2024年1月31日,习近平总书记在中共中央政治局第十一次集体学习时,对新质生产力的定义、内涵等作出了明确且深刻的系统性阐述。新质生产力由技术革命性突破、生产要素创新性配置、产业深度转型升级而催生,是基于生产力构成要素质的提升而呈现的一种更为先进的生产力质态,具有高科技、高效能、高质量的特征。新质生产力的提出,体现了我国以新兴技术驱动生产力快速提升,以产业转型推动生产力高质量发展,以要素创新带动生产力优化升级,从而实现经济社会高质量发展的信心和决心。
数字经济是发展新质生产力的重要土壤,是新一轮科技革命和产业变革的方向,是培育发展新动能、获取未来竞争新优势的关键领域。数据要素作为数字经济时代的重要趋势,旨在促进数据的自由流动和共享,从而推动社会、经济和科技的创新发展。特别是数据要素作为新型生产要素,是数字化、网络化、智能化的基础,已快速融入生产、分配、流通、消费和社会服务管理等各个环节,深刻改变着生产方式、生活方式和社会治理方式,并通过与技术、资本、土地、劳动力等其他生产要素融合,有利于促进新质生产力的形成与发展。
数字经济诞生于新一轮技术革命浪潮之中,以网络信息技术产业为核心代表,以数字产业为关键支撑,以数据为新型生产要素,并以数字产业化和产业数字化为演进主线,逐步发展成为新时代具有战略意义的新兴产业。在数字化进程的推动下,数字经济正在深刻重塑产业结构,驱动产业实现跨越式升级。作为继农业经济、工业经济之后人类经济社会又一次重大转型,它已成为当前最具活力和影响力的经济社会发展新模式。学术界对于新质生产力的区分基于以下两个角度:其一,新质生产力由“新”与“质”两个维度构成。“新”指新技术、新业态和新模式的超越性,“质”则强调从量变到质变的跃升,实现高素质和高质量发展。三分法则通过加入“力”这个维度,凸显其动力属性。其二,新质生产力是以科技创新为主导,以新兴产业和未来产业为基础,推动生产要素的全面创新,其目标是实现高效率、高质量的可持续发展。数字经济以其创新活跃、增长迅猛和辐射广泛等特征,成为推动经济高质量发展的重要力量。而新质生产力的培育尤其强调创新驱动与跨界融合,数字技术通过持续创新与深入应用,为生产力体系注入新动能,驱动其实现跃升与重构。因此,数字经济不仅是新质生产力发展的关键支撑,也是其实现的重要路径。
发展新质生产力高度契合当今数字经济快速发展的时代背景,而数字经济的蓬勃兴起,正是把握新一轮科技革命与产业变革机遇的战略抉择。在此时代背景下,数字经济与新质生产力之间的关系,已成为学术界广泛关注和深入探讨的重要议题。通过梳理相关文献发现:现有文献主要从宏观与微观两个维度展开探讨。从宏观视角层面,数字化转型通过重构生产逻辑、调整价值分配以及变革社会运行方式,为新质生产力的发展提供了基础支撑。从微观视角层面,现有研究多聚焦于技术赋能与产业升级两方面。一方面,数据作为关键生产要素,凭借其可共享、高流动和可重复利用等特性,促进了知识扩散与创新效率提升;数字技术则推动了劳动资料的持续革新,显著扩展了劳动对象的形态与边界。数据与技术的协同演进,在算力与算法的驱动下,加速了新质生产力的孕育与成熟。另一方面,从产业演进视角看,相关实证研究表明,新质生产力的形成路径呈现出从高技术集群发展向数字金融赋能转变的趋势,体现出产业结构优化在其发展中的核心作用。同时,数字平台企业借助其生态化架构与多平台协同机制,成为推动新质生产力形成的创新枢纽。以上研究进一步表明,企业尤其是战略性新兴产业主体,在推进数字产业化与产业数字化过程中,构成了新质生产力发展的实体基础。
目前新质生产力的研究主要集中于概念内涵、战略意义、实现路径等理论阐述,周文和许凌云从内涵特征、未来着力点的视角对新质生产力进行了回顾和展望,并探讨了新质生产力与高质量发展之间的关系;徐政等从我国发展新质生产力的优势与瓶颈、发展路径角度切入,而蒲清平和黄媛媛、李政和廖晓东等从马克思主义政治经济学的角度,对新质生产力的生成逻辑和时代价值等方面进行了论述。然而,目前相关研究仅停留在新质生产力理论和测定层面,特别是数字经济的各组成部分是推动新质生产力发展的重要基础,缺乏新质生产力如何发展的路径机制的探究,尚未厘清新质生产力机制“黑箱”。事实上,新质生产力存在明显的空间溢出效应。新质生产力强调科技创新在其中的主导作用,这种创新不仅限于单一产业或地区,而是具有广泛的溢出效应。当一个地区或企业在新质生产力领域取得突破时,其技术创新成果会通过各种渠道(如人员流动、技术转移、合作研发等)向周边地区或产业扩散,进而带动整个经济体系的创新发展。因此,数字经济是否有利于提升新质生产力?在促进新质生产力提升过程中是否存在空间溢出效应?本文创新性地以国家级大数据综合试验区为准实验,构建数字经济驱动新质生产力发展的研究框架和测度新质生产力的发展水平,并对2010年至2020年全国283个地级市的新质生产力发展路径进行实证检验,探索数字经济对城市新质生产力的影响,并从空间溢出效应层面进行实证剖析。
本文的边际贡献在于:第一,基于空间溢出视角实证检验了数字经济对新质生产力的影响效应。值得一提的是,论文对新质生产力的空间溢出效应进行了详细分析,并采用空间DID模型进行了因果探究,丰富了新质生产力领域的研究,具有一定的前瞻性。第二,从经济集聚效应视角,解析数字化政策通过经济集聚,进而推动城市新质生产力提升的传导路径,加深对新质生产力问题的理解。第三,从区域差异、城市等级等方面,考察大数据试验区对新质生产力的异质性效应,为理解大数据试验区政策效果和助力城市新质生产力发展具有重要的政策价值。
(一)政策背景
为加快中国大数据创新发展与广泛应用,推动各地区数字化转型,促进就业增长和民生改善,国务院于2015年颁布了《国务院关于印发促进大数据发展行动纲要的通知》,其明确指出,大数据发展形势紧迫,数据已成为国家基础性战略资源。为贯彻落实该《纲要》,贵州省于2015年9月率先启动全国首个大数据综合试验区的建设工作,并于2016年2月正式获批。2016年10月,京津冀、珠三角、上海市、河南省、重庆市、沈阳市、内蒙古自治区等第二批大数据试验区同时批复设立。至此,中国逐步搭建起大数据发展的立体框架,基本形成了区域协调和东西兼顾的数据创新应用发展新格局。
设立国家级大数据综合试验区,是落实国务院促进大数据发展战略的重要措施。这些试验区在大数据制度创新、公共数据开放共享、大数据创新应用、产业集聚、数据要素流通、数据中心整合利用以及大数据国际交流合作等方面开展积极探索,旨在推动数字产业化与产业数字化深度融合,助力我国数字经济高质量发展。
(二)研究假设
高科技是新质生产力最核心的体现,其发展主要依托于颠覆性技术创新的驱动,并以战略性新兴产业为关键载体。从技术进步角度看,大数据综合试验区打破数据资源壁垒,加速试点区域内数据要素整合与利用,促进互联网技术融合互动。在微观上,数据要素的高效流动能够显著缓解信息不对称问题,降低技术交易过程中的沉没成本与验证成本;在宏观上,数据要素为企业拓展了对前沿技术的认知与接触渠道,助力其把握新兴技术动向。这一过程不仅推动传统产业的技术改造与升级,也促进了产业结构优化,加速区域新质生产力的形成。从资本视角来看,试验区设立的数据流通与交易服务平台有助于优化制度环境和经济环境,为经济发展提供支撑。数字技术有机融入资本要素,既涵盖工业机器人、数字化产业链和机器设备等实体资本,也包括外来企业投资与技术支援等非实体资本。这种融合有助于企业优化产品研发流程、提升市场价值,并推动企业实现转型升级。从劳动视角看,数据要素与劳动力的深度融合能够提供更高质量的劳动供给,促进劳动者技能升级。与此同时,新兴产业对数字技能型人才的需求,也倒逼劳动者不断提升知识、技能与智慧水平,从而深化劳动力分工,优化劳动力供给结构。
生产力持续进步是各国现代化建设的共同特征,科学技术是生产力发展的核心要素。科技生产力强调以科技创新为驱动力,推动产业创新和经济增长。重大科技突破,如蒸汽机、电力、信息技术等,引领产业革命和经济变革,引发生产方式根本变化,推动社会生产力质的飞跃。科技进步不仅能提高生产效率,还能创造新产品和新服务,提高产品质量,从而增强企业竞争力和经济的整体效率。科技生产力的提升为绿色生产力的发展提供技术基础和创新动力,绿色生产力是实现可持续发展的关键。从绿色化产业生态看,新质生产力本身就是绿色生产力。绿色生产力追求可持续的、生态友好的生产力模式,新能源产业、环保产业和生态旅游业等绿色产业成为新经济增长点。绿色生产力通过内化外部性的方式,将环境成本纳入企业生产成本,促使企业主动采取环保措施,从而减少负外部性。作为代表性新兴技术,数字技术以数字化、网络化、智能化为特征,以数据为关键生产要素。数据用于优化生产流程、提升决策水平、个性化定制等手段推动生产方式智能化变革。传统产业受制于特定技术和业务模式,难以跨越行业边界进行合作创新,数字技术为行业融合提供新空间。以物联网为例,数据网络将用户端和企业端设备连接,将传感器与系统连接,实现跨行业数据交换和协同操作,带来智能家居设备服务新市场,为经济发展开辟新商机。
发展新质生产力的过程,实质上是对传统增长方式和发展路径的超越,是践行新发展理念的深刻变革。以数字技术为支撑的算力,已成为全球范围内争夺数字经济竞争优势的战略高地。强大算力的实现,依赖于对各类生产要素与生产流程的数字化感知,并将其采集、整合为可计算、可分析的数据形态。在这一过程中,以数据为代表的新型劳动对象正发挥着日益关键的作用。大数据综合试验区通过推进大数据中心建设与资源集约化,显著提升了数据存储与处理能力,为数据处理效率的提高奠定基础。大数据试验区通过整合区域内数据资源构建一系列高效数据管理和分析平台,为研发活动提供强大的数据支持。数据平台不仅能够强化企业数据获取、处理和分析能力,而且可以实现数据共享和开放,从而降低研发成本和门槛。大数据综合试验区拥有专业化服务体系,形成全方位的创新服务系统,为创新主体提升创新服务降低了不可预知的风险。大数据试验区以前沿的数字技术为引擎,深度融合大数据、人工智能等先进科技,系统性地重塑传统生产流程。它不仅显著提升了生产过程的智能化水平和运营效率,更推动了产品质量的精准控制与持续优化。这一变革为传统行业注入了创新活力,开辟出依托数据驱动和智能决策的技术升级新路径,从而在产业链层面推动结构优化与能级跃升,为实现新质生产力高质量发展奠定了坚实基础。综上,提出以下假设。
假设1:数字经济会促进城市新质生产力提升
在数字化赋能生产力的背景下,新质生产力依托互联网、大数据、云计算等数字技术,能够突破地理与时空限制,显著增强城市和区域之间的信息交互,充分发挥扩散效应与涓滴效应,从而推动本地及周边地区的产业协作与交流。大数据的网络连通性有助于构建资源共享平台,促进本地区与周边地区共享新质生产力发展成果,尤其使发展相对滞后地区获益。当地居民得以更便捷地获取外地信息与先进技术,加强数据要素的空间流动,在带动其他地区新质生产力提升的同时,也对周边地区新质生产力的发展产生积极的空间溢出效应。数字经济具有鲜明的共享性质,数据要素的实时传递压缩了时空距离,能充分实现机会、资源和过程的高效共享,提升邻接地区的经济发展质量。同时,数字经济具有很强的渗透性,从而实现新质生产力的跨区域发展。而新质生产力是城市高质量经济活动的具体体现,那么数字经济对新质生产力发展的影响理应也存在空间溢出效应。在资源配置方面,大数据综合试验区通过提供数据要素,有效促进了新质生产力的发展,并加强了区域经济交流与合作。试验区的设立尤其对欠发达地区的社会经济发展起到了带动作用。在数字经济引导下,创新活动不仅推动了与周边城市中企业、政府及科研院所之间的产学研协作,同时也借助人才的跨区域流动,实现了显著的知识溢出效应。综上,提出以下假设。
假设2:数字经济对城市新质生产力提升具有显著的空间溢出效应
数字经济作为当代经济发展的重要驱动力,其空间集聚效应对区域经济结构和生产力演进产生了深远影响。这种集聚不仅体现在物质资源的集中,更表现为人才、产业与知识的高密度汇聚,从而为新质生产力的孕育与发展提供了坚实基础。首先,数字经济显著推动了人才集聚。数字经济发展较快的地区,往往创造出大量新型就业岗位和多样化的工作机会,涵盖数据分析、人工智能研发、数字营销等多个前沿领域。这些机会对高素质人才形成强大吸引力,促使人才从其他地区持续流入。随着人才不断聚集,地区人力资本结构得以优化,创新能力进一步增强,为新质生产力的发展提供了智力支持和人才保障。其次,数字经济也深刻促进了产业集聚。以大数据综合试验区的设立为例,此类试点政策往往代表该地区在数字经济发展上已形成一定先发优势。试验区城市凭借其在数字基础设施、技术积累与人才资源等方面的优势,能够吸引更多数字型企业入驻,形成产业集群。本地企业和居民因而能够更早、更快地享受到数字经济带来的技术外溢、效率提升与市场红利,如更低的交易成本、更便捷的金融服务和更精准的市场信息。这种产业集聚不仅增强了区域经济韧性,也推动了传统产业与数字技术的深度融合,加速产业结构向高技术、高附加值方向转型。
人才与产业的双重集聚进一步改变了区域间资源与要素的配置格局。人口集中带来了劳动力市场规模的扩大和专业化水平的提升,而产业集聚则促进了供应链协同和企业间合作创新。这两种集聚形态相互强化,共同为新质生产力的形成与发展奠定基础。从人力资本视角看,经济集聚区域因其良好的就业环境、发展机会和生活条件,能够持续吸引并留住更多高技能专业人才。这不仅提升了地区的整体人力资本水平,也通过知识交流与技能扩散增强了区域创新能力。高素质人才的集中促进了思想碰撞与技术合作,推动了技术创新和管理变革,直接支撑了新质生产力的跃升。从产业发展角度看,产业集聚有助于形成企业间的技术共享机制与协同创新网络。同一地区内企业可通过示范效应、合作研发和人才流动等途径,显著降低自主研发的成本与风险,加快新技术的应用与扩散。这种共享与溢出机制不仅提高了整体产业的技术水平,也增强了区域经济的规模效益和竞争力,进一步推动了新质生产力在实践中落地与升级。综上所述,数字经济通过集聚人才与产业,深刻重塑了区域经济格局,改变了要素配置方式,并在提升人力资本与促进技术共享两个方面为新质生产力的发展提供了持续动力。在政策实践中,应进一步鼓励数字集聚区建设,优化人才引进与产业培育政策,充分发挥其对新质生产力的引领和支撑作用。综上,提出以下假设。
假设3:数字经济通过促进经济集聚对新质生产力产生促进作用
(一)基准模型及参数估计方法
空间溢出效应主要反映了区域经济中地理和空间因素的影响,故本文主要通过构建空间计量模型进行测度。通过借鉴Chagas et al.的方法将传统双重差分模型分别和四种空间计量模型结合,构建面板空间双重差分模型(Spatial Difference-in-Differences Model,以下简称SDID),测度国家级大数据综合试验区对城市新质生产力的空间溢出效应。具体而言,将设立国家级大数据综合试验区的城市作为处理组,未设立国家级大数据综合试验区的城市作为对照组,设i,j=1,...,N分别代表第i个和第j个城市;t=1,..,T代表第t年;
表示城市i在第t年的城市新质生产力发展指数;Policy是二元虚拟变量,若城市i在第t年设立国家级大数据综合试验区,则Policy等于1,否则等于0。
本文将结合双重差分模型和空间杜宾模型,最终采用基于SDM的多期连续型SDID模型作为基准回归模型:

其中,i代表城市,t代表年份;
为描述城市之间空间关系的空间权重矩阵的元素,produ为新质生产力指数;Policy为国家级大数据综合试验区;Z为一系列控制变量;
为个体固定效应,
为时间固定效应,
为随机误差项。ρ 为被解释变量的空间自回归系数,β为解释变量(数字经济发展水平)系数,ξ为控制变量系数,θ为自变量的空间交互项系数,δ为控制变量的空间交互项系数。
(二)变量选取及数据来源
1.因变量
本文基于新质生产力的内涵机理以及“劳动者—劳动对象—劳动资料”的分析框架,结合数据的科学性和可获取性,借鉴李松霞和吴福象、韩文龙等的研究成果,本文从新劳动者、新劳动资料、新劳动对象、新技术、生产组织、数据要素等6个维度对新质生产力进行测度。新劳动者是新质生产力的核心维度,主要选取各个地级市的新劳动者数量和结构两个指标进行测度。新劳动资料,主要选取新生产工具、新基础设施两个指标进行测度。新劳动对象,主要选取新能源、新材料两个指标进行测度。新技术,主要选取技术研发和创新产出两个指标进行测度。生产组织,主要选取智能化、绿色化、融合化三个指标进行测度。数据要素,主要选取大数据生成、大数据处理、大数据交易两个指标进行测算。具体测度指标见表1。本文借鉴韩文龙等的研究主要利用客观赋权法中的熵值法对各指标进行赋权。首先对各指标进行无量纲化处理,其次计算指标比重、信息熵的冗余度,然后计算指标权重,最后加权即求出总指数综合得分。
表1 新质生产力的测算指标体系

2.自变量
国家大数据综合试验区。国务院2015年8月发布的《促进大数据发展行动纲要》定义大数据是以容量大、类型多、存取速度快、应用价值高为主要特征的数据集合。为了全面促进我国大数据发展和应用,加快建设数据强国,此《纲要》明确提出“开展区域试点,推进贵州等大数据综合试验区建设,促进区域性大数据基础设施的整合和数据资源的汇聚应用”。2016年,为加快实施国家大数据战略,贯彻落实国务院《促进大数据发展行动纲要》,国家发改委同工业和信息化部、国家互联网与信息化办公室先后批复同意贵州省、京津冀、珠三角、上海市、河南省、重庆市、沈阳市、内蒙古等八大区域开展“国家级大数据综合试验区”建设。
根据各试验区的设立时间,贵州省在2015年及之后的时间为国家大数据综合试验区地区,其余试点地区的时间设定为2016年。政策时点当年及之后年份变量赋值为1,否则为0。
3.控制变量
利用人均GDP衡量城市经济发展水平(lx1);使用城市户籍人口数量表征城市人口规模(lx2);使用金融机构贷款占GDP比重衡量城市的金融发展水平(lx3);使用政府财政预算内科教支出占城市GDP比重衡量创新环境(lx4);城镇化率衡量城市城镇化水平(x5);每万人在校大学生数量衡量人力资本水平(x6)。
4.中介变量
经济集聚:经济活动在单位空间内的疏密程度。其常见的度量指标包括空间基尼系数、赫芬达尔指数、泰尔指数等,但这些指标均忽略了较小地理单元差异所产生的空间偏倚,而产出密度(单位面积上承载的经济活动量)被认为是衡量一个地区经济集聚的良好指标。与空间基尼系数等指标不同,产出密度不仅可以刻画经济活动在空间上的疏密程度和分布情况,还能准确反映出单位地理面积上的经济活动承载量,符合经济集聚的密度特征。因此,借鉴邵帅等人的做法,本文采用各城市的非农产出(即第二、第三产业增加值之和)总和与这些城市行政面积总和之比来度量经济集聚度。
表2 主要变量的描述性统计特征

(三)空间权重矩阵
1.空间邻接矩阵(W1)
空间邻接矩阵W1是根据各城市地理空间是否相邻而构建的0-1矩阵;根据空间相邻关系,选择Queen连接,即共顶点连接或共领边连接构建空间邻接权重矩阵。使用0和1来表示城市之间的空间相邻情况,当城市i和城市j相邻时W1矩阵中的元素
取值为1;当城市i和城市j不相邻时,
取值为0。

2.地理经济距离嵌套权重矩阵(W2)

其中,
代表地理距离矩阵,
代表经济距离权重矩阵,
∈(0,1)代表地理距离矩阵的比重,本文借鉴邵帅等的研究,
的取值为0.5。W2既能反映城市地理距离的空间关联程度,也能反映城市经济因素存在空间溢出效应和辐射效应的事实。
(一)空间自相关检验
1.全局莫兰指数
在使用空间计量模型之前,本文需先对各时间段的城市新质生产力发展水平的空间相关性进行检验。主要通过Moran’s I指数的测度,检验数据变量的空间相关性。Moran’s I指数的计算方式为:

表3显示了全局莫兰指数所衡量的空间自相关检验结果,在W1、W2空间权重矩阵下,2010—2020年城市新质生产力发展水平的Moran’s I指数在1%的置信水平上显著为正,说明我国地级及以上城市新质生产力发展水平存在显著的空间正相关关系且比较稳健,表明城市新质生产力发展水平分布呈现出高—高型集聚和低—低型集聚的空间正相关特征,说明城市新质生产力发展的地域分化现象并不是随机产生的,是由正向空间相关造成的,城市新质生产力的空间聚集在全局上表现出空间依赖特征。从2010年到2020年的Moran’s I指数变化来看,城市新质生产力发展水平的空间相关性发展较平稳,浮动趋势不大,整体呈现均衡发展模式。由此可以看出:城市新质生产力发展水平的空间相关性是在邻近空间、经济距离空间关联特征上予以体现的。因此,后文的空间计量分析中会综合考虑W1、W2两个空间权重矩阵条件下的实证结果。
表3 城市新质生产力发展水平的Moran’s I指数统计

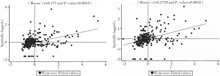
2.莫兰散点图
上述全局莫兰指数(Moran’s I)可以在整体上说明新质生产力发展水平在中国各城市的空间关联性,但是却不能更加直观地展现中国不同城市之间的新质生产力水平不平等的空间关联特征。因此为更清晰展现其空间相关关系,本文绘制了相关指标的莫兰散点图。图1显示了以W1为例下,2010年、2020年的城市新质生产力发展水平的空间莫兰散点图。Moran’s I指数散点图共有四种空间联系类型。第一类为第一象限(H-H),H-H型表现为空间正相关关系,且是高水平城市与高水平城市的集聚;第二类为第二象限(L-H),L-H型表现为空间负相关关系,即低水平城市与低水平城市的集聚;第三类为第三象限(L-L),L-L型表现为空间正相关关系,为低水平城市与低水平城市的集聚;第四类为第四象限(H-L),H-L型表现为空间负相关关系,为高水平城市与低水平城市的集聚。由图1可知,多数城市的散点分布在第一象限和第三象限中,即表明存在正向的空间相关性,新质生产力水平较高的城市更多地与其他新质生产力水平较高的城市相邻,新质生产力水平较低的城市也更倾向于与其他水平较低的城市相邻。此外,处于第一象限的城市多数为经济较发达的城市,如北京、上海、广州、深圳、杭州等。新质生产力水平的散点多数落在第一象限和第三象限,呈现高—高(H-H)或低—低(L-L)集聚的特征,还有部分落在第二象限,呈现低—高(L-H)集聚的特征,新质生产力发展水平具有正向的空间相关性,但部分城市存在负向的相关性,基于各城市的经济发展水平、产业基础、要素配置等,中国城市新质生产力发展呈现出明显的空间差异,城市新质生产力的空间集聚效应明显。

图1 2010年、2020年城市新质生产力发展水平的Moran’s I指数散点图
(二)基准回归结果及空间溢出效应分解
表4为基准模型的回归结果,其中模型(1)—模型(2)依次为基于W1、W2权重矩阵得到的估计结果。由表4可知,无论采用何种权重矩阵设定,Policy的估计系数的符号方向、大小及显著性水平均十分接近,核心解释变量国家级大数据综合试验区的设立能显著提高城市新质生产力,两种模型的回归结果一致,且均在1%的统计水平下显著。另外,单从空间维度上看,空间自回归系数ρ在W1、W2权重矩阵下均在1%的水平上显著为正,再次证明中国新质生产力发展水平存在明显的空间集聚特征。在本地区设立国家级大数据综合试验区与地理邻近或者经济地理联系紧密城市的新质生产力发展水平密切相关,表现出“荣辱与共”的特征。根据表4的回归结果,在两种权重矩阵设定下,本地城市设立国家级大数据综合试验区的概率提高1%邻近城市地区的新质生产力发展水平均会提高约0.007%,表明国家级大数据综合试验区的设立对邻近城市新质生产力发展趋向“空间一体化”发展方向,空间联动效应明显,使得“双边”合作为未来提供一种可能。
由于考虑了空间溢出效应,列(2)、(3)的估计系数不再能够准确地反映核心解释变量Policy对城市新质生产力的边际影响。因此,有必要进一步计算SDID模型的直接效应、间接效应以及总效应。
表4 基准回归的估计结果

注:***、**和*分别代表 1%、5%和10%的显著性水平,括号内为t值;除特殊说明外,下同。
表5汇报了基于表4中W1、W2的结果计算而得的直接效应、间接效应以及总效应。通过比较2种空间权重矩阵的结果发现:国家级大数据综合试验区服务强度的间接效应在W1、W2权重矩阵下在1%的水平上均显著,W1、W2权重矩阵对于空间溢出效应的影响均较为理想,表明数字经济对城市新质生产力具有显著的空间溢出效应。本文主要以W1权重矩阵的结果为例对表5中的直接效应、间接效应以及总效应进行讨论。
由表5中基于W1权重矩阵的估计结果可以看出国家级大数据综合试验区的影响强度的直接效应为0.01,且在1%的水平上显著,表明国家级大数据综合示范区的影响频率每增加100次,本地城市的新质生产力将提高1%。同时,国家级大数据综合示范区的直接效应和新质生产力的空间溢出效应均显著为正,即国家级大数据综合试验区可以通过城市新质生产力的空间关联效应促进邻近城市新质生产力的发展。此外,国家级大数据综合试验区的间接效应为0.02,且在1%的水平上显著,表明国家级大数据综合试验区的影响每上升一个单位,将使得邻近城市的新质生产力平均提高2%,即国家级大数据综合试验区对城市新质生产力表现出了正向的空间溢出效应。
表5 空间溢出效应分解

(三)稳健性检验
1.剔除疫情影响
本文测度的时间跨度为2010—2020年,由于2020年新冠疫情的冲击,对城市经济增长和新质生产力的发展产生了巨大的影响,故本文去掉2020年的样本进行稳健性检验,回归结果如表6所示。可以看出,核心解释变量Policy的系数均显著为正,且与表4、表5基准回归结果相近,且均在1%的水平上显著,即本研究结论具有一定的稳健性。
表6 去掉2020年

2.剔除政策叠加效应
本文样本期2010—2020年间,还存在城市层面的其他国家试点政策的影响。如“国家智慧城市试点”政策对城市新质生产力的影响。借鉴张德钢和唐瑜梳的研究,本文在模型中加入“国家智慧城市试点”政策。根据表7,Policy、WPolicy、直接效应、间接效应以及总效应的回归系数与表4、表5基准回归结果相比没有明显变化,且依然显著为正,通过了1%的显著性水平检验。这说明国家级大数据综合试验区对城市新质生产力的影响是存在的,且不受其他政策的影响而被高估。
表7 剔除政策叠加

3.替换因变量
自“新质生产力”被提出以后,受到社会各界一直关注,本文借鉴李春涛等的测度方法,根据各地级市的政府工作报告,利用Python技术对政府工作报告进行分词处理,统计了政府工作报告中与“新质生产力”相关的46个关键词词频,以此测算出新质生产力的社会关注度,创新性地构建地级市“新质生产力发展水平”,并以此作为本文因变量的替代变量,以检测基准回归是否具有稳健性。根据表8所示,Policy、WPolicy、直接效应、间接效应以及总效应的回归系数在W1、W2权重矩阵下与表4、表5基准回归结果相近,且均在1%的水平上显著,即本研究结论具有一定的稳健性。
表8 替换因变量

4.剔除直辖市样本
考虑到直辖市在政治地位、政策、资源等方面相较一般的地级市具有地域优势、政策优势以及资源优势,本文借鉴陈晔婷和何思源的研究,故剔除直辖市样本进行稳健性检验(表9),经过实证检验,剔除北京、天津、上海、重庆等四大直辖市后,结果依然稳健。
表9 剔除直辖市样本

5.预期效应检验
多期双重差分模型要求政策实施之前的实验组和控制组不能形成有效预期,即需要保证政策的外生性。本文借鉴Ren et al.,的研究,在回归方程中加入“国家大数据综合试验区”战略实施之前一年的虚拟项F.Policy,回归结果见表10所示:可以看出,在加入控制变量以及控制城市固定效应和时间固定效应后,核心解释变量Policy的回归系数仍显著为正,而前一年F.Policy的估计系数并不显著,可以认为不存在预期效应,即设立国家大数据综合试验区之前,试点城市的新质生产力发展并没有显著提升发展的现象。
表10 预期效应检验

从前文的假设理论可知,数字经济产生的经济集聚效应决定了国家级大数据综合试验区对新质生产力的变化趋势影响。表11为基于W1、W2权重矩阵的中介效应模型的检验结果。国家级大数据综合试验区显著地促进了城市经济集聚,这说明试点政策Policy提升了试点城市经济集聚能力。从政策溢出效果来看,国家级大数据综合试验区的试点政策给非试点城市的经济集聚效应带来正向溢出效果。这可能是因为国家级大数据综合试验区在刺激了试点城市数字产业、人才、资源等经济集聚的同时,对邻近非试点城市和地理相近、经济联系紧密的城市产生“警示效应”,出于地方经济保护主义思想,刺激邻近城市或经济联系密切城市的经济集聚,从而经济集聚效应刺激城市新质生产力的发展。
表11 机制检验的直接效应和间接效应

(一)分区域检验
中国幅员辽阔,各城市在资源禀赋、区位条件、经济发展等方面均存在明显的异质性,因而上文基于总体样本检验所得到的实证结果可能会掩盖区域异质性。因此,有必要基于分区域子样本进行异质性测度。首先,参考国家统计局对经济地带以及地理区位的划分标准,将我国31个省级单位划分为东部、中部、西部三大区域。选择W2空间矩阵①,采用空间DID模型对东、中、西部地区进行分样本回归,所得回归结果如表12所示。由表12的回归结果可知,东中西部呈现出了明显异质性结果。就Policy回归系数来讲,中部地区数字经济对新质生产力的影响明显显著于东部地区与西部地区,WPolicy下东部地区依然具有正向的空间溢出效应,周边地区对当地的新质生产力有正向的传导作用,而中部地区具有负向的空间溢出效应,西部地区尚不显著。
从直接效应上看,东部地区的估计系数显著,中部、西部不显著,表明国家级大数据综合试验区对东部地区新质生产力的影响效应强于中西部地区。其原因在于:东部地区经济发达,资源集聚,交通等基础设施建设完善,国家级大数据综合试验区的设立,有利于提升其数字经济的发展潜力,很大程度上刺激了国家级大数据综合试验区对东部地区的边际影响。中西部地区经济较弱、基础设施落后、技术薄弱、专业技术人员缺乏等,与东部地区相比存在较大的经济发展差距,国家级大数据综合试验区尚未发挥显著影响。
从间接效应的角度来看,其在东部地区的间接效应显著为正,说明数字经济的发展对经济距离联系紧密的东部其他城市具有显著的正向空间溢出效应,地理空间上表现出明显的空间扩散效应。而中部地区表现为显著的负向溢出,国家级大数据综合试验区的设立对中部地区其他城市表现出了明显的“虹吸效应”,经济地理距离联系密切产生的负外部性效应显著,也表明距离衰减效应在中部地区的显著存在。
表12 分地区检验

(二)分等级城市
借鉴赵涛等人的研究,本文将直辖市、副省级城市和省会城市划分为中心城市,其他地级市划分为外围城市。基于“中心—外围”理论,将总样本划分为中心城市和外围城市进行异质性检验,所得结果如表13所示:中心城市设立国家级大数据综合试验区对城市新质生产力的影响高度显著,而外围城市不显著。从直接效应上看,中心城市的直接效应在W2权重矩阵的基础上均显著为正,外围城市的直接效应不显著,说明国家级大数据综合试验区对中心城市的影响显著于外围城市。
从间接效应的视角来看,中心城市的间接效应显著为正,外围城市的间接效应也显著为正,且回归系数高于中心城市,表明无论位于中心地区的城市还是外围地区的城市,针对经济距离联系紧密的其他城市间均具有显著的空间溢出效应,但是这种空间溢出效应在外围城市间表现更加明显。
表13 分等级城市检验

本文基于2010—2020年中国283个城市的面板数据样本,在空间溢出效应的视角下,采用多期连续型SDID模型,基于国家大数据综合试验区的试点政策实证检验了数字经济对城市新质生产力的影响,并展开了系统研究,得到了如下主要研究结论:第一,国家级大数据综合试验区的设立不仅可以提升本地的新质生产力发展水平,同时也会带动邻近地区以及经济距离联系密切的城市新质生产力发展,且具有显著的空间溢出效应,并且经过一系列稳健性检验,结论稳定。第二,国家级大数据综合试验区的设立会通过经济集聚而优化本地数字经济产业结构,从而提升本地的新质生产力发展水平,并对空间邻近城市和经济距离联系密切的城市产生显著的空间溢出效应。第三,国家级大数据综合试验区对城市新质生产力的发展存在异质性,对东部地区以及中心城市的溢出效应为正,其负向的空间溢出效应体现在经济地理联系密切的中部地区,且中部地区地理衰减效应明显。
基于以上结论,本文提出建议如下:第一,实行差异化的区域协同政策。根据上文研究结论数字经济对东部和中西部地区的空间溢出影响存在显著的空间差异,在此基础上,强化东部地区的引领作用,尤其在北京、上海、深圳为中心城市的京津冀、长三角、粤港澳等城市群地区,通过国家大数据综合试验区深化数据要素市场化配置改革,通过技术扩散和产业链延伸带动周边区域发展。构建梯度化政策体系对中心城市侧重原始创新支持,外围城市侧重技术应用转化,形成“核心研发—周边产业化”的协同创新网络。第二,优化经济集聚效应的传导路径。根据本文研究,经济集聚效应是数字经济影响新质生产力的空间传导机制。基于此结论,建议以国家级大数据综合试验区为节点,构建“数字廊道”,通过大数据产业集群,推动大数据、云计算、人工智能在地理空间上链式布局,降低企业协作成本;设立跨区域产学研合作平台,加大试验区企业的研发投入,加强与周边城市高校合作,促进知识外溢与本地化,进一步降低区域虹吸效应产生的局部地区外部负效应的空间影响。