在新一轮科技革命和产业变革背景下,以数字技术为驱动力量的数字新质生产力是新质生产力数字化的结果。由此,加强数字创新成为培育数字新质生产力的关键。数字创新是指采用信息、计算、沟通和连接等数字技术组合,瞄准新产品开发、生产过程改进、组织模式变革以及商业模式创新等不同方向开展技术创新的过程。相比于传统创新,数字创新的一个典型特征是围绕数据及其关联要素进行,因而呈现出自成长性,能够不断推动产品和服务迭代升级来满足用户需求。企业作为经济运行的微观基础和创新主体,无疑在数字技术的研发和应用过程中发挥着重要作用,但由于现实中数据难以确权和定价,数据垄断使得众多小企业和初创企业数字创新面临“寻数无门、数不保质”的难题,转而采取购置信息化系统、工业机器人和开展电子商务等策略式捷径,以获取国家数字经济政策释放的红利,大企业在获得垄断利润的同时也缺乏数字创新的激励。
为充分发挥数据要素价值,中国政府对数据要素市场的重视与日俱增。自2014年“大数据”被首次写进政府工作报告以来,《关于构建更加完善的要素市场化配置体制机制的意见》《关于构建数据基础制度更好发挥数据要素作用的意见》《关于促进数据安全产业发展的指导意见》等重要文件相继发布,2024年党的二十届三中全会提到“要构建全国一体化技术和数据市场”。在国家政策指引下,各地借鉴传统要素的市场化经验,积极采取政策措施推动数据交易机构建设试点,先后成立了由地方政府发起、参与或批准成立的数据交易平台,力图通过规范的权属注册、定价评估以及安全交易等行为促进数据流通、共享和开放。鉴于此,本文立足数字创新的底层逻辑,旨在探究数据要素市场化这一制度安排对企业数字创新的影响及其作用机制,以期为我国数字新质生产力加快形成提供有益的实践路径。
相较于既有研究,本文边际贡献如下:一是将数据要素市场与企业数字创新纳入统一框架,提出并验证数据要素市场化通过强化数字战略导向、改善数字融资环境和加速数字产业集聚三个渠道促进了企业数字创新,强调以“市场育技术”取代“市场换技术”。二是将数据交易平台的设立视为准自然实验,一定程度上克服了数据要素市场化指标测度以及回归内生性问题,同时辨别了第三方数据交易平台和混合数据交易平台的异质性作用。三是拓展了市场一体化背景下企业同群效应的研究范畴,有助于厘清企业数字创新溢出效应的理论逻辑,为政府持续深化数据要素市场化改革提供了经验证据。
与本文主题相关的一组文献是数据要素市场建设的经济效应研究。目前数据要素市场已形成政府主导、社会参与和市场化运作相结合的运营模式,涉及的数据主体涵盖数据商、第三方服务机构、数据中介、数据经纪商、数据交易平台等。与传统要素市场一样,数据要素市场的运行仍需依靠由供求、定价、产权和监管机制组成的数据要素市场价值规律。既有文献对数据要素市场化的经济效应进行了初步探索。从宏观角度看,数据要素市场建设能通过推动产业结构升级、提高资本与劳动的配置效率等方式提升城市创新活力、实现城市经济增长与数字经济发展水平的提高,从微观角度看,Eeckhout and Veldkamp指出,通过市场化手段实现数据要素在企业间的交易流通,有助于抑制头部企业凭借优势实现数据封锁所产生的“数字鸿沟”,进而拓展初创企业的创新空间。数据要素流通同时减少了源头创新与产业应用间的信息不对称,使创新主体充分依据市场需求进行研发。此外,数据要素市场化还能够通过优化资源配置、降低交易成本和提高人力资本水平等渠道促进企业绿色创新、数字化转型和全要素生产率增长。
与本文主题相关的另一支文献是企业数字创新的影响因素及经济后果研究。在企业数字创新的影响因素上,已有研究发现市场一体化建设、政府数据开放、数字经济政策、知识产权保护和税收激励是驱动企业数字创新的关键外部因素。同时,企业数字创新还受到自身数字战略和数字资源获取能力的影响。例如,苏二豆等发现海外投资数字产业可以促进企业数字创新;董维维等认为使用数字平台能够通过资源整合提高企业数字创新水平。在企业数字创新的经济后果上,多数研究证实了数字创新对企业全要素生产率、市场价值和出口质量等绩效方面的积极影响,但在数字化变革过程中需要警惕陷入“数字化悖论”。
通过上述文献梳理发现,既有文献从众多视角研究了数据要素市场化配置产生的价值创造作用,但对于企业数字创新的关注度明显不足。区别于数字化转型所强调的数字技术应用,数字创新是对数字技术本身的“创造性破坏”,过程中交叉融合了多种学科领域,是涉及科学、工艺、技术等不同知识和能力的集成创新,所需的知识种类更多,架构也更加复杂。而数据作为知识的来源和载体,在多场景和多主体的渗透融合、流通复用下,将推动各领域知识相互碰撞,因此在推进数据交易平台和国内统一大市场建设的战略机遇下,有必要从数据要素市场化这一崭新视角探索促进企业数字创新的作用路径。
数据在未经市场化流通的情况下,其价值创造仅作用于少数企业、地域和场景,无法在全社会充分创造和扩展价值。数据要素市场建设充分发挥了数据的基础资源作用和创新引擎作用,促进了数据开放、共享和交易等机制的完善,可以为企业数字创新提供重要保障。在数据开放上,数据要素市场化能够促进公共数据的开发利用,通过授权运营模式实现公共数据的开放共享,隐私计算技术能够保证在不泄漏企业原始数据的前提下,实现“原始数据不出域、数据可用不可拥”的流通范式。在数据共享上,数据要素市场建设有助于推动构建统一的数据标准和格式规则,实现数据在跨企业、跨行业、跨地区的互联互通,降低数据流通成本和难度;同时,数据要素市场建设会建立算力算法设施、产业互联网等数据交互平台,有助于企业构建互联互通的数据交互生态。在数据交易上,数据交易所突出交易过程的公共属性和金融平台属性,数据商和第三方服务机构具有“市场属性”,进而有效提升数据交易的规模性和多样性。可见,数据要素市场建设能够促进数据要素在更大范围内高效流通,为企业数字创新提供高质量数据要素。基于此,本文提出假说H1。
假说H1:数据要素市场化能够有效驱动企业数字创新
熊彼特创新理论指出,企业的创新活动并非自发形成,管理层的领导是企业内部驱动创新的关键动力。同时,企业的创新活动离不开资金和外部创新生态的支持,这两者共同构成了企业创新活动得以顺利开展的基石。数据要素市场建设在为企业提供高质量数据要素的同时,也为企业数字创新营造了优质环境。以下从数字战略导向、数字融资环境和数字产业集聚三个方面梳理数据要素市场化对企业数字创新的内在机理。
其一,数据要素市场化可以通过增强数字战略导向促进企业数字创新。数字战略导向反映了企业专注于利用数字资源来创造差异价值。在数据要素市场建设下,数据成为现代企业决策和运营的核心资源,通过挖掘和提炼多维度、多领域数据,可以揭示单一数据无法展示的规律,降低决策风险和失误,进而显著提高企业市场竞争优势。但企业拥有数据资源仅代表将其转化为生产要素的可能,数据分析的质量取决于数字化水平,该情形下会倒逼企业增强数字战略导向,扩大数字资产投资。数字资产投资带来的技术下沉使得企业能够通过数字建模、数字孪生等手段降低试错成本,缩短数字产品与服务的研发周期,极大提高企业数字创新容错率。更重要的是,数字战略导向有助于企业在思维、理念和文化层面形成数字意识,通过配备熟悉数字技术的相关人力资本(例如管理层数字职务的设立),催生相应的绩效考核要求和数字导向的企业氛围,为数字创新指明契合业务应用场景的努力方向。
其二,数据要素市场化可以通过改善数字融资环境促进企业数字创新。信息不对称会导致借贷双方遭遇道德风险与逆向选择,进而加剧企业融资约束。数据要素市场建设增强了市场透明度,可以帮助企业以较低的成本掌握海量的数据信息,从而提高信息披露质量,破题与金融机构之间的信息差。对于金融机构而言,可以通过多源数据共享与高效流通机制,构建企业信用大数据全景图,从而提升企业信贷资金可得性和配置效率。此外,数据要素市场建设通过赋予数字资产权属凭证、数据资产入表、数据资产估值等方式形成数据资源和数据资产,可以增加企业信誉和改善企业资产负债表,有利于企业为数字创新进行融资。
其三,数据要素市场化可以通过加速数字产业集聚促进企业数字创新。一方面,数据要素市场建设规范了企业数据使用行为和数据交易流程,大幅降低了数据搜寻、开发和利用的成本,有助于数字企业在本地区形成集聚。另一方面,数据要素市场建设缓解了劳动力供需匹配的信息不对称性,通过聚焦数字人才培养体系为数字人才提供开放包容的市场环境和良好的资源网络,能吸引更多的数字人力资本流入,加速数字产业集聚。数字产业集聚能够推动包括创新孵化器和风险投资机构在内的数字产业生态系统建设,进而加大对数字企业和数字创新项目的风险投资力度。基于此,本文提出假说H2。
假说H2:数据要素市场化通过增强数字战略导向、改善数字融资环境和加速数字产业集聚来提升企业数字创新水平
(一)计量模型设定
数据交易平台设立作为推进数据要素市场建设的重要手段,改善了当地数据要素市场化配置水平,较好地构成准自然实验。本文设定如下渐进双重差分(DID)模型:

其中,
表示企业i在t年的数字创新水平;
是虚拟变量,若企业i所在地区在t年设立了数据交易平台,
,否则
;Xit表示控制变量集;
和
分别表示企业和年份固定效应;α为常数项;
为随机扰动项,考虑到同一年度同一行业之间扰动项可能存在自相关,本文在行业—年份层面对标准误进行聚类处理。
前的系数β为本文重点关注的估计系数,即数据要素市场化对企业数字创新的平均净效应。
(二)变量定义
1.被解释变量:企业数字创新
企业创新能力往往可以通过专利申请数量予以反映,本文采用数字技术专利申请数量来刻画企业数字创新活动。在数字技术专利的获取上,本文首先通过国家知识产权局官方网站获取上市公司及其子公司专利信息,主要涉及专利权人、专利申请号和IPC分类号等;其次,借鉴陶锋等的策略,依据《数字经济核心产业分类与国际专利分类参照关系表(2023)》对数字技术专利分类号进行定义,针对数字经济核心产业4个大类中的15个中类、86个小类建立与国际专利分类的参照关系,从小组层面筛选出数字技术专利的IPC分类号,同时以参照关系表中的关键词概述对企业申请专利的文本信息进行判别、匹配作为补充;最后,根据“企业—年份”维度,进一步将单项数字技术专利加总到企业层面。由于发明专利的审查制度更加严格,也更能体现企业实质性技术创新,本文对数字技术发明专利申请数量加1取自然对数来衡量企业数字创新水平。在稳健性检验中,采用全部数字技术专利申请数量加1取自然对数来衡量企业数字创新水平。
2.解释变量:数据要素市场建设
考虑到现阶段设立的地方数据交易平台服务的特征具有明显的区域性业务,以贵阳大数据交易中心为例,贵阳市以外的贵州省其他城市也可以通过该交易所进行数据交易活动,因此,尽管某个城市并未直接建立地方数据交易平台,但只要其所在省份在样本期间建立了平台,则可近似认为该城市建立了数据交易平台。具体而言,如果企业i所在省份在t年设立了数据交易平台,则mde在当年及之后取值为1,否则为0。
3.控制变量
参照已有研究,本文选取如下控制变量以尽可能减少遗漏变量带来的估计偏误:企业规模(size)、企业年龄(age)、资产结构(tang)、总资产收益率(roa)、企业价值(tobin)、财务杠杆(lev)、两职合一(dual)、独股权集中度(top1)、行业竞争(hhi)。
(三)样本选取与数据来源
本文选取2011—2023年中国A股上市公司作为研究样本,专利数据来自国家知识产权局数据库,基础财务数据来自CSMAR、Wind数据库。参照现有文献的常规做法,对初始样本作出如下处理:(1)剔除ST、*ST和金融业的样本企业;(2)剔除数据缺失严重或者明显异常的样本企业;(3)剔除样本期间退市的企业以及没有连续3年以上观测值的企业。经过上述筛选,最终得:27153个企业—年度观测值,为减少异常值影响,对所有连续变量在1%和99%分位数上进行Winsorize缩尾处理。表1汇报了变量的描述性统计结果。结果显示:样本企业数字技术发明专利申请数的均值为0.7709,最小值为0,最大值为6.1203,表明大部分企业数字创新水平较低,且不同企业之间的数字创新水平存有较大差异。控制变量的描述性统计结果均在合理区间,这里不再赘述。
表1 变量定义与描述性统计

(一)基准回归结果
表2汇报了数据要素市场化对企业数字创新的全样本估计结果。其中,第(1)列是未加入任何控制变量的回归结果,第(2)—(4)列是逐步加入所有控制变量的回归结果,以第(4)列为例,数据要素市场化的估计系数为0.0450,虽然数值略有降低但其仍然在1%的水平上显著。上述结果表明,在控制企业生产经营特征、治理结构特征以及外部竞争环境等其他条件的情况下,数据要素市场化显著提升了企业数字创新水平,假说H1成立。
表2 基准回归结果

注:*、**、***分别表示在10%、5%、1%水平显著;括号内数字为聚类到行业—年份层面的标准误。以下各表同。
(二)稳健性检验
1.平行趋势检验
平行趋势假设是应用双重差分方法的重要前提,要求在没有发生政策冲击的情况下,处理组和对照组的结果变量存在相同的变化趋势。本文参考Ferrara et al.提出的事件研究方法,构造以下模型:

其中,
表示处理组变量与时间虚拟变量的交互项,系数
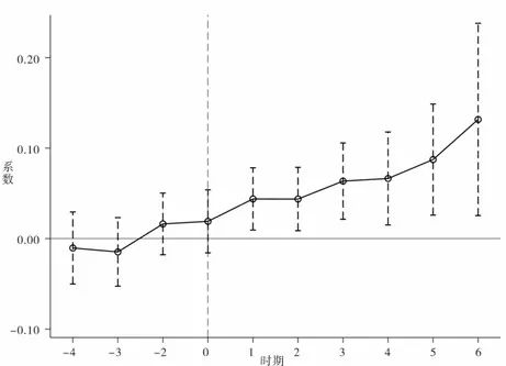
反映在k年处理组企业与对照组企业的数字创新差异。由于首批数据交易平台设立的年份为2014年,样本中部分城市不存在小于-4期的样本值,故对政策时点在-4期进行截尾处理。图1是基于时间研究法的平行趋势检验结果,结果表明在数据交易平台设立之前,
估计系数的95%置信区间内均包含0,表明处理组与对照组企业数字创新的变化趋势相似。从数据交易平台设立当期至后6期的实施效果看,数据要素市场化对企业数字创新的影响效应呈现逐年递增的趋势。

图1 平行趋势检验
2.安慰剂检验
本文分别从提前政策处理时间、随机化处理组与对照组两个方面进行安慰剂检验。一方面,将各地区数据交易平台的设立时间提前3年进行安慰剂检验,结果如表3第(1)列所示。结果表明,数据要素市场化的估计系数未通过10%水平的显著性检验,即数据要素市场化对于企业数字创新的促进效应在数据交易平台设立前并不明显。另一方面,本文采用随机抽样法在样本中抽取与基准回归中处理组数量相同的企业构造伪处理组,其他企业作为伪对照组,并使用式(1)重复抽样500次进行回归模拟。图2展示了重复500次的模拟结果,可以看到随机匹配后的估计系数集中分布在零点附近,p值大多超过0.1,并且基准回归的估计系数(0.0450)落在随机匹配后的估计系数分布之外,说明本文的结果不是由随机因素所引致。

图2 安慰剂检验系数分布
3.修正样本选择性偏差
数据交易平台设立的地区可能天然存在异于其他地区的资源禀赋和城市特征,为了修正样本选择性偏差,本文进一步使用PSM-DID方法。具体而言,针对各处理组连续型控制变量作为匹配协变量,按照1∶1卡尺近邻匹配无放回抽样的方法,将处理组和对照组进行逐年匹配。与匹配前相比,大部分协变量匹配后标准偏差的绝对值小于10%,并且t统计量均不显著。表3第(2)列匹配后新样本的回归结果显示,核心结论未发生实质性变化。
4.异质性处理效应
如果存在异质性处理效应的情况下,使用双重固定效应的“渐进式”DID估计量可能产生偏误。借鉴Callaway and Sant’Anna的研究,本文通过CSDID模型计算“组别—时期平均处理效应”以得到稳健估计量。表3第(3)列汇报了基于采用双重稳健逆概率加权法(DRIPW)对“组别—时期平均处理效应”的估计结果,可以发现,数据要素市场化的估计系数在1%的水平上显著,说明本文中所采用的传统双固定效应模型并未严重受到处理效应异质性的影响,估计结果较为稳健。
5.调整变量口径
企业数字创新的衡量方式可能对回归结果产生影响,本文从以下两个方面更换企业数字创新指标。其一,考虑到企业数字技术专利中还包括了实用新型专利,本文选择企业每年所申请的数字技术专利申请总量(dti2)重新进行回归,回归结果如表3第(4)列所示。其二,数字创新具有长周期性的特征,本文参照黄勃等做法,将被解释变量取值为企业本年度以及前后各一年的数字专利申请总数加1的自然对数(dti3),回归结果如表3第(5)列所示。表3第(4)、(5)列的结果表明,在更换企业数字创新指标的测算方法后,本文核心结论仍然成立。
6.排除干扰性政策
在样本期间,与数据交易平台设立同质化程度较高的政策主要有政府数据平台开通以及2015年和2016年分两批建设的国家级大数据综合试验区。为排除这两项干扰性政策对于实证结果的替代性解释,本文在回归中同时控制了以上试点政策的虚拟变量,回归结果见表3第(6)列。可以看到,数据要素市场化的估计系数在5%水平上显著为正,表明本文结果不受到政府公共数据开放和大数据试验区等政策的影响。
表3 稳健性检验

7.逆向因果关系问题
潜在的逆向因果关系可能使本文面临内生性问题,只有政府在选择设立数据交易平台的城市时,未将当地企业的数字创新水平作为选址的参考标准,实证结果才是稳健可靠的。对此,本文使用工具变量法进行两阶段最小二乘回归(2SLS)。具体而言,从地理因素和历史因素分别选取城市地形起伏度和1984年全国各城市每百人固定电话数作为数据要素市场化的工具变量。考虑到这两个数据均为截面数据,无法用于面板数据的计量分析,需要引入一个随时间变化的变量,本文将城市地形起伏度与上一年全国宽带用户数的交互项(IV1)、1984年各城市每百人固定电话数与上一年全国宽带用户数的交互项(IV2)作为工具变量。两阶段估计结果见表4,第一阶段Kleibergen-Paap rk LM统计量对应的p值均小于0.01,通过不可识别检验;Kleibergen-Paap rk Wald F统计量大于临界值(16.38),说明不存在弱工具变量问题。第二阶段估计结果表明,核心结论稳健。
表4 工具变量回归结果

(一)机制检验
根据前文理论分析,数据要素市场化能够通过强化数字战略导向、改善数字融资环境和加速数字产业集聚来提升企业数字创新水平,为进一步明确作用机制,本文对此进行实证检验。由于遗漏不可观测因素、机制间的相关性、变量互为因果等问题,使用中介效应模型进行机制检验的估计结果可能具有偏误,为减少机制检验估计偏误,需重点关注关键解释变量对中介变量的影响,如式(3)所示:

另一方面,在机制检验中同时考虑中介变量与被解释变量之间的关系,以增强机制检验链条的完备性,如式(4)所示:

其中,mech为中介变量。关于中介变量的具体测算如下:一是数字战略导向(dstra),本文首先借鉴吴非等的研究建立数字化词典,从是否设立管理层数字职务、管理层数字创新导向前瞻性、数字创新导向持续性、数字创新导向广度以及数字创新导向强度5个维度创建二级指标①;其次,分别对5个二级指标标准化处理并赋予特定的权重,最终计算出数字战略引领的评分。二是数字融资环境(dfina),本文借鉴郭峰等对数字普惠金融的构建方法,来表征企业数字创新发展所需的融资环境。三是数字产业集聚(diagg),参照赵放等的做法,本文通过计算数字产业从业人员的区位熵对数字产业集聚水平进行衡量,其中数字产业从业人员数为信息传输、软件与信息技术服务业从业人数与计算机、通信和其他电子设备制造业从业人数之和。
机制检验的回归结果见表5所示。其中,表5第(1)列汇报了数据要素市场化作用于企业数字战略导向的检验结果,结果显示,数据要素市场化能够增强企业数字战略导向,表5第(2)列进一步验证了增强数字战略导向有助于提升企业数字创新水平。表5第(3)列汇报了数据要素市场化作用于数字融资环境的检验结果,结果显示,数据要素市场化能够改善企业数字融资环境,表5第(4)列进一步验证了改善数字融资环境有助于提升企业数字创新水平。表5第(5)列汇报了数据要素市场化作用于数字产业集聚的检验结果,结果显示,数据要素市场化能够加速数字产业集聚。表5第(6)列进一步验证了加速数字产业集聚有助于提升企业数字创新水平。综合以上分析,假说H2成立。
表5 机制检验结果

(二)异质性分析
1.数据交易平台异质性
根据业务模式的差异,数据交易平台可被细分为第三方数据交易平台和混合数据交易平台。其中,第三方数据交易平台作为中介促成双方对接,但不直接介入交易细节;而混合数据交易平台不仅扮演中立角色,还主动以数据供应者或服务提供商的身份参与数据交易过程。对此,本文通过查阅各数据交易平台网站公布的业务信息,将样本期间所设立的数据交易平台分为第三方数据交易平台和混合数据交易平台,分组回归结果如表6第(1)、(2)列所示。结果显示,仅混合数据交易平台的设立显著促进了企业数字创新。可能的原因是,我国当前数据交易市场尚处于初级阶段,企业对于数据的买卖意识普遍薄弱,导致平台上发布的数据可能与市场需求脱节。此外,平台尚未构建出有效机制来激励企业提供具有高市场价值的数据资源。
2.行业知识产权异质性
企业知识产权密集程度的差异将会导致其对数字创新的战略意愿和研发投入有不同程度的偏好。对此,本文按照《知识产权(专利)密集型产业统计分类(2019)》将总样本分为知识产权密集型行业和非知识产权密集型行业,分组回归结果如表6第(3)、(4)列所示。结果显示,数据要素市场化的估计系数仅在知识产权密集型行业中显著为正。可能的原因是,知识产权密集型行业多属于战略性新兴行业和高技术行业,技术创新是这些行业的立身之本,其人力资本、科技研发和技术积累优势能够在数据要素市场化建设下协同耦合,从而表现出正向的数字创新激励效果。同时,2014年国家知识产权局等单位联合颁布的《深入实施国家知识产权战略行动计划(2014—2020年)》,有效减少了由于数据可复制性带来的非正当模仿或侵权行为,从而保障数字技术专利的所有者权益,为企业数字创新保驾护航。
3.企业产权异质性
不同产权归属的企业往往在发展目标和制度安排上具有明显差异。对此,本文根据企业所有制属性将总样本划分为国有企业和民营企业,分组回归结果如表6第(5)、(6)列所示。结果显示,数据要素市场化的估计系数仅在民营企业中显著为正。可能的原因是,国有企业作为中国特色社会主义经济的顶梁柱,在自身发展的同时还兼具多重职能,例如稳就业、保民生等社会性责任,其通过数字创新变革的逐利性动机相较于民营企业更弱,同时国有企业创新活动所面临的融资约束相较于民营企业更低,数据交易平台设立的影响被进一步削弱。而对于民营企业,面临的市场竞争更为激烈,其产品和市场份额被替代的风险更高,企业需要不断通过创新产品来形成技术优势和产品优势,但囿于自身资源可获性等因素,即便有较强的数字创新需求也难以持续推进。因此数据交易平台设立提高了民营企业对数据要素的可获性和对数据资源的利用程度,强化了其开展数字创新的动机与能力。
表6 异质性分析结果

(三)拓展性研究:企业数字创新的同群效应
现有研究发现,同一行业内的企业面临相似的经营环境和资源条件,企业具备模仿性学习的动机,以规避独立决策的风险。因此,同群企业数字创新可能推动焦点企业的数字创新。同时,数据要素市场化所形成的数据资源共享网络又能否增强这种同群效应。为回答上述问题,本文设定如下模型: 
其中,dti_peer为相同年度、相同二位数行业内其他企业数字创新水平的均值,其他变量定义同式(1)。表7第(1)列汇报了企业数字创新同群效应的检验结果,结果显示,同行企业数字创新水平均值的估计系数在1%水平上显著为正,即存在企业数字创新的同群效应。动态竞争理论指出,企业通常会紧密追踪竞争对手的动向,并依据所搜集的信息灵活调整其战略部署,旨在保持其在产品市场中的竞争优势。在技术领先的同行企业采用新型数字技术的情况下,其他关联企业通过近距离观察、模仿学习的范围被极大延伸,其创新效率也有效提高。
表7第(2)列加入了数据要素市场化的调节作用,可见交互项的估计系数在1%水平上显著为正,表明数据要素市场建设能够增强企业数字创新的同群效应。原因在于,数据要素市场建设通过制定数据共享标准和规范,使得技术中蕴含的可编码知识可以通过区块链、隐私计算等安全保障手段实现以数据形式在企业间加速流动,弱化了知识流动所受到的时空分割、流动载体、社会文化和制度环境等壁垒的干扰。
表7 企业数字创新的同群效应

作为数字经济战略和加快建设全国统一大市场的重大举措,数据要素市场建设被认为有利于推动数据要素市场化配置,将创造巨大的经济社会效应。与此同时,企业数字创新是数字经济浪潮下企业培育数字新质生产力的重要基础,数据要素市场建设是否以及如何促进企业数字创新,鲜有研究提供直接的经验证据。本文以2011—2023年中国A股上市公司的面板数据为样本,将各地先后设立的数据交易平台视为一项准自然实验,借助渐进DID方法实证考察了数据要素市场化对企业数字创新的影响。研究结论如下:(1)数据要素市场化能显著提升企业数字创新水平,该结果经过一系列稳健性检后仍然成立;(2)机制检验表明,数字战略引领、数字金融发展以及数字产业集聚是数字要素市场化促进企业数字创新的间接作用路径;(3)异质性分析表明,混合数据交易平台对企业数字创新的驱动效果强于第三方数据交易平台,数据要素市场化对知识产权密集型行业和民营企业数字创新的促进作用更为明显;(4)拓展性分析发现,数据要素市场化有助于增强企业数字创新的同群效应。
基于上述结论,本文得到如下政策启示:第一,完善数据要素市场化的顶层设计,加快数据要素价值释放。各地政府需从数据确权、交易机制、安全监管等角度出发,探索创新型数据立法范式,借助数据交易平台形成全国一体化的数据交易市场体系,并加强对数据交易平台的管理,鼓励数据供给端与需求端沟通交流,提升企业买卖数据的意愿。第二,实施“因企施策”的应用策略,放大数据要素在企业内部的乘数效应。对于知识产权密集程度较低的企业,应予以适当的知识产权保护,防止由于数据可复制性带来的非正当模仿或侵权行为。鼓励国有企业加强对数据要素应用的探索,引导企业加大数字资产投资和数字人才培养,开展数字创新与应用。第三,数据要素市场化和企业间的溢出效应的共同作用可以激发企业数字创新的潜力,政府应当充分捕捉溢出效应带来的红利,从政策和金融方面大力支持具备数字创新能力的企业,推动整个产业链的进步,最大限度地利用政府自身的改革力量以及市场主体的交互影响,充分赋能企业数字创新实践。