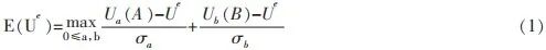
民营经济作为推进中国式现代化进程的生力军,是经济高质量发展的重要基石。2023年以来,《关于促进民营经济发展壮大的意见》《关于强化金融支持举措 助力民营经济发展壮大的通知》等政策文件陆续颁布。2024年10月10日,首部关于民营经济发展的基础性法律——《中华人民共和国民营经济促进法(草案征求意见稿)》公开征求意见。2025年2月17日,中央层面时隔6年3个月再次召开民营企业家座谈会,从2018年提出“民营企业和民营企业家是我们自己人”,到2025提出年“民营企业和民营企业家大显身手正当其时”,会议的召开再次肯定了民营经济的重要性,为民营企业发展注入了一剂“强心针”。回顾2025年政府工作报告,“民营”一词共出现7次,以《民营经济促进法》为纲,“精准滴灌”政策为绳,从立法进程、融资支持,再到深化体制改革,勾勒出民营经济高质量发展的新图景,进一步释放“民营经济强则国强”的信号。当前,我国民营经济的贡献持续凸显,在传统“五六七八九”的基础上,民营企业在新质生产力方面发挥的作用更为突出。根据市场监督管理总局公布的数据,2024年前三季度,我国实有民营经济主体占市场经营主体总量的96.37%,其中“新产业、新业态、新模式、新技术”民营企业占比39.33%,成为新质生产力加速崛起的重要推动力。
但当前民营经济发展面临的复杂性和不确定性显著加剧。从外部看,全球经济增长乏力、地缘政治冲突加剧、单边主义与保护主义抬头,外部环境的动荡与不确定性对我国开放型经济构成多重考验。从内部看,经济正处于转型关键期,传统增长动能与新兴动能培育之间的衔接仍需时间,经济发展的结构性矛盾与“三重压力”(需求收缩、供给冲击、预期转弱)交织叠加,区域发展不平衡等长期挑战亟待破解。根据国家发改委民营经济综合服务平台公布的数据,2024年,民间项目投资(扣除房地产开发)增长6%,较2023年下降3.2个百分点,如图1所示,可见民营经济主体加大投资的意愿仍然较弱;同时,2024年,规模以上私营企业工业增加值累计增长5.3%,低于全国平均水平0.5个百分点,反映民营经济增长面临一定压力,如图2所示。此外,国家发改委民营经济综合服务平台公布的数据显示,2024年末,规模以上私营企业的应收账款平均回收期为66.0天,较国有控股企业更长(从可获得数据来看,5月末,国有控股企业的应收账款回收期为52.3天),显示私营企业被拖欠账款的问题更突出。这与笔者实地调研掌握的情况高度吻合。在实地座谈中,民营企业家普遍反映存在针对民营企业的“政策性歧视”。例如,在重大科技攻关项目、招投标等领域,往往由国央企中标后再转包给民企。这一模式衍生出的突出问题包括:国央企付款周期长导致民营企业垫资压力大,资金周转困难等,进而使民营企业对银行贷款的额度、期限和放款条件产生更高期待。在此背景下,正视民营企业发展中的现实困难,深入探究经济政策不确定性对民营经济主体的影响及其经济后果,对促进民营经济高质量发展具有重要意义。

图1 2024年民间项目投资(扣除房地产开发)累计增长情况
数据来源:WIND。

图2 2024年规模以上私营企业工业增加值情况
数据来源:国家发改委民营经济综合服务平台、国家统计局。
回顾过往文献,民营企业面临的“融资难、融资贵”问题带有鲜明中国特色,是我国信贷市场一直存在的经济现象。具体表现为银行信贷资金更多地向国有企业倾斜,民营企业贷款成本高,且信贷供给主要依赖中小型银行。 民营企业,特别是中小型民营企业面临较高的金融摩擦程度。其中既有民营企业自身管理制度不规范等微观因素的影响,也有市场机制不完善等宏观方面的影响。当前,全球经济形势复杂多变,经济政策不确定性进一步加剧了民营企业的融资困境。事实上,经济政策作为政府调控宏观经济的主要手段,其变化的隐蔽性将直接影响市场主体的经营环境,进而影响企业的投资决策。 目前,已有文献主要聚焦经济政策不确定性对企业经营行为的影响 ,例如,企业的投融资行为 、经营性现金流等,对企业融资视角的关注稍显不足。尤其是从民营企业视角,探讨经济政策不确定性对企业债务融资影响的研究更为稀缺。然而,债务融资作为民营企业最重要的资金来源,其规模与成本均会对企业的生存、发展起决定性影响。因此,探究经济政策不确定性对民营企业债务融资的影响,有助于从微观层面解释经济政策不确定性下,民营企业债务融资成本上升带来的经济后果;从宏观层面,为政策制定者提供针对性政策建议,有效延续党和国家民营经济战略的发展脉络,推动民营经济在稳增长、促创新、增就业、保民生等领域发挥日益重要的作用。
本文的理论分析表明,在经济政策不确定性攀升的宏观背景下,信贷市场中,供需双方之间的信息不对称程度会显著上升。信贷供给方基于风险防范的考虑,通常会实施信贷配给,影响企业的债务融资成本。基于中国经济政策不确定性指数以及A股上市公司数据开展的实证研究证实了经济政策不确定性的上升会对企业债务融资规模产生显著的负向影响,但对债务融资成本的影响则与理论分析存在一定偏差。进一步研究发现,当经济政策不确定性上升时,基于企业所有权异质性的信贷歧视会加剧信贷市场资源配置的不均衡程度,民营企业面临的“融资难、融资贵”问题变得愈发严峻。针对民营企业,按高科技行业进行分组回归的研究结果表明,经济政策不确定性的上升并不会对高科技民营企业的债务融资规模与成本产生显著影响,但会显著提高非高科技民营企业的债务融资成本,同时抑制其债务融资规模扩张。从经济后果的层面看,经济政策不确定性导致的民营企业融资成本上升会带来一系列负面影响。一方面,企业“短债长投”行为更加突出,资金期限错配问题加剧;另一方面,企业破产风险增加,部分抗风险能力较弱的民营企业被迫出局,行业格局发生变动。经济后果的研究表明,相较于一般民营企业,高科技民营企业在经济政策不稳定性加剧、债务融资成本上升的双重压力下,更易陷入破产风险,行业内的“洗牌”进程也更迅速;但高科技民营企业因“短债长投”引发潜在风险的可能性则相对较低。
本文的边际贡献集中体现在理论与实践两个层面:理论层面上,在经济政策不确定性上升的宏观背景下,论证了民营企业“融资难,融资贵”的本质在于经济政策不确定性上升所引发的“挤出效应”,拓展了经济政策不确定性与企业融资理论的研究边界。实践层面上,当前决策层对民营经济发展的战略导向正从简单的鼓励、开放,转变为系统化、法治化的支持。本文的研究结论对后续民营经济相关政策的配套实施有较强的借鉴意义,有助于从制度、政策、舆论上为民营企业营造良好环境,推动民营经济持续健康、高质量发展。
(一)经济政策不确定性
本质上,经济政策是政府运用“有形的手”对市场主体运行环境进行调节的重要工具。政府通过制定和实施经济政策来改变企业运行的外部环境。在政策动态优化过程中,受制度惯性影响,政府需要重新审视制度环境与交易成本的内在联系。通常情况下,只有在政策调整面临较低政治成本,且能显著改善企业盈利预期时,政府才会对现行经济政策作出实质性改变。然而,政治成本通常难以预测。正是这种不可预测性成为经济政策不确定性产生的根本原因 。新凯恩斯主义经济学着重强调政策干预对经济波动的影响,其核心逻辑在于经济政策不确定性会通过改变市场预期,形成“不确定性陷阱”。根据Gulen和Ion 的观点,经济政策不确定性是指市场中的经济主体无法准确预判政策是否会调整、何时调整以及将以何种方式进行调整。事实上,相较于经济政策调整(一阶矩),经济政策不确定性(二阶矩)对企业决策的影响更为隐匿,但其影响程度却不容小觑,甚至会直接导致经济陷入衰退期。 换言之,经济政策不确定性不仅会直接影响市场主体的经营决策,还可能加剧市场波动,对整体经济产生深远影响。
准确度量企业面临的经济政策不确定性,关键在于选取恰当的指标。已有文献主要采用股票收益率波动、全要素生产率波动以及营收波动等指标,对经济政策不确定性进行间接衡量,刻画经济政策不确定性可能引发的经济后果。 此外,部分学者突破单一指标局限,从政策工具角度,如许志伟和王文甫 通过量化特定政策,诸如财政政策、货币政策等,对经济政策的不确定性进行测度。目前,学界普遍通过构建经济政策不确定性指数的方式开展量化研究。其中, Baker et al. 编制的指数应用最广泛。该指数基于自然语言处理技术,系统筛选《南华早报》中同时包含“不确定性”“中国”“经济政策”三类关键词的文本,并做标准化处理后得到。Baker等人随后通过人工文本校验,对自动搜索结果进行检验,发现该指数预测误差与GDP增速等核心经济指标不存在显著关联。这一特性既规避了内生性干扰,又通过交叉验证机制,有效保障了该指数在刻画我国经济政策动态演进过程中的科学性与稳健性。
(二)经济政策不确定性与企业债务融资成本
在我国以银行为主导的信贷体系中,银行作为微观市场主体的主要资金供给方,是连接实体经济的关键桥梁。在风险收益方面,银行与其他债权人行为表现出高度的一致性。 现有文献论证了经济政策不确定性作为市场风险的重要组成部分,是影响银行信贷系统定价的核心因素。当经济政策不确定性上升时,银行出于“自我保险”的动机,会产生一系列行为,包括:(1)抑制信贷供给,并且资本充足率越低的银行,这种抑制效果越显著 ;(2)信贷行为趋同,银行在决策时会表现出相似的倾向,这也是应对经济政策不确定性的一种策略 ;(3)提高贷款成本,以缓解经济政策不确定性上升所引发的各类违约风险 。这背后的主要原因在于,经济政策不确定性的上升会使市场环境变得更为复杂多变。信贷供给方(银行)与信贷需求方(企业)之间的信息不对称程度会进一步加剧,进而产生更高的外部融资溢价。在这种情况下,市场利率难以完全发挥资源配置作用,银行作为信贷供给方会采用非价格手段配给资金,实施信贷配给。
从信贷供给方(银行)的角度,经济政策不确定性的上升会增加银行信贷审批难度,直接导致银行运营成本增加、信贷供给减少。 具体而言,当经济政策不确定性上升时,银行会调整定价策略,通过提高贷款成本、增加抵押品等方式,对潜在客户进行更为严苛的筛选。 也就是说,经济政策不确定性的上升会使银行等金融机构预期收益的不确定性增加,导致银行更加惜贷,在市场基础利率之上额外要求更高的风险溢价,以此来抵御企业违约风险上升可能带来的损失。
从信贷需求方(企业)的角度,经济政策不确定性的上升会加剧企业经营所面临的不确定性。基于实物期权理论,企业的投资机会可以被视为其所持有的一项期权。当济政策不确定性的上升会增加企业的边际投资成本,抑制企业当期投资意愿。此外,在外部环境层面,经济政策不确定性的上升会直接引发抵押物价值下降,企业可能因此面临银行抽贷、断贷所导致的一系列风险。这些风险会直接导致银行信贷在企业总资产中的占比下滑,企业不得不承受更高的融资成本。
总结而言,经济政策不确定性可能通过供需两端影响民营企业的债务融资。一方面,经济政策不确定性的上升会显著增加企业的经营风险。金融机构为了应对风险,会提高审批标准和利率要求。另一方面,经济政策不确定性可能抑制企业的投资意愿,从而降低企业的债务融资需求。在制度变迁与权力博弈所形成的二元化信贷结构特征下,一旦经济政策不确定性上升,中小企业面临的流动性危机和融资约束问题会进一步加剧。 不过,与信贷供给方相比,企业拥有内部信息的比较优势,能够更加全面地了解自身在不同情势下的经营情况、人员变动、战略决策等信息。
(三)经济政策不确定性与科技型民营企业
当下,民营经济已然成为新质生产力崛起过程中的重要参与者。从市场主体结构看,民营企业在“新技术、新产业、新业态、新模式”领域的参与度显著提升。在2025年2月17日召开的民营企业家座谈会上,来自关键创新领域的企业家占比居首。其中不乏科技含量高、成长潜能大的中小型民营企业。由此可见,当前民营企业已成为驱动科技创新、产业升级的关键力量。现有文献也印证了民营企业在创新发展中的重要作用。例如,王璐和贺嘉航 的研究中指出,民营经济以其灵活的创新机制,不仅为新质生产力培育提供了肥沃土壤,也在产业升级过程中实现了自身的高质量发展,形成“创新驱动—产业升级—企业成长”的良性循环。在此背景之下,探究经济政策不确定性对高科技企业债务融资规模与成本的影响具有重要实践意义。
目前,学界主要围绕经济政策不确定性对民营企业科技创新的影响展开研究。现有文献多以民营企业是否属于科技型分类进行分组探讨,但在作用机制和影响方向上仍然存在分歧。许鸿和温兴琦 基于2010—2021年沪深A股上市公司的数据论证了经济政策不确定性对企业创新效率的正向激励作用,尤其强调企业的产权属性会强化这一效应。该研究指出,民营经济的市场化决策机制与灵活的风险防控机制,使其更易在政策波动中捕捉创新机遇。与之相反,麻东锋和孙国强 基于沪深A股上市公司面板数据的研究发现经济政策不确定性对企业创新存在显著抑制效应,并且这种负向冲击在民营企业和高科技企业分组中表现得更为突出。该研究的机制分析表明,经济政策不确定性主要通过企业的融资约束影响企业创新活动。当政策环境波动加剧时,民营企业因面临更严峻的信贷配给和直接融资壁垒,被迫缩减创新投入,形成“风险规避型”投资决策路径。以上结论表明,经济政策不确定性对企业创新是把“双刃剑”——既可能通过竞争压力激发突破性创新,也可能因融资市场摩擦而加剧创新抑制。上述分歧凸显了深入探究经济政策不确定性对高科民营企业影响的紧迫性。
为进一步厘清经济政策不确定性(EPU)与企业债务融资规模、融资成本之间的关系,借鉴Bekaert等 ,基于信贷供需双方的信息不对称理论,构建分析模型。
(一)模型设定
假定市场上存在信贷供给方B(以银行为代表),以及信贷需求方C(企业)两类市场主体。企业C需向银行B申请贷款用于A、B两类投资项目。其中,A项目的客观风险为
,B项目的客观风险
,且有
。银行最终的授信总额为
,市场的均衡授信为
,此时,
。
当经济政策不确定性上升时,信贷供给方B与信贷需求方C之间的信息不对称程度加剧,信贷配给出现,即
。此时,若企业C需要申请信贷资金用于A、B两个项目,则需要确定每个项目的最优贷款申请金额a、b。假设项目A、B的相对客观风险为
。
从企业C视角,项目A相对于项目B的风险为η,无风险项目投资的期望效用为
,申请金额a投资项目A给的期望效用是
,超额效用为
;类似地,投资项目B的超额效用为
。
客观上,企业投资项目B实际上面临更高的项目风险,因此,项目B的边际效用大于项目A,即有
。
企业追求期望效用
最大化,则有:


求解可得:

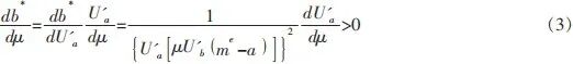
其中,b*为项目B的最优贷款申请金额,项目A的最优贷款申请金额为
。
据此,可得推论:当经济政策不确定性上升时,银行实施信贷配给会:(1)减少企业债务融资规模;(2)导致企业的信贷结构发生变化,影响债务融资成本。
(二)研究假说
基于以上分析,从银企间信息不对称的视角看,随着我国经济政策不确定性上升,信贷供给方(银行)与需求方(企业)之间的信息不对称程度会进一步加剧,二者之间的相对关系以及溢价能力也会随之改变。
基于以上分析,作出如下假设:
假设1:当经济政策不确定性上升时,企业的债务融资规模会下降
假设2:当经济政策不确定性上升时,企业的债务融资成本会上升
在后续研究中,拟基于企业技术属性(高科技民营企业vs非高科技民营企业)进行分组检验,探究经济政策不确定性影响的异质性。由于高科技企业普遍具有研发投入高、固定资产在企业资产结构中占比较低、盈利周期长等特征,银企间信息不对称程度更高。因此,可以预期,经济政策不确定性会显著抑制高科技民营企业的债务融资规模并抬升融资成本。此外,本文将进一步考察经济政策不确定性导致的债务融资变化可能带来的经济后果,构建“政策不确定性→企业融资行为→经济后果”的完整逻辑链。
(一)数据来源
以2007年至2023年沪深A股上市公司的年度数据为研究样本,探究经济政策不确定性作为市场风险的一部分将如何影响企业的债务融资规模以及债务融资成本。基准回归与进一步研究中,企业层面的财务数据均来自国泰安数据库(CSMAR);宏观层面的经济数据均来自国家统计局、中国人民银行、Wind数据库。借鉴Baker等的研究方法,构建中国经济政策不确定性指数(EPU)与美国经济政策不确定性指数(EPU_US)。此外,样本筛选方式如下:(1)剔除ST及金融行业样本;(2)剔除主要变量缺失的样本;(3)为排除极端值对实证结果的影响,对连续变量进行双侧1%的缩尾处理。
(二)基准回归模型
本文构建如下基准回归模型,探究经济政策不确定性对企业债务融资规模、债务融资成本的影响。

其中,下标i代表样本公司,下标t代表年份;
代表样本公司的个体固定效应,表征不随时间变化的个体异质性,
为随机干扰项。Debtscale、Cost分别表征样本公司的债务融资规模、债务融资成本。EPU表征中国经济政策不确定性,EPU为时间序列数据,控制时间固定效应会产生多重共线性,导致EPU对因变量的作用被吸收。因此,基准回归模型并未控制年份固定效应,而是通过加入GDP增速、M2增速等宏观层面控制变量来控制时变因素的影响,尽可能减少遗漏重要不可观测因素带来的影响。稳健性检验中,对没有控制时间固定效应可能造成的内生性问题进行了探讨。
(三)变量定义
1.被解释变量:债务融资规模(Debtscale)
借鉴何德旭等 的研究,采用长短期负债之和占期初总资产的比重度量样本公司的债务融资规模(Debtscale)。其中,长短期负债之和不仅包括银行信贷,也涵盖了其他公开债务融资情况,能尽可能详尽且全面地表征样本公司的债务融资规模。
2.被解释变量:债务融资成本(Cost)
借鉴周楷唐等 ,采用企业利息支出占当年长短期负债平均值的比重测度样本公司的债务融资成本。
3.核心解释变量:中国经济政策不确定性(EPU)
借鉴Baker等构建的经济政策不确定性指数(Economic Policy Uncertainty Index)测度中国经济政策不确定性。具体来说,Baker等通过对中国香港最具影响力的《南华早报》进行文本分析,识别其所刊发的文章中与中国经济政策不确定性相关的文章,构建月度指标并对外发布。由于样本采用年度数据,因此取当年该月度指标的算术平均数并除以100,作为测度中国经济政策不确定性的年度指标。
4.调节变量:是否属于高科技行业(hitech)
参照《战略性新兴产业分类目录》《战略性新兴产业分类(2012)(试行)》以及经济合作与发展组织(OECD)的相关文件,并对照《上市公司行业分类指引(2012年修订)》进行分类,最终确定了涵盖三个门类的高科技上市公司行业代码,具体为制造业(C)、信息传输、软件和信息技术服务业(I)、科学研究和技术服务业(M)。在这三个门类下,进一步明确了19个大类,包括制造业中的C25、C26、C27、C28、C29、C31、C32、C34、C35、C36、C37、C38、C39、C40、C41,信息传输、软件和信息技术服务业中的I63、I64、I65,以及科学研究和技术服务业中的M73。
5.其他控制变量
本文控制变量分企业层面、宏观经济层面两个维度。企业层面的控制变量包括:企业规模、成长性、资产可逆程度、经营性现金流、资产回报率、非债务税盾、托宾Q、前十大股东占比;宏观经济层面的控制变量包括GDP增长率、M2增长率以及物价变动。具体测度方式参考表1。
表1 变量定义及计算方式

(四)主要变量描述性统计结果
表2为主要变量的描述性统计结果。样本期间,企业债务融资规模(Debtscale)的均值为0.501、中位数为0.479,说明A股上市公司的有息债务规模在总资产中的占比接近一半;企业债务融资成本(Cost)的均值为0.060,说明利息支出在长短期总负债的占比约为6.0%,与主流文献基本相符。此外,中国经济政策不确定性指标(EPU)的均值为4.365。总体来看,主要变量的描述性统计结果均处于合理区间。
表2 主要变量描述性统计

(一)经济政策不确定性与企业债务融资
表3为基准模型(4)的回归结果。列(1)中,中国经济政策不确定性指数(EPU)前的系数在1%的水平下显著为负;列(2)中,EPU前的系数则不显著。这说明经济政策不确定性的上升会对企业的债务融资规模产生显著的抑制作用,但对企业债务融资成本的影响则不显著。由此可见,假设1成立,假设2不成立。经济意义方面,中国经济政策不确定性(EPU)每增加一个标准差(2.522),上市公司的债务融资规模平均下降2.52%(2.522*0.010)。该结果背后蕴含的经济逻辑是:需求层面上,当经济政策不确定性上升时,企业的经营管理者由于难以精准预判未来的政策走向和经济形势,往往倾向于采用更为保守的财务策略,主动减少债务融资规模,以此来降低潜在的财务风险。从金融机构的视角看,经济政策不确定性的增加会使以银行为典型代表的金融机构风险偏好显著下降。在授信环节,采取更加审慎的策略,具体表现为提高贷款发放门槛,并严格实施信贷配给,进一步压缩企业债务融资空间。长期来看,企业债务融资规模的持续缩减可能会制约企业的长期竞争力,进而影响企业在技术创新等方面的投入以及规模化扩张的进程。需要说明的是,列(2)中R方偏低,提示经济政策不确定性与企业的债务融资成本可能存在非线性相关(例如阈值效应)。实践中,民营企业的债务融资成本可能在经济政策不确定性超过某一阈值后显著上升。
表3 经济政策不确定性与企业债务融资

注:括号内为t统计量,*、**、***分别表示在1%、5%、10%水平上显著。
(二)内生性问题
鉴于经济政策不确定性指数(EPU)属于时间序列数据,因此,前述基准模型(4)并未控制时间固定效应。为最大限度地减轻遗漏变量对回归结果的影响,本文在控制变量中加入了包括GDP增长率、M2增长率以及物价变动等宏观经济层面的控制变量,但仍可能存在不可观测的遗漏变量引发的内生性问题。据此,本文进一步考虑行业、地区的时变特征,以及经济周期性波动带来的不确定性。同时,采用美国经济政策不确定性指数(EPU_US)作为工具变量,对基准回归模型展开两阶段回归,进一步缓解内生性问题。
1.遗漏变量
经济周期性波动的影响:根据纪洋等 的研究,经济政策的波动主要来自宏观经济政策的逆周期调节。在此基础上,本文参考刘贯春等 的研究方法,采用该年4个季度GDP实际增速的标准差(GDP_SD)来测度经济周期性波动所带来的影响,并将其纳入基准回归模型检验,结果如表4列(1)、列(2)所示。与基准回归结果一致,列(1)中,EPU前的系数显著为负,列(2)中EPU前的系数不显著。这一结果验证了先前结论的可靠性。
行业、地区的时变特征影响:除宏观经济周期性波动可能带产生的影响外,不同行业、地区所呈现出的经济周期性波动特征,同样可能导致回归结果存在偏误。因此,本文在控制个体固定效应的基础上,进一步控制行业固定效应、地级市固定效应,力求最大程度地剥离企业所处行业以及地区的周期性波动因素,结果如表4列(3)、列(4)所示,回归结果保持稳健。
表4 稳健性检验:遗漏变量

注:括号内为t统计量,*、**、***分别表示在1%、5%、10%水平上显著。
2.反向因果
为进一步缓解基准模型中可能存在的反向因果问题,本文采用美国经济政策不确定性指数(EPUus)作为工具变量进行稳健性检验。由于美国经济政策的不确定性会引发全球性的溢出效应,因此采用滞后一期的美国经济政策不确定性(L.EPUus)作为外生工具变量进行两阶段回归。 表5为反向因果检验的回归结果。可以看出,列(2)中,EPU前的系数显著为负,与基准模型的回归结果一致,再次验证了经济政策不确定性上升会显著抑制企业债务融资规模扩张,有力地支撑了核心研究结论的稳健性。
表5 稳健性检验:反向因果

注:括号内为t统计量,*、**、***分别表示在1%、5%、10%水平上显著。
(一)经济政策不确定性上升时,民营企业债务规模、债务成本如何变化?
根据基准回归结果,经济政策不确定性(EPU)上升显著抑制了企业债务融资规模扩张,但却并未对企业债务融资成本产生显著影响。这似乎与理论分析的结果不一致。这背后可能的原因在于企业的所有权异质性。在借贷关系上,由于存在商业信用断层,基于所有权异质性的信贷歧视广泛存在,且民营企业通过债券融资等其他途径获取资金的难度较大。根据人民银行研究局课题组 的研究,融资渠道单一是制约中小企业发展的主要因素。在我国以银行为主导的信贷体系中,一方面,民营企业因自身信用评级相对较低、抵押品匮乏等固有问题,较国有企业面临更高的融资成本。另一方面,从信息不对称的视角看,我国金融市场以国有银行为主,当市场风险因经济政策不确定性加剧而显著攀升时,国有银行与国有企业之间紧密的政治联系使其获取企业内部信息的渠道更丰富,信息不对称程度更低,信贷资源进一步向国有企业倾斜。宋全云 的研究就指出,随着经济政策不确定性升高,银行基于审慎动机倾向于选择风险评级更低的贷款,从而使受经济政策波动影响较大的民营企业债务融资成本显著增加。
事实上,民营企业“融资难、融资贵”的问题由来已久 。当前,经济政策不确定性上升的大环境对民营企业而言无疑是雪上加霜。经济政策不确定性的上升会显著提高民营企业的风险承担水平。正如刘志远等 的研究表明,民营企业基于风险承担的代理问题极大地限制了其在经济政策不确定性背景下的潜在机遇。这也从侧面反映出民营企业在金融市场面临的不利地位。
根据以上分析,本文建立如下模型进一步探讨当经济政策不确定性上升时,民营企业的债务规模以及成本会如何变化:

其中,soe是表征企业所有权性质的虚拟变量,当企业属性为国有时,该值为1,否则为0。
回归结果如下表6所示。表6列(1)中,EPU与soe交乘项前的系数为负,且在1%的水平上显著。这表明当经济政策不确定性上升时,国有企业的债务融资规模显著低于民营企业,反映了国有企业稳健经营的特征。当市场的经济政策不确定性处于较高水平时,国有企业收缩债务规模的意愿更加强烈。此外,列(2)中,EPU与soe交乘项前的系数为-0.001,且在1%的水平上显著。这表明在经济政策不确定性加剧的宏观背景下,国有企业的债务融资成本较民营企业出现显著下降。也就是说,当经济政策不确定性加剧时,国有企业更易获得银行信贷资金的“青睐”,以更低的成本度过危机。上述结论揭示了,一旦经济政策的不确定性加剧,基于企业所有权异质性的信贷歧视会进一步加剧信贷市场资源配置的不均衡,民营企业所面临的“融资难、融资贵”处境在经济政策不确定性加剧时显得尤为严峻。
表6 进一步研究:所有权性质

注:括号内为t统计量,*、**、***分别表示在1%、5%、10%水平上显著。
(二)异质性检验:高科技民营企业的表现
本文借鉴彭红星和毛新述(2017)的研究方法,针对样本民营企业是否属于高科技行业展开分组回归 ,结果如下表7所示。
根据表7列(1)、列(3)所示结果可以看出,在高科技民营企业分组中,EPU前的系数均不显著。这表明经济政策不确定性的上升并不会对高科技民企的债务融资规模与债务融资成本产生显著影响。尽管高科技企业普遍存在轻资产运营特征,且银企之间的信息不对称程度较高,但政策波动并未显著加剧其债务融资约束。
反观非高科技民营企业分组,列(2)、列(4)中,EPU前的系数分别在1%的水平下显著为负、5%的水平下显著为正。由此可见,与预期不同的是,经济政策不确定性的上升对非高科技行业的民营企业影响更显著。经济政策不确定性的上升不仅会推高非高科技企业的债务融资成本,还会抑制其债务融资规模的扩张。这表明经济政策不确定性对非高科技民营企业的债务融资行为具有双向抑制效应:既通过信贷配给机制收缩债务融资规模,又通过风险溢价机制推高债务融资成本。
这一发现揭示了企业内生增长力在应对经济政策不确定性中的关键作用:高科技民营企业凭借技术创新形成核心竞争力,构建了相对稳健的融资生态,使其在政策波动中展现出较强的抗冲击能力;而非高科技民营企业因依赖传统融资模式且缺乏技术溢价能力,更易受到政策环境变化的负向冲击。
表7 进一步研究:异质性检验

注:括号内为t统计量,*、**、***分别表示在1%、5%、10%水平上显著。
(三)经济政策不确定的背景下,民企债务融资成本上升会带来什么样的经济后果?
上文论证了经济政策不确定性上升会进一步加剧所有权异质性带来的融资成本差异。在全球经济政治格局深刻变革的当下,经济政策不确定性的显著上升会给民营企业融资带来诸多挑战。Brandt和Li 通过对浙江、江苏两省的调查研究发现,相较国有企业,民营企业更难从国有大行获得融资且需遵循更高的信用标准,更加依赖商业信用进行融资。这背后反映出民营企业长期面临严峻的“统计偏见”。具体而言,民营企业由于经营年限较短、抵押品较少以及规模较小等自身原因,加之信贷市场的增信制度不完善,发生信用风险甚至出现逃废债的概率也较大。这种偏见在经济政策不确定性上升时被进一步放大,大大增加了民营企业面临的偿付风险。因此,这一部分将重点探讨经济不确定性上升导致的信贷资源不均衡配置将会带来怎样的经济后果。毕竟,民营企业作为经济高质量发展的生力军,其发展状况关乎整个经济格局的走向与活力。
在经济政策不确定性加剧的宏观背景下,信贷资源配置失衡会给民营企业带来一系列严峻挑战。首先,民营企业本就因规模、信用评级等因素在融资竞争中处于劣势,经济政策不确定性的上升会使民营企业极易陷入抽贷、现金流断裂等困境,增加民营企业的破产风险。其次,随着经济政策不确定性上升,民营企业债务融资成本的上升会导致优质信贷资源向行业头部企业集中,对中小企业产生挤出效应。长期来看,这种信贷资源的不均衡分配还会加速行业垄断的形成。此外,李增福等 的研究论证了在经济政策不确定性上升的大背景下,企业倾向于通过不断滚动短期债务来支持长期投资。面对经济政策不确定性上升的复杂形势,部分学者们开始关注国有资本参股民营企业这一现象,即所谓的“逆向混改”。宋增基等 的研究发现,国有资本参股民营企业可以对外传递积极信号,有助于降低民营企业的融资成本。
据此,本文构建如下模型,对经济政策不确定性导致的民营企业债务融资成本上升带来的经济后果进行检验:

其中,Z_score是参考Altman 计算所得,用来表征企业的破产风险,该值越小,企业破产概率则越大;lnN是参考杨兴全和尹兴强 、张传财 的研究,采用行业内公司数量的自然对数表示行业集中度,该值越大,则行业集中度越低;SDLA是参考李增福 的计算方式,采用企业短期负债比例与短期资产比例的差值来度量企业短债长投的程度,该值越大,则企业短债长投的程度越高;soere是参考于瑶 的研究,采用为前十大股东中所有国有股东持股比例之和与前十大股东中非国有股东持股比例之和的比值来表征民营企业的逆向混改程度。
表8 进一步研究:民企债务融资成本上升的经济后果

注:括号内为t统计量,* 、**、*** 分别表示在1%、5%、10%水平上显著。
表8为经济政策不确定性导致的民营企业债务融资成本上升所带来的经济后果。与预期一致,列(1)中,经济政策不确定性(EPU)与企业债务融资成本(Cost)交乘项前的系数显著为负。这意味着当民营企业债务融资成本上升时,经济政策不确定性所引发的企业破产风险会进一步加剧。也就是说,债务融资成本的增加使民营企业在面对不稳定经济政策时,财务状况更加脆弱,破产可能性大幅提高。列(3)中,交乘项前的系数在5%的水平下显著为正,说明民营企业债务融资成本上升会加剧经济政策不确定性下,民营企业投融资期限结构错配。但与预期不符的是,列(2)中,EPU与cost前的系数显著为正,表明民营企业债务融资成本上升会引发经济政策不确定性对民营企业所处行业的加速“洗牌”,降低行业垄断程度。这背后可能的原因是,高债务融资成本有利于市场出清,能够为具备创新能力与资本市场竞争力的企业腾出市场空间。这一过程也会倒逼民营企业进行产业技术革新,提高综合竞争力。此外,列(4)中,民营企业债务融资成本上升对经济政策不确定性下,民营企业“逆向混改”的影响则不显著。
表9为高科技民营企业分组的回归结果,该结果与表8的回归结果基本一致。表9列(1)、列(2)中,交乘项前的系数分别在5%、1%的水平下显著,且其系数绝对值均大于表8中的对应值。也就是说,在高科技民营企业分组中,经济政策不确定性带来的债务融资成本变动会使企业面临更严峻的经济后果,同时所处行业的“洗牌”程度也更剧烈。但表9列(3)中,交乘项前的系数无论显著性水平还是系数的绝对值均弱于表8中的对应值。这表明经济政策不确定性带来的债务融资变动导致高科技民营企业“短债长投”所引发的潜在风险较低。这也就意味着,相较于一般民营企业,高科技民营企业在经济政策不稳定、债务融资成本上升的双重压力下,更易陷入破产危机,行业内的竞争格局变化也更迅速,企业间的优胜劣汰更明显。但在以上背景下,其投融资期限结构错配的程度相对一般民营企业要轻。这或许与高科技民营企业自身的行业特点、创新能力以及资金运作模式等因素相关,高科技民营企业在投融资策略上能够更好地平衡短期债务与长期投资之间的关系。
表9 进一步研究:高科技民企债务融资成本上升的经济后果

注:括号内为t统计量,*、**、***分别表示在1%、5%、10%水平上显著。
在经济政策不确定性持续攀升的宏观背景下,本文论证了民营企业长期面临的“融资难、融资贵”问题的本质。理论分析表明,经济政策不确定性的上升会加剧信贷供给方(银行)与信贷需求方(企业)之间的信息不对称程度。处于信息劣势的信贷供给方,出于风险管理的考量,往往会实施信贷配给。这不仅会削减企业的债务融资规模,还会对企业的债务融资成本产生影响。基于A股上市公司数据的实证研究表明,经济政策不确定性的上升确实会显著降低企业的债务融资规模,但其对企业债务融资成本的影响却与理论分析结果存在一定差异。进一步研究发现,当经济政策不确定性上升时,民营企业所面临的“融资难、融资贵”困境愈发严峻。企业债务融资成本的上升不仅会增加企业破产可能,还会引发潜在的“短债长投”风险,同时加速行业“洗牌”进程。异质性研究结果显示,经济政策不确定性的上升会显著抬高非高科技民营企业的债务融资成本,同时抑制债务融资规模扩张。与之形成对比的是,经济政策不确定性的上升并未对高科技民营企业的债务融资规模与成本产生显著影响。相较于一般民营企业,高科技民营企业在经济政策不稳定、债务融资成本上升的双重压力下,更易陷入破产危机,行业内的“洗牌”进程也更迅速;但其因“短债长投”所引发的潜在风险则相对较低。
本文的实证研究论证了经济政策不确定性会显著影响民营企业债务融资。具体表现为:非高科技民营企业面临债务规模压缩与成本抬升双重压力;高科技民营企业则面临“洗牌”机遇。据此,建议通过政企协同,企业以技术创新和管理模式优化提升抗风险能力,政策以制度供给稳定预期,最终形成政府与市场合力推动民营经济韧性生长的良好生态。本文分别从企业自身层面以及政策层面提出相关建议。企业层面,首先,要正确认识经济政策不确定性上升带来的经济后果。一方面,经济政策不确定性的上升会加剧企业投融资期限错配问题,加剧破产风险;但另一方面,经济政策不确定性的上升也有利于加速行业“洗牌”。其次,在经济政策不确定性加剧的背景下,民营企业亟须从被动承压转向主动破局,灵活调整市场策略,正视并解决制约自身发展的关键因素,善用专项扶持资金等政策对冲风险。值得强调的是,高科技民营企业更应当依托技术优势加速在行业“洗牌”过程中的卡位布局,通过优化债务结构降低期限错配风险。政策层面,建议政府以“政策确定性”对冲外部不确定性,充分考虑市场主体的适应能力和市场反应,强化司法保护,稳定市场主体预期,破除市场准入隐性壁垒,为民营企业营造公平的竞争环境。尤其是,要加大对高科技民营企业的研发激励。例如,可以通过设立专项信贷支持计划等,在风险收益不对称的环境下,帮助民营企业获得稳定融资。同时,建议出台相关政策引导民营企业优化债务结构,加强对民营企业债务结构的监测、预警等。