新质生产力”由习近平总书记创造性提出,其关键内核在于强调要坚决摒弃传统粗放型经济增长方式以及传统生产力发展演进的路径,要推动传统生产力不断向具有更高效率、更高质量、更高科技含量的先进生产力形态转变。新质生产力是先进生产力的重要代表,是马克思主义生产力理论同中国新时代科技创新实际紧密结合的产物,2024年3月5日的国务院政府工作报告明确提出要“大力推进现代化产业体系的建设,加快发展新质生产力”。2024年7月的中共二十届三中全会公报再次强调“要健全因地制宜发展新质生产力体制机制”。然而,需要注意的是,承担起推动中国新质生产力水平提升的中坚力量之一的中小企业却因起步相对较晚,其规模还普遍偏小、竞争力还相对弱小,在信息收集与识别上还存在较大困难,颠覆性技术创新水平还相对较低,高质量发展还面临巨大挑战,由此,如何推动中小企业新质生产力水平的跃升已成为当前中国政府所面临的重大课题。
与此同时,中国政府当前正积极推进专精特新“小巨人”企业的培育。所谓专精特新中小企业主要是指具备“专业化、精细化、特色化、新颖化”等突出特征,并主要聚焦高端智能制造、生物医药、新能源、新材料等战略性新兴产业领域的中小企业。而“小巨人”企业则是这当中发展最为亮眼的那一批企业,这些企业主要聚焦关键技术和前沿领域,是优秀中小企业的杰出代表。推动“小巨人”中小企业培育的关键目标旨在快速实现中小企业的专业化水平和创新能力的“双提升”,以弥补中国目前在高端智能制造方面的“短板”和消除中国在关键技术和关键领域方面的“卡脖子”难题,从而增强中国在关键产业链上的话语权和韧性,最终助力中国经济的高质量发展。在此背景下,工信部于2019—2024年间先后共计开展了6批次国家专精特新“小巨人”企业认定工作,共计15970家企业通过评定。与此同时,中国国家专精特新“小巨人”企业也迎来了迅猛发展势头,以2024年第二季度为例,北交所上市的国家级专精特新“小巨人”企业的总营收达220.13亿元,增速高达16.11%,为母公司创造出高达16.70亿元的净利润,同比增长24.16%。据此,本研究不禁思考国家专精特新“小巨人”企业认定政策是否会对中国中小企业新质生产力水平的提升带来促进作用?倘若存在,其内在机理又会怎样?对于这些问题的解答,将有助于化解中国在推进中小企业高质量发展过程中所面临的难题,并有利于中国式现代化目标的顺利实现。
本研究认为,国家专精特新“小巨人”企业认定可通过缓解企业融资约束、促进企业风险承担水平提升、优化企业资源配置效率、强化分析师关注度等四条路径来推进试点中小企业新质生产力的形成。具体分析如下。

(一)计量模型
国家专精特新“小巨人”认定可视为一项准自然实验,即将国家专精特新“小巨人”企业认定作为一项外部政策冲击,并依据中小企业在样本期内是否为国家专精特新“小巨人”认定企业而将全体中小企业划分为实验组和控制组。也就是将样本期限内被认定为国家级专精特新“小巨人”的企业作为实验组,而将样本期限内始终未被认定为国家级“小巨人”企业作为控制组。并由此构建出多时点双重差分模型如下。

(1)中,f、t分别表示中小企业、年份。
代表中小企业新质生产力的发展水平;
用来表示国家专精特新“小巨人”企业认定虚拟变量,当f企业在t年获得国家级专精特新“小巨人”的认定,则在该年及后续年份有
,其他则为0。表示全体控制变量。除此以外,还加入了城市固定效应、行业固定效应、企业固定效应、时间固定效应。
(二)变量说明
1.被解释变量(npro)
即企业新质生产力发展水平。本研究依据张秀娥等、肖有智等的做法,从新质劳动者、新质劳动对象、新质劳动资料等三方面构建企业层面新质生产力综合指标评价体系,并运用熵值法来进行量化(具体指标体系见下表1)。
表1 企业新质生产力指标体系

2.核心解释变量(
)
即国家专精特新“小巨人”企业认定虚拟变量。因实验组企业在认定时间方面存在先后差异,进而存在多个政策冲击点。当中小企业f在t年获批国家专精特新“小巨人”企业时,则该年及后续年份都有
,否则则为0。
3.控制变量(
)
本研究参考韩洪灵等、刁海璨的做法,选取以下11个变量来构建本研究的控制变量集:企业规模(size),采用企业总资产取对数来表示;偿债能力(lev),采用企业总负债与其总资产的比值来表示;企业年龄(age),采用当年年份减去成立年份取对数表示;资产周转率(at),采用企业营业收入在其总资产中的比值来表示;托宾Q值(tobinQ),采用企业资产的市场价值同资产重置价值的比值来表示;营业收入增长率(growth),用当年营业收入与上年收入的比值减1来表示;资产收益率(roa),用企业净利润与其平均总资产的比值来表示;第一大股东持股比例(top1),用企业第一大股东持股比例来表示;流动比率(liquid),用流动资产与流动负债的比值来表示;董事会规模(bs),对董事会人数取对数来表示;独立董事比例(pid),采用独立董事数在董事会总人数所占比重来表示。
(三)数据来源与处理
本研究选取2015—2023年沪深A股上市公司作为实证研究数据原始来源。在对数据的选取及具体处理上:(1)对属于金融、房地产等行业的企业样本予以剔除;(2)剔除主要变量存在严重缺失的企业样本;(3)剔除ST以及PT*ST企业;(4)对全体连续变量进行上下1%缩尾;(5)考虑到在国家专精特新“小巨人”认定政策实施的同时,各省市也在同步实施专精特新企业、专精特新“小巨人”企业的认定,为消除这些因素可能带来的影响,本研究将所有未在国家专精特新“小巨人”名单之中但却为各省市专精特新企业或专精特新“小巨人”企业的样本予以全部剔除,最后,为直观起见,主要变量的统计描述见下表2。
表2 主要变量的统计性描述

(一)基础模型回归结果
表3为基础回归模型(1)的回归结果,第(1)列仅添加了核心自变量(treat),此时treat前的估计系数为0.491,且在1%显著水平下通过了检验;第(2)列则在第(1)的基础上加入了城市、行业、企业、年份等层面的固定效应,此时treat前面的估计系数为0.376,同样在1%显著水平下通过了检验;第(3)列则在第(2)列基础上添加了其他11个控制变量,此时treat前的估计系数为0.244,仍在1%显著水平下通过了检验。据此表明,国家专精特新“小巨人”企业认定政策确实推动了中小企业新质生产力水平的提升。
除此以外,企业规模(size)、偿债能力(lev)、企业年龄(age)、资产周转率(at)、托宾Q值(tobinQ)、营业收入增长率(growth)、资产收益率(roa)、流动比率(liquid)、董事会规模(bs)、独立董事比例(pid)均对中小企业新质生产力的提升有显著促进作用。而第一大股东持股比例(top1)越高则越不利于中小企业新质生产力的提升。
表3 基本回归结果

说明:*、**、***分别表示在10%、5%以及1%的水平上显著,下同。
(二)稳健性检验
1.平行趋势验证
采用多时点双重差分法展开政策效果评估的重要前提假设条件是在政策冲击开始前实验组、控制组在整体发展趋势上应保持总体一致性,只有这样才能契合双重差分法实施的前提条件,为检验本研究所构建出的双重差分模型是否也契合这一重要前提假设,特构建如下检验模型。

(2)式的实验组、控制组、控制变量、固定效应等的设定上均与基础回归模型(1)保持完全一致。与此同时,设定任意中小企业被批准为国家级专精特新“小巨人”企业的年份为t,k则用来代表任意企业获得国家级专精特新“小巨人”认定的时长。
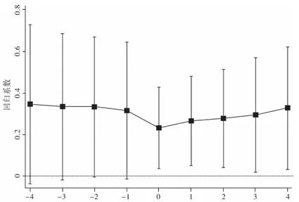
结合下图2,容易发现,在国家级专精特新“小巨人”企业展开认定前,即2015—2018年间,在95%的置信区间内估计系数都包含了零值,但是在国家专精特新“小巨人”企业开始认定后,估计系数的置信区间均不在出现零值,由此证实基础回归模型通过了平稳趋势的检验。

图2 国家专精特新“小巨人”认定政策对中小企业新质生产力影响的动态效应
2.PSM-DID稳健性检验
运用倾向得分匹配法(PSM)来对所研究的样本进行检验,以确保实验组与控制组尽可能保持高度一致性与相似性。选取包括企业规模(size)、偿债能力(lev)、企业年龄(age)、资产周转率(at)、托宾Q值(tobinQ)、营业收入增长率(growth)、资产收益率(roa)、第一大股东持股比例(top1)、流动比率(liquid)、董事会规模(bs)、独立董事比例(pid)等作为协变量,运用logit模型进行回归分析进而获得倾向得分,并在此基础上选取近邻匹配法进行1∶1的匹配,在此基础上对匹配结果进行重新回归,所得结论发现(见下表4方案(1)—(3)),核心变量仍保持显著为正,由此确保了基础回归结论的准确无误。
表4 PSM-DID回归结果

3.安慰剂检验
安慰剂检验的主要做法是构建“假”的政策冲击时间并在此基础上进行回归分析,如果此时发现存在政策效应,则可以判定基础回归模型所得结论存在问题。本研究假定每批次国家专精特新“小巨人”的认定时间均提前1年和2年,并在此基础上对基础回归模型进行重新回归,所得结论发现(见下表5方案(1)—(2))此时核心变量前的估计系数均未通过显著性检验,从而证实了基础回归结论的稳健性。
4.其他稳健性检验
(1)内生性问题处理。选取被解释变量(npro)滞后1、2期,据此来清理基础回归模型中所存在的内生性问题,回归结果发现(见下表5方案(3)—(4)),在对内生性问题进行剔除后,核心自变量(treat)仍显著为正,从而证实了基础回归结论的稳健性。(2)更换新质生产力发展水平测度方法。先后采用绿色全要素生产率及运用OP、LP等方法测算得到的全要素生产率来替代新质生产力指标,并在此基础上进行重新回归,所得结果表明(见下表5方案(5)),此时核心自变量仍旧十分显著,由此表明,更改新质生产力的替代指标并不会给基础回归结果造成明显影响。
5.政策唯一性检验
样本期间内,中国政府还同时进行了智慧城市试点、跨境电商综合试验区试点、创新型城市试点,这些试点政策的实施同样可能对专精特新“小巨人”企业新质生产力的提升带来影响。为剥离这些因素的杂音,本研究在基础回归模型基础上,进一步加入2012年及后续年份智慧城市试点政策虚拟变量、2015年及后续年份跨境电商综合试验区试点政策虚拟变量、2018年及后续年份创新型城市试点政策虚拟变量,回归结果显示(见下表6方案(7)),国家专精特新“小巨人”企业认定变量前的估计系数仍显著为正,由此表明其他试点政策未给基础回归模型结论带来重大改变。
表5 安慰剂检验、内生性问题处理、更换新质生产力发展水平测度方法的回归结果

(三)异质性分析
1.不同地区
本研究将全体样本划分为东部及中西部两组,并在此基础上进行分组回归,所得结果表明(见表6方案(1)—(2)),国家专精特新“小巨人”企业认定政策对东部地区的企业新质生产力水平的提升效果十分显著,但对中西部地区的作用却不显著。可能的原因在于东部地区经济非常发达,要素资源集聚程度高,政府财政收入水平高,这些利好因素有助于东部地区中小企业抓住国家专精特新“小巨人”企业认定的政策契机,快速提升其新质生产力水平。而中西部地区整体经济发展水平还相对较落后,要素资源还呈现较为严重的流失,政府财政收入水平相对较低,处在这些地区的中小企业因此无法很好利用国家专精特新“小巨人”企业认定政策的有利契机,从而使得其新质生产力水平的提升效果相对较弱。
2.不同所有制性质
本研究将全体样本分为国有企业和民营企业两大类,回归结果表明(见表6方案(3)—(4)),国家专精特新“小巨人”企业的认定政策对民营企业新质生产力水平的提升效果十分显著,但对国有企业的提升效果却不显著。可能的原因在于国有企业内部组织结构相对冗余,激励机制也不完善,整体生产效率还相对较低,从而难以发挥国家专精特新“小巨人”企业的认定政策优势快速提升其新质生产力水平。而民营企业相较于国有企业而言,因无法如国有企业那样长期获得稳定且持续的政策倾斜,由此长期处在相对不确定的环境之中,竞争压力也相对较大,这就使得其不断进行内部组织结构革新,并不断推动其内部资源要素的优化,在此背景下,民营企业往往能够更为快速地抓住国家专精特新“小巨人”企业的认定政策快速提升其新质生产力水平。
3.不同行业
通过结合国家专精特新“小巨人”企业认定的相关政策以及具体被认定的企业名单等情况来研判,大部分被认定的中小企业主要集中于高端装备、新材料、新能源、新一代信息技术等高技术含量行业。据此,本研究拟对全体企业样本划分为“高技术行业”和“其他行业”两组后进行回归,高科技行业组主要包含“高技术制造业”“信息传输、软件和信息技术服务业”“科学研究和技术服务业”等三类,另一组则为其他行业。回归结果表明(见表6方案(5)—(6)),国家专精特新“小巨人”企业认定政策对中小企业的作用十分显著,但其他行业并不显著。可能的原因是由于国家专精特新“小巨人”企业在高科技行业分布相对较为密集,且该类行业本身技术迭代速度非常快,学习型效应、技术扩散效应、竞争效应等在这些行业能够充分发挥其功能,由此这些行业中的中小企业可以充分依托该政策所带来的巨大政策红利以及这些行业领域的这些特征,积极开展颠覆性技术创新,进而推动了新质生产力水平的提升,而处于其他行业的国家专精特新“小巨人”企业,整体技术水平相对较为落后,由此难以发挥政策优势,快速实现自身新质生产力水平的提升。
表6 不同地区、不同所有制性质、不同行业、政策唯一性回归结果

前文已就国家专精特新“小巨人”企业认定政策对中小企业新质生产力影响的理论机理进行了分析,实证检验了国家专精特新“小巨人”企业认定政策对中小企业新质生产力的影响效应。本部分将侧重从实证视角来验证理论假说的正确性,并在此基础上对各机制的作用效果进行测算。在机制模型的设置上,本研究采用Zhou et al.的经验做法构建出如下机制检验模型。

其中,(3)—(5)式即为中介机制检验模型,Mft表示包含缓解融资约束(finance)、提升企业抗风险水平(risk)、优化资源配置效率(resource)、增强分析师的关注度(analyst)等在四个机制,其他变量及含有与基础回归模型(1)完全一致。
在中介机制的量化上,对于融资约束机制(finance),本研究借助Hadlock and Pierce的做法,采用KZ的指数值来对融资约束机制进行量化,该指数越大,表示所承受的融资约束越大;对于企业风险承担水平(risk),本研究参考Faccio et al.的做法,采用企业盈利的波动程度来对该机制进行量化,该数值越大,代表该企业所能承担的风险水平越高;在对优化资源配置效率(resource)机制的量化上,参考方军雄的做法,运用企业资本配置效率来对该机制进行量化;在对增强分析师关注度机制(analyst)机制的量化上,本研究主要采用分析师团队数量取对数来表示。
表7是机制模型(3)—(5)的回归分析结果。由列(1)不难看出国家专精特新“小巨人”企业认定政策变量前的估计系数为负数,且在5%的显著水平下通过了检验,由此可以表明国家专精特新“小巨人”企业认定政策有助于缓解企业所面临的融资约束水平。由列(2)能发现国家专精特新“小巨人”企业认定政策变量前的估计系数为正数,且在5%的显著水平下通过了检验,由此可以表明国家专精特新“小巨人”企业认定政策有助于提升企业抗风险水平。由列(3)容易得出国家专精特新“小巨人”企业认定政策变量前的估计系数为正数,且在5%的显著水平下通过了检验,由此可以表明国家专精特新“小巨人”企业认定政策有助于优化资源配置效率。由列(4)能发现国家专精特新“小巨人”企业认定政策变量前的估计系数为正数,且在1%的显著水平下通过了检验,由此可以表明国家专精特新“小巨人”企业认定政策有助于增强分析师的关注度。列(5)—列(8)是机制模型(4)的回归分析结果。不难发现,国家专精特新“小巨人”企业认定政策变量前的估计系数分别为0.201、0.157、0.192、0.191,均比基础回归模型中估计系数0.244要低得多,且分别在5%、10%、5%、5%的显著水平下通过了检验,从而表明,缓解融资约束、提升企业抗风险水平、优化资源配置效率、增强分析师的关注度均为国家专精特新“小巨人”企业认定政策促进中小企业新质生产力的中介机制,即,国家专精特新“小巨人”企业认定政策的确可以通过缓解融资约束、提升企业抗风险水平、优化资源配置效率、增强分析师的关注度等渠道来促进中小企业新质生产力水平的提升。在此基础上,本研究借助周科选等对于中间机制贡献率的测算方法,并结合本研究模型(5)的回归分析结果(见表7列方案(9)),测算出缓解融资约束机制、提升企业抗风险水平机制、优化资源配置效率机制、增强分析师的关注度机制的贡献率分别为38.36%、6.05%、17.67%、10.19%,这表明,在国家专精特新“小巨人”企业认定政策对中小企业新质生产力发展水平的推动作用上,缓解融资约束机制的贡献作用最大,贡献达41.16%。
表7 机制检验结果

本研究先从理论层面分析了国家专精特新“小巨人”企业认定政策对中小企业新质生产力水平提升的影响及内在机理,并结合2015—2023年间中国上市公司数据库,利用多时点双重差分法对理论层面分析的结论进行了实证检验,并得到以下结论:(1)国家专精特新“小巨人”企业认定政策对中小企业新质生产力的发展水平有明显推动作用;(2)国家专精特新“小巨人”企业认定政策对中小企业新质生产力发展水平的推动作用也不同地区、不同所有制性质、不同行业而呈现明显差异。具体而言,国家专精特新“小巨人”企业认定政策对东部地区的中小企业新质生产力提升作用强劲,但对中西部地区中小企业新质生产力的提升作用却不显著;国家专精特新“小巨人”企业认定政策对民营企业新质生产力水平的提升有显著正向效应,但对国有企业新质生产力的提升作用不显著;国家专精特新“小巨人”企业认定政策对高新技术行业新质生产力的形成作用显著,但对其他行业作用却不明显;(3)机制检验的结果显示,国家专精特新“小巨人”企业认定政策的确能够通过缓解融资约束机制、提升企业抗风险水平机制、优化资源配置效率机制、增强分析师的关注度等渠道来促进中小企业新质生产力发展水平的提升,其中,缓解融资约束机制所作贡献最大,达41.16%。
本研究的政策含义如下。
(1)深度推动现有专精特新企业培育体系的持续完善。中国政府大力推进国家专精特新“小巨人”企业认定的原因主要是专精特新“小巨人”企业主要分布于新能源、新材料、生物医药、人工智能等前沿产业,据此,开展专精特新“小巨人”培育有助于突破中国高端产业发展所面临的“卡脖子”技术难题,进而推动中国未来产业和战略性新兴产业的发展。而本研究的结果已经证实,国家专精特新“小巨人”企业认定政策有助于推动中小企业新质生产力水平的提升。由此,应持续加大对国家专精特新“小巨人”企业的培育,不断完善现有梯度培育体系,争取做到储备一批、培养一批、壮大一批,同时大力支持和鼓励中小企业专注于产业链关键环节并积极向行业领军企业看齐,此外,要充分发挥相关服务机构功能,为中小企业提供投融资、人才培训、决策咨询、创业创新等相关服务。
(2)积极向各行业推广专精特新“小巨人”企业所产生的最新优秀成果,为各行业的高质量发展助力。本研究结果已证实国家专精特新“小巨人”企业认定政策对已处于高新技术行业的企业新质生产力的提升有显著推动作用,而对其他行业企业新质生产力的提升作用效果则不显著,且缺乏有针对性的政策支持。据此,其他各行业要推动其新质生产力水平的提升,必然要提高各行业企业的颠覆性技术创新能力,这就要求各行业要重点打造一批国家级专精特新“小巨人”企业并成为行业的“领头羊”。由此,应该充分借助现有国家专精特新“小巨人”发展的成功经验,鼓励各行业企业加大相关研发机构的建设,并大力扶持各行业企业专注于各自领域产业链的核心环节,各行业还应积极推出专精特新高端人才的评定办法,并积极推动各行业的颠覆性技术创新活动,从而推动各行业的新质生产力水平的提升。
(3)继续强化金融机构对中小企业的支持力度,持续缓解中小企业的融资压力。本研究的结果已证实缓解融资约束机制是国家专精特新“小巨人”认定政策推动中小企业新质生产力水平提升最为关键的中介机制。这就必然要求金融机构要进一步强化对中小企业的融资支持力度,具体而言,首先,各金融机构要积极推进专精特新“小巨人”企业金融服务平台的打造,在利率设置上要有充足弹性,为专精特新“小巨人”企业提供个性化和差异性的金融服务,针对专精特新“小巨人”企业量身定做各类中长期贷款品种,切实解决专精特新“小巨人”企业在开展颠覆性技术创新研发过程中对于资金的庞大需求问题。其次,要强化专精特新“小巨人”企业服务平台的打造。打造针对专精特新“小巨人”企业的公共服务平台,完善税收优惠政策、人才培训、用水用地用电政策咨询等的相关功能。最后,健全相关法律法规,保护专精特新“小巨人”企业的知识产权。坚决打击各类侵权行为,要对各种不正当竞争行为进行强有力的监管,确保中小企业能够在更为公正公平的环境中竞争和发展。