效率提升,是一个引发关注并需要实证检验的现实问题。本文在借鉴上述相关文献研究成果的基础上,运用DEA模型测算长三角城市全要素绿色发展效率,利用Tobit模型实证研究长三角市场一体化对城市绿色发展效率的影响效应及其地区差异,试图为推进长三角一体化高质量发展提供依据和参考。本文的边际贡献主要体现在三个方面:一是为了避免DEA模型构建中因径向与角度选择问题影响效率测算结果的准确性,以及为了避免线性规划模型求解出现非可行解的情形,利用非径向方向性距离函数(NDDF)和全局生产前沿建模方法,构造了包含要素投入利用效率和污染排放效率的全要素绿色发展效率测算模型;二是从长三角区域市场一体化的视角,采用面板Tobit模型实证研究商品市场一体化、资本市场一体化和劳动力市场一体化对长三角城市绿色发展效率的影响,丰富了区域市场一体化与高质量发展之间关系的研究文献;三是实证研究区域市场一体化对长三角中心区和长三角外围区城市绿色发展效率的异质性影响,为推进长三角一体化高质量发展提供实证支持和对策建议。
(一)绿色发展效率测算方法与模型
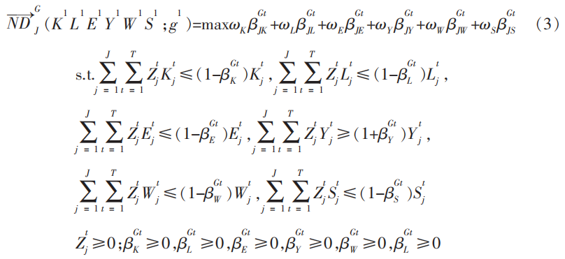
本文借鉴Färe等提出的建模思路,将长三角每个地级及以上城市视作一个生产决策单元,假设每个生产决策单元j=(1,…,J)在每个生产时期t=(1,…,T),使用种生产要素投入
,生产出种期望产出
和种非期望产出
,则其环境生产技术集可以表达为:

其中,表示每个生产决策单元横截面观察值的非负权重,非负权重之和等于1,表示生产技术是规模报酬可变的(VRS),约束条件中等号表示非期望产出具有弱可处置性,即非期望产出减少是有代价的;环境生产技术满足有界闭集、期望产出和投入的强可处置性、非期望产出的弱可处置性以及期望产出与非期望产出的零结合性公理。借鉴Oh提出的全局生产前沿构造方法和Zhou等提出的建模思想,构建全局非径向方向性距离函数(GNDDF)如下:

其中,
为投入产出变量的标准化权重向量,可根据研究情形设定,假设要素投入、期望产出和非期望产出同等重要,故将三者的权重均设为1/3,要素投入包含资本(K)、劳动(L)和能源(E),期望产出为地区生产总值(Y),非期望产出包含废水排放(W)和二氧化硫排放(S),因此,
为松弛变量,表示各要素投入可以增加或减少的比例,g=(-gx,gy,-gb)为方向向量。构建以下线性规划模型,求解全局非径向方向性距离的值:

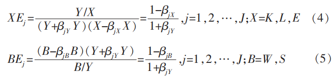
梳理相关文献发现,Zhou等首次将能源效率定义为实际能源效率与潜在能源效率之比,将碳排放效率定义为潜在碳排放强度与实际碳排放强度之比;Zhang等利用NDDF模型测算要素投入效率和碳排放效率后,在此基础上测算出全要素生产率。借鉴上述思路,利用公式(3)求解松弛变量最优解βi=(βjK,βjL,βiE,βiY,βiW,βiS,),构造要素投入产出效率和污染排放效率如下:

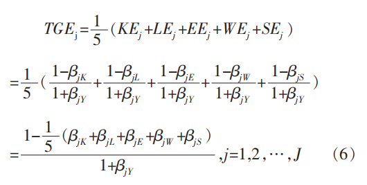
利用要素投入效率和污染排放效率构造全要素绿色发展效率(TGE)如公式(6)所示,由于要素投入效率和污染排放效率值介于0与1之间,所以,全要素绿色发展效率(TGE)的值也介于0与1之间,TGE越大,表示城市绿色发展效率越高,当TGE等于1时,表明被评价决策单元位于生产前沿,绿色发展实践达到最佳水平。

(二)样本、变量与数据
以长三角全域41个地级以上城市为样本对象,运用2003—2019年长三角城市投入产出面板数据,构建全局生产前沿非径向方向性距离函数,对长三角城市绿色发展效率进行测算。《长江三角洲区域一体化发展规划纲要》将长三角地区上海、南京等27个城市划为长三角中心区,为了进一步研究长三角地区绿色发展效率的空间结构特征,将长三角中心区以外的城市均划归外围区,长三角中心区和外围区各自包含的城市如表1所示。

按照上述绿色发展效率的测度模型,需要利用2003—2019年长三角城市的投入产出数据,投入包括资本(K)、劳动(L)和能源(E),资本(K)用各城市固定资本存量表示,以2003年为基期,使用永续盘存法计算,公式如下:

式中,Kt表示当期固定资本存量,It表示当期名义固定资本形成总额,Pt为固定资产投资价格指数,由于地级城市固定资产投资价格指数统计数据缺失,采用对应省份固定资产投资价格指数代替,δt表示折旧率,借鉴张军等使用的处理方法,取其值为9.6%,Kt-1表示上一期固定资本存量,初始资本存量采用名义固定资本形成总额除以10%。劳动投入(L)用各城市年平均就业人数表示,由于多数城市统计年鉴缺少能源消费平衡表,无法直接获取城市能源消费总量,能源投入能源(E)用社会用电量来表示,期望产出是指地区生产总值(Y),以2003年为基期的实际GRP表示,非期望产出包括工业废水排放(W)和工业二氧化硫排放(S)。
上述变量对应的数据主要从国泰安数据库和EPS数据库中提取并进行整理,极少数缺失数据依据《中国城市统计年鉴》《中国环境年鉴》和长三角城市统计年鉴及其官方统计信息网站所发布的相关数据进行查漏补缺。
(三)绿色发展效率测算结果分析
利用上述模型与方法测算出2003—2019年长三角41个地级以上城市的全要素绿色发展效率,长三角地区全要素绿色发展效率变化趋势如图1所示。从图中可以发现,长三角中心区城市全要素绿色发展效率呈现不断上升趋势,尤其是自2015年以来,长三角中心区城市全要素绿色发展效率提升较快。长三角外围区城市全要素绿色发展效率经历了一个浴盆形状的变化轨迹,即先下降后处于平稳水平再快速上升的变化轨迹。受外围区城市全要素绿色发展效率走势的影响,长三角城市全要素绿色发展效率整体上呈现出先缓慢上升后较快上升的变化趋势。

长三角三省一市全要素绿色发展效率的演化趋势如图2所示。安徽省内城市绿色发展效率早期处于较高水平,后呈现下降趋势,自2015年以来止跌回升,出现了较快的上升趋势。江苏省和浙江省内城市绿色发展效率均呈现出不断上升的趋势,浙江省内城市绿色发展效率平均水平略高于江苏省内城市绿色发展效率平均水平,但自2017年以来,江苏省内城市绿色发展效率出现了较快的提升,赶上并超越浙江省内城市绿色发展效率水平。上海市绿色发展效率在初期与江苏和浙江城市绿色发展效率差异不大,但随着上海市绿色发展效率加快提升,上海市绿色发展效率与长三角其他地区城市绿色发展效率之间的差距拉开得越来越大,显示了上海作为长三角区域龙头城市在高质量发展上具有的优势和潜力。

图2 长三角三省一市全要素绿色发展效率
为了从整体上观测长三角城市绿色发展效率的动态演进状态,下面采用核密度估计方法,描绘长三角城市绿色发展效率的空间分布动态,如图3所示,随着时间推移,核密度曲线的波峰不断向右移动,表明长三角城市绿色发展效率的平均水平呈现上升趋势,同时,波峰的高度不断下降,波峰的宽度逐渐变宽,表明长三角城市绿色发展效率的地区差异逐渐减小,在空间上呈现不断收敛的动态趋势特征。

图3 长三角城市绿色发展效率地区分布动态演进
根据前述公式(6),全要素绿色发展效率(TGE)由要素投入效率和污染排放效率构成,表2报告了2019年长三角城市绿色发展效率及其构成,该年度长三角城市绿色发展效率的平均值为0.672,资本、劳动和能源三种要素投入效率对绿色发展效率的贡献率分别为23.3%、21.1%和22.3%,污染排放效率对绿色发展效率的贡献率(RPE)为33.3%,整体而言,三种要素投入效率对绿色发展效率的加总贡献更大些,污染排放效率对绿色发展效率的贡献有待提高。从具体的城市表现来看,上海、南京、无锡、徐州、苏州、镇江、温州、舟山和黄山等城市均处于共同生产前沿面上,成为当年长三角地区绿色发展效率最佳实践单元。
表2 2019年长三角城市绿色发展效率及其构成

注:表中TGE=(KE+LE+EE+WE+SE)/5,RPE是指WE与SE对GRE的贡献率之和。
(一)模型、变量与数据
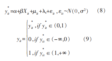
由于本文测算的全要素绿色发展效率(TGE)介于0到1之间,因变量数据具有明显的双尾截断特征,对于此类受限因变量使用OLS方法对整个样本进行线性回归,其非线性扰动项将被纳入扰动项中,导致估计不一致,故采用Tobit模型进行回归。构建长三角全要素绿色发展效率影响因素的Tobit模型如下:

其中,yit是实际测算的第个城市第年的全要素绿色发展效率,
是对应的潜变量,满足计量模型的经典假设,Xit为系列影响因素构成的变量向量集,μit和λt分别表示城市个体差异性和时间差异性。
借鉴相关文献并考虑数据可得性,选取如下影响因素:(1)市场一体化指数(mi),运用相对价格法,利用七类商品消费价格指数测算商品市场一体化指数(cmi);采用长三角城市职工平均工资来测算劳动力市场一体化指数(lmi);由于地级城市层面缺少直接可用的资本价格指标数据,采取基于C-D生产函数估计资本要素弹性并计算资本边际产出的方法,测算资本市场一体化指数(kmi),取上述三个指数的算术平均数再乘以100作为长三角市场一体化综合指数(mi)。(2)经济发展水平(pgrp),用实际人均地区生产总值(万元/人)表示,并加入其平方项(pgrps)以考察环境库茨涅茨曲线的存在性。(3)城市规模(scl),用城市年末人口数(万人)表示,取其自然对数值,并加入平方项(scls),以考察城市绿色发展效率与城市规模之间可能存在的非线性关系。(4)产业结构(is),用第三产业增加值与地区生产总值的百分比(%)来表示。(5)环境规制强度(er),运用文献中所用的文本分析方法,以地方政府年度工作报告中环境保护相关词汇占全部词频比重表示。(6)资本深化(cpd),通常能反映技术进步水平,用固定资本存量与劳动人数之比来表示,固定资本存量采用永续盘存法进行估算。(7)外贸易依存度(trade),用进出口贸易额与地方生产总值之比表示。针对长三角中心区城市和长三角外围区城市进行分组统计分析,上述变量的描述性统计分析结果如表3所示。

为了便于直观地观测全要素绿色发展效率(TGE)和市场一体化水平(mi)之间的相关关系,就长三角全样本和分样本城市分别制作散点图。图4是长三角城市全要素绿色发展效率(TGE)和市场一体化水平(mi)之间的散点图,基于长三角全样本城市和长三角中心区子样本城市的拟合线均显示出两者之间存在正相关关系,这意味着长三角市场一体化有可能促进城市全要素绿色发展效率的提升,从而有助于推进长三角高质量发展。但长三角外围区城市全要素绿色发展效率(TGE)和市场一体化水平(mi)之间可能不存在显著的正相关关系。下面将运用具体的实证研究对上述相关推论做进一步的验证。

(二)基准回归结果分析
基于长三角全样本城市的Tobit模型逐步回归结果如表4所示。逐步添加控制变量后,核心解释变量市场一体化指数(mi)的参数依然显著,表明市场一体化整体上显著促进城市全要素绿色发展效率提升。这一研究结论与孙博文等的研究结果基本相似,虽然该研究结果显示商品市场分割与绿色增长效率之间呈“倒U型”关系,劳动力市场分割、资本市场分割与绿色增长效率之间存在“U型”关系,但实际上90%以上的样本城市均表现出市场分割对绿色增长效率提升存在抑制作用,这与本文的研究结论没有实质性差异。从控制变量的估计结果来看,全要素绿色发展效率与城市规模(scl)之间呈现形变化关系,即在城市人口规模发展到一定阶段以前,随着城市人口数量增加会抑制全要素绿色发展效率提升,当城市人口增加到一定阶段后,会促进全要素绿色发展效率提升,这一结论与陈阳和唐晓华、毛渊龙和姜国刚的研究结论相似。产业结构升级(is)显著促进全要素绿色发展效率提升。全要素绿色发展效率与经济发展水平(pgdp)之间也呈现出形变化关系,这与王兵等的研究结论相同,这从侧面证实了中国环境库兹涅茨曲线假说。政府主导的环境规制(er)对全要素绿色发展效率有积极影响但效果不显著,表明命令控制型环境规制的环境效应存在一定的局限性。资本深化(cpd)对全要素绿色发展效率有正面影响但不显著,表明我国资本深化的绿色创新水平有待加强。外贸依存度(trade)对城市全要素绿色发展效率有显著的负面作用。

注:括号内为t值,***、**、*表示在1%、5%和10%的水平上显著。
下面将商品市场一体化指数(cmi)、资本市场一体化指数(kmi)和劳动力市场一体化指数(lmi)分别纳入Tobit模型,基于长三角全样本数据的回归结果如表5所示。三个子市场一体化指数的参数估计值均为正,但只有资本市场一体化指数(kmi)的参数估计结果显著,表明资本市场一体化显著促进城市全要素绿色发展效率提升,但商品市场一体化和劳动力市场一体化对全要素绿色发展效率的促进作用尚不显著,对于这一结果发现,较为合理的解释可能是因为资本市场一体化与产业资本紧密关联,产业资本流动会带来生产力尤其是工业生产力空间布局的变化,从而对地区全要素绿色发展效率产生更为显著的深刻影响,而商品市场一体化和劳动力市场一体化所带来的能源环境效应相对较弱。除此以外,表5中其他控制变量的估计结果与表4中相应变量的估计结果大体一致,这在一定程度上说明模型估计较为稳健。
表5 子市场一体化效应的基准回归结果

注:括号内为t值,***、**、*表示在1%、5%和10%的水平上显著。
(三)分组回归结果分析
下面对长三角中心区城市和外围区城市两组子样本分别进行面板Tobit模型回归,以验证图4中显示的市场一体化与全要素绿色发展效率之间的相关关系是否成立。长三角中心区城市面板Tobit模型回归结果如表6所示,从表中可以看出,市场一体化综合指数(mi)的参数估计结果均显著为正,表明市场一体化整体上对长三角中心区城市全要素绿色发展效率有显著的促进作用,从子市场一体化指数的影响来看,商品市场一体化指数(cmi)与城市全要素绿色发展效率正向相关但不显著,资本市场一体化指数(kmi)和劳动力市场一体化指数(lmi)的参数估计结果均显著为正,资本市场一体化有利于促进中心区城市高端产业发展和绿色技术进步,劳动力市场一体化会吸引更多高素质人才向中心区城市集聚,有利于促进人力资本提升和技术创新。相关控制变量的估计结果与表4无显著差异,表明模型比较稳健。

注:括号内为t值,***、**、*表示在1%、5%和10%的水平上显著。
长三角外围区Tobit模型回归结果如表7所示,资本市场一体化指数(kmi)系数在10%水平上显著为正,表明资本市场一体化促进了长三角外围区城市绿色发展效率提升,除此以外,市场一体化综合指数(mi)、商品市场一体化指数(cmi)和劳动力市场一体化指数(lmi)的参数估计结果均不显著,表明市场一体化整体上对长三角外围区城市绿色发展效率的促进作用较小,只有资本市场一体化对绿色发展效率产生显著的作用,表明资本市场一体化对外围区城市产业升级和技术进步有积极影响。从控制变量的估计结果来看,全要素绿色发展效率与城市规模(scl)之间呈现“U型”变化关系,全要素绿色发展效率与经济发展水平(pgdp)之间也呈现“U型”变化关系,产业结构升级(is)显著促进全要素绿色发展效率提升,外贸依存度(trade)对全要素绿色发展效率有显著的负面作用。与长三角中心区回归结果不同的是,环境规制(er)和资本深化(cpd)对长三角外围区城市全要素绿色发展效率有负面影响,说明在长三角一体化背景下,非对称性环境规制和资本深化可能引致污染密集性产业转移和环境污染的空间溢出,进而对长三角外围区城市全要素绿色发展效率提升产生不利影响,虽然这种负面影响结果尚不显著,但需要及时采取合理的干预措施进行防范和疏导。
表7 长三角外围区Tobit模型回归结果

注:括号内为t值,***、**、*表示在1%、5%和10%的水平上显著。
(四)稳健性检验
上述基与不同子市场一体化指数以及不同地区分组回归,结果均显示模型较为稳健。考虑到在长三角41个地级及以上城市中,上海是直辖市,且上海在长三角地区处于高质量发展的领先地位,因此,下面将上海这一特殊城市从长三角城市样本中排除掉,利用余下40个城市数据,基于Tobit模型回归分析进行模型稳健性检验,回归结果如表8中的左半部分所示。全样本和中心区回归结果中,市场一体化均显著促进绿色发展效率提升,中心区市场一体化对城市绿色发展效率的促进效应更大,外围区市场一体化的促进效应不显著,其他控制变量的回归结果与前述相关模型估计结果相比均没有显著差异。考虑到污染排放效率是全要素绿色发展效率的重要组成部分,对城市全要素绿色发展效率有重要影响,下面以污染排放效率替代全要素绿色发展效率作为被解释变量,基于面板Tobit模型再次进行回归,估计结果如表8中的右半部分所示,模型中的核心解释变量和控制变量的估计结果均没有发生显著变化,这也表明模型比较稳健。
表8 Tobit模型的稳健性检验结果

注:括号内为t值,***、**、*表示在1%、5%和10%的水平上显著。
(一)研究结论
本文利用全局生产前沿建模方法和非径向方向性距离函数(NDDF),构造了一个包含生产要素投入效率和污染排放效率的DEA模型,综合测算和比较长三角城市全要素绿色发展效率,在此基础上,利用面板Tobit模型对长三角城市绿色发展效率的影响因素进行实证研究,侧重验证了发长三角市场一体化对城市绿色发展效率提升的影响,比较研究市场一体化对长三角中心区城市和长三角外围区城市绿色发展效率的异质性影响效应,并提出合理化应对策略与政策建议。
从长三角城市全要素绿色发展效率增长来源看,要素投入效率提升对长三角城市全要素绿色发展效率增长的贡献率较高,约占60%—70%左右,污染排放效率对全要素绿色发展效率增长的贡献率有待进一步提升。在样本观测期间,长三角城市全要素绿色发展效率整体上呈现上升趋势,其中,长三角中心区城市全要素绿色发展效率有较快的持续上升趋势,尤其是2015年以来有较明显的快速增长趋势,长三角外围区城市全要素绿色发展效率经历了一个先下降、再平缓上升、后较快上升的变化趋势。江苏省和浙江省城市全要素绿色发展效率的平均水平大体相当,但江苏省不同城市之间全要素绿色发展效率的差异比浙江省不同城市之间的差异要小,安徽省不同城市之间全要素绿色发展效率差异最大。整体而言,长三角不同城市之间绿色发展效率差异逐渐减小,呈现出空间收敛的动态趋势特征。
从长三角城市全要素绿色发展效率的影响因素来看,长三角区域市场一体化整体上有利于促进城市全要素绿色发展效率提升,尤其是资本市场一体化显著促进了城市全要素绿色发展效率提升,但商品市场一体化和劳动力市场一体化对全要素绿色发展效率的整体促进作用尚不显著。市场一体化对中心区城市全要素绿色发展效率的影响更为显著,对外围区城市主要表现为资本市场一体化对城市全要素绿色发展效率的提升效应。经稳健性检验后,上述研究结论没有发生显著变化。全要素绿色发展效率与城市规模和经济发展水平之间均呈现“U型”非线性变化关系,产业结构升级显著促进了城市全要素绿色发展效率提升,环境规制和资本深化对城市全要素绿色发展效率整体上有正面影响但尚不显著,外贸依存度对城市全要素绿色发展效率有显著的负面作用。
(二)政策启示
基于上述研究结论可以得到以下几点政策启示:一是要采取合理措施,充分发挥市场驱动城市绿色发展效率提升的作用。推进排污权市场化交易、用能权和用水权市场化交易、企业环境信息公开和环境信用评价、环境污染责任保险、跨地区生态保护补偿等制度措施落地实施,在促进要素投入效率和能源使用效率提升的同时,大力提高污染排放效率对城市绿色发展效率提升的贡献,将污染减排与节能降碳有机融合,一体化推进节能、减排、降碳与城市经济增长协同增效。
二是要全面提升市场一体化对长三角城市全要素绿色发展效率的促进作用,尤其是要加强发挥商品市场一体化和劳动力市场一体化对城市全要素绿色发展效率提升的积极作用。以市场一体化为核心推进长三角区域一体化,推进资本、人才、知识产权和技术等关键高级生产要素的区域一体化市场体系建设。进一步加强跨区域交通基础设施建设,完善区域内城际交通,改进地区营商环境和商品流通效率,疏通商品市场流通障碍和堵点,减少商品跨地区流通成本和交易成本;要进一步消除妨碍劳动力跨地区流动的制度性障碍,统筹推进城乡户籍管理制度改革和城镇基本公共服务均等化,大力推进以人为核心的新型城镇化建设,畅通城乡人口有序流动,促进农业转移人口全面融入城市,完善人力资本培训和人才公共服务体系,促进商品与各类生产要素在区域内自由流动,提高资源配置效率,提升区域规模经济优势和专业化分工优势。
三是增强市场一体化对长三角外围区城市全要素绿色发展效率提升的促进作用。目前,市场一体化主要对长三角中心区城市全要素绿色发展效率有显著提升作用,要防范市场一体化对长三角外围区城市全要素绿色发展效率的负面影响。在长三角区域市场一体化背景下,统筹上海龙头带动效应和各扬所长的作用,发挥上海国际经济、金融、贸易、航运、科技创新中心等“五个中心”的作用,在制度创新和科技创新上引领长三角高质量发展;同时充分发挥各地的比较优势和地方特色,明确城市功能定位与区域分工布局,在区域一体化基础上展开更高水平的竞争与合作,消除城市之间恶性竞争、非对称性环境规制和同质化发展困境,防范污染密集型产业转移和环境污染的跨区域转移对长三角外围区城市全要素绿色发展效率的不利影响,加强跨城市、跨部门环保执法和环境协同治理的常态化联动机制,促进区域绿色协调高质量发展。