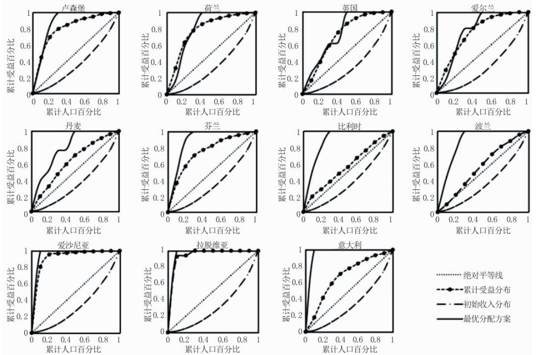
摘要:社会救助是政府民生保障的最后一道防线,也是促进低收入群体实现共同富裕的重要工具。文章基于2011—2017年46个国家数据,测度了国外社会救助的再分配效应,并从制度要素构成角度剖析调节机制。研究表明:高收入国家社会救助再分配效应的均值超过7%,中等收入国家仅为其一半,但增速高达38.56%。通过审视国外社会救助实践,发现较高的支出规模以及覆盖比例、设置梯度化救助标准等做法促使高收入国家社会救助再分配能力较强;中等收入国家社会救助再分配效果增幅明显的原因包括扩大支出规模和保障范围、依据贫困程度设置多样化救助标准等。据此,文章提出调整支出规模、拓宽兜底保障范围、优化资金给付方式的建议,以健全我国社会救助再分配调节机制。
关键词:国外社会救助;再分配;实践举措;效果评估
中图分类号:C913.7 文献标识码:A
文章编号:1005-3492(2023)07-0118-16




表1 高收入国家社会救助再分配效应及变化情况


表2 中等收入国家社会救助再分配效应及变化情况



图1 2011—2017年各国社会救助制度再分配效应与人均GDP的关系
数据来源:社会救助制度的再分配效应由作者计算得到,人均GDP来源于世界银行发展指标数据库(https://data.worldbank.org.cn/indicator/NY.GDP.MKTP.KD?view=chart)。
表3 2011—2017年社会救助支出占GDP的比重情况 单位/%

表4 2014年左右高收入国家社会救助覆盖范围 单位/%

表5 2011—2017年中等收入国家社会救助覆盖范围 单位/%

