摘要:伴随着人口红利的消失和房价的全局性上涨,老龄化程度的不断加深不仅造成经济持续增长的乏力,同时对人力资本的跨区域配置结构和效率、地方政府的偿债能力均产生显著负向影响。如何缓解老龄化带来的劳动力结构变迁、化解房价上涨和债务违约风险之间的两难,已然成为推动供给侧结构性改革、构建全国要素统一大市场亟须解决的问题。对此,文章构建了两区域一般均衡框架,对劳动力流动造成的地区老龄化程度变化、房价变动和政府债务规模扩张之间的内在机制进行理论分析,并模拟了地区老龄化程度改变这一政策情形;揭示了地方政府债务规模扩张主要取决于由人口结构变动带来的土地融资渠道,而非老龄化造成的财政收支渠道。上述理论机制得到了中国省级数据的完整验证,同时实证结果进一步表明,地区老龄化程度及其隐含的劳动力结构差异对地方政府债务规模扩张的影响存在显著差别。
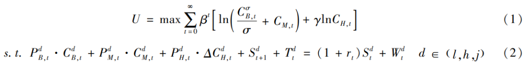
关键词:人口老龄化;土地财政渠道;政府收支渠道;政府债务规模
中图分类号:F293.35 文献标识码:A
文章编号:1005-3492(2023)08-0063-18
劳动是经济发展最基本的变量,劳动力的禀赋规模和年龄结构决定了区域经济发展的比较优势,尤其是在地区户籍壁垒约束逐渐放松的背景下,劳动力的跨区域流动更是直接改变了各地区劳动力技能和年龄结构,已然成为了促进经济高质量发展、实现中国式现代化的重要因素。但是,中国一方面,进入少子化与老龄化相互叠加和深化的人口负增长时代,适龄劳动人口规模的缩减和人口年龄结构的老化,直接削弱了经济发展的持续动力(图1);另一方面,老龄化程度的加深并没有缓解房价攀升,老龄化加剧、城市化进程加快以及房价攀升(图2)之间的耦合性,对劳动力流动造成了严重的挤出效应,不仅造成地区老龄化程度无法通过劳动力跨区域配置来缓解、阻滞了劳动力空间配置效率的提升,同时诱发政府债务规模的快速与无序扩张、加剧了政府债务的潜在违约风险。由此,破解人口红利窗口期关闭背景下由老龄化加剧、劳动力规模减小造成的经济持续增长动力匮乏,解决由房价决定的土地财政收入和政府债务违约风险之间不可调和的矛盾,成为目前中国经济顺利实现转型所亟须解决的问题。对此,本文针对地区老龄化程度、房价变动和地方政府债务规模之间的关系进行研究,试图揭示三者之间存在的内生逻辑机制,对建设全国统一要素大市场、加快实现供给侧结构性改革提出相关政策建议。

图1 老龄化核密度曲线

关于地区老龄化程度、房价变动和地方政府债务规模三者之间关系的研究,现有文献大多将三者之间的联系拆解为以下两条逻辑链,一是老龄人口通过社保基金、财政收支渠道对地方政府债务的影响,二是老龄人口对住房需求的边际消费倾向。但是,目前研究通常分别在上述两条逻辑链下展开独立讨论,至于地区老龄化程度、房价变动和地方政府债务规模之间的内生交互关系,尚未对此进行统一讨论和研究,独立的实证研究也并未形成一致结论。就地区老龄化程度和地方政府债务规模之间的关系来看,地区老龄化程度加剧、劳动力短缺必然会对地方社会保障支出带来较大负担。尤其是在中国进入新常态、人口红利已经消失的客观时代背景下,地区人口老龄化对社保体系、劳动收入待遇失衡等方面必然产生负面冲击。同时需指明的是,只有当地区适龄劳动力总量和结构均发生下降时,地区人口老龄化才会对经济增长和地区社保产生显著制约。若适龄劳动人口的规模效应依然维持在相对稳定的区间,由于老龄人口对社会住房的边际消费倾向相对较低、储蓄倾向较高,反而能够提高社会储蓄水平和人力资本投资水平,对地方政府债务扩张的缓解和经济发展存在促进作用。由此,可将目前关于地区人口老龄化和地方政府债务之间关系的研究结论简要归纳为,地区人口老龄化程度和老龄人口规模共同影响了地方政府债务水平,若地区适龄劳动人口的规模效应并未发生显著下降,那么地区人口老龄化并不会对地方政府债务造成较大冲击,且老龄人口较低的住房边际消费倾向也不会造成地区房价攀升。
但是,目前的研究忽略了两个重要问题。首先,流动人口在现有关于地区人口老龄化、房价和地方政府债务的研究中往往被忽视。尽管现有研究也指出了适龄劳动力的绝对规模对经济增长的作用并不会因老龄化的相对程度加深而发生改变,但在一国市场内部,尤其是地区间要素流动壁垒逐渐被打破,适龄劳动力会因要素追逐技术规律的存在而发生大规模的跨地区转移。这导致无论适龄劳动力规模还是地区老龄化程度,均会因劳动力流动而发生显著变化。劳动力流动,尤其是异质性劳动力流动,对地区住房的有效刚需存在显著差异。目前,异质性劳动力相对流动规模和房价变动之间的内在机制已有文献涉及,但异质性劳动力的刚需结构如何与地区人口老龄化相结合,目前尚未有文献对此进行研究。因此,阐明异质性劳动力流动对住房的有效需求在人口老龄化的作用下是否会发生结构性变化,探究流动的异质性劳动力、老龄人口等群体对地区住房平均消费倾向的相对均衡效应,是揭示人口老龄化、房价变动和地方政府债务规模之间相互关系首先需阐明的问题。
其次,在揭示地区人口老龄化、劳动力流动和地区住房有效刚需之间规律的基础上,如何进一步阐明房价和地方政府债务之间的关系,是本文需解决的第二个问题。总体来看,现有研究过分强调地区老龄人口通过社保基金和其他财政收支渠道对地方政府债务的影响。但是,查询相关宏观数据发现,2021年新增地方债发行额为7.4万亿元,地方政府债务余额总和为30.47万亿元,国家财政社会保障和就业支出仅为3.4万亿元,而土地出让收入高达8.7万亿元。上述数据表明,因房价上涨造成的土地抵押价值扩张和土地融资溢价,是造成地方政府扩大土地融资规模并导致政府债务无序扩张的主要原因。而由房价变动造成的地方政府债务扩张又和劳动力流动、地区人口老龄化紧密联系:当异质性劳动力发生跨区域流动时,一方面,流入的适龄劳动力稀释了地区老龄化程度,缓解了地方社保财政支出的压力,在政府收支的间接层面阻滞了地方政府债务的扩张;另一方面,劳动力流动造成了地区人口年龄结构与技能结构发生变化,改变了地区住房平均消费倾向,从劳动力流动的规模效应和人口年龄与技能的结构效应两方面同时对地区住房刚需造成影响。在房价和地价高度绑定的客观事实背景下,房价变化造成了储备土地的抵押价值变动,进而对后续的土地融资溢价、债务规模扩张产生显著影响。
综上,可将劳动力流动、房价变动和地方政府债务规模三者之间的关系用逻辑图3概括:由地区技术、产业结构等因素造成要素追逐技术的现象发生时,地区间要素回报率的差异必然会引发异质性劳动力的跨地区流动。一方面,劳动力的跨地区流动不仅稀释了流入地的老龄化程度,同时改变了地区劳动力平均技能结构和人口规模,与房价形成相对均衡。由此,老龄化和地方政府债务规模通过“劳动力流动—房价变动”这一中介传导产生了联系。另一方面,地区人口老龄化程度的加深提高了政府社保支出。最终地方政府债务规模取决于地方人口结构对房价造成的“土地溢价直接效应”和“财政收支间接效应”二者之间的相对均衡。

图3 劳动力跨地区流动、房价变动与地方政府债务规模逻辑
鉴于上述分析,本文构建两地区、三部门一般均衡模型,揭示地区人口老龄化、房价变化和政府债务规模扩张之间的内在机制。对于地区人口年龄和技能结构的刻画,本文构建了异质性劳动力流动方程,以此描述异质性劳动力流动带来的劳动人口规模效应,以及地区人口年龄和技能的结构效应,并模拟地区人口老龄化、劳动力流动对房价之间作用机制的相对均衡;对于政府行为层面的刻画,本文设定了土地溢价方程,以此构建房价变动、土地融资规模和地方政府债务规模之间的传导路径。在完成理论模型的构建和分析后,本文对理论模型中的关键结论进行数值模拟,并对“地区老龄化程度改变”这一政策情形进行仿真计算。最后,本文以中国2008—2020年间各地区宏观数据为基础,对地区老龄化程度、房价变动和地方政府债务规模之间的内在联系进行精确的量化分析,并对快速实现经济转型、缓解地方政府债务压力提出针对性政策建议。
对于理论模型的具体设定,本文借鉴赵扶扬等、徐邵军和孙巍的模型框架,考察一个由两地区(地区s和n)构成的简化经济体。假设社会中存在三类家庭:向工业品( )厂商提供技能型劳动力的技能家庭(Ht)、向工业品厂商提供非技能型劳动的非技能家庭(Lt),以及向服务品(
)厂商提供技能型劳动力的技能家庭(Ht)、向工业品厂商提供非技能型劳动的非技能家庭(Lt),以及向服务品( )厂商提供简单劳动力的普通劳动家庭(Jt)。工业品厂商同时使用可变资本(Kt)进行生产;服务品厂商同时使用固定资本(F)进行生产,因此服务品厂商具有规模经济性。和现有大部分区域模型相同,本文设定服务品和住房(
)厂商提供简单劳动力的普通劳动家庭(Jt)。工业品厂商同时使用可变资本(Kt)进行生产;服务品厂商同时使用固定资本(F)进行生产,因此服务品厂商具有规模经济性。和现有大部分区域模型相同,本文设定服务品和住房( )不可跨地区贸易,换言之,劳动力只能购买其所在地区的本地服务和住房。出于简便而不失一般性的考虑,本文假设住房供给取决于新增土地规模(
)不可跨地区贸易,换言之,劳动力只能购买其所在地区的本地服务和住房。出于简便而不失一般性的考虑,本文假设住房供给取决于新增土地规模( )。市场劳动力价格信号(工资差距)决定了异质性劳动力的跨区域流动,市场资本价格信号(利率差距)决定了资本的跨区域流动。而劳动力流动改变了地区老龄化结构。
)。市场劳动力价格信号(工资差距)决定了异质性劳动力的跨区域流动,市场资本价格信号(利率差距)决定了资本的跨区域流动。而劳动力流动改变了地区老龄化结构。
(一)居民偏好
假设不同群体的居民均具有不变跨期替代弹性的消费偏好,其根据市场利率和工资水平提供相应的资本和劳动力。每类代表性家庭均追求终生效用最大化。为了便于分析,设定每个代表家庭均供给1单位相应劳动力并获得工资收入,并根据市场价格在储蓄和消费之间权衡。因此,不同群体在相应收支约束条件下的效用函数可表示为

其中, 、
、 、
、 分别为d居民群体在t期对不可贸易的服务品、可贸易的工业品和住房的消费数量;
分别为d居民群体在t期对不可贸易的服务品、可贸易的工业品和住房的消费数量; 为d居民群体储蓄;
为d居民群体储蓄; 为d居民缴纳的所得税;
为d居民缴纳的所得税; 为d居民群体获得的名义劳动收入。由于假定每个家庭固定供给1单位劳动,因此每个家庭的劳动收入等于市场工资率;rt为市场利率;σ>0为相对风险规避系数;γ为实物资产的效用偏好弹性。
为d居民群体获得的名义劳动收入。由于假定每个家庭固定供给1单位劳动,因此每个家庭的劳动收入等于市场工资率;rt为市场利率;σ>0为相对风险规避系数;γ为实物资产的效用偏好弹性。
同时需指明的是,住房具备耐用品属性,因此每期住房消费的流量加总持续为居民提供效用,即 =(1-δ)
=(1-δ) +
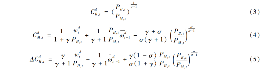
+ 。出于模型求解的简便,假设住房的折旧率为0。在收支约束下最大化居民终身效用,可求得居民d对相应商品的需求为
。出于模型求解的简便,假设住房的折旧率为0。在收支约束下最大化居民终身效用,可求得居民d对相应商品的需求为

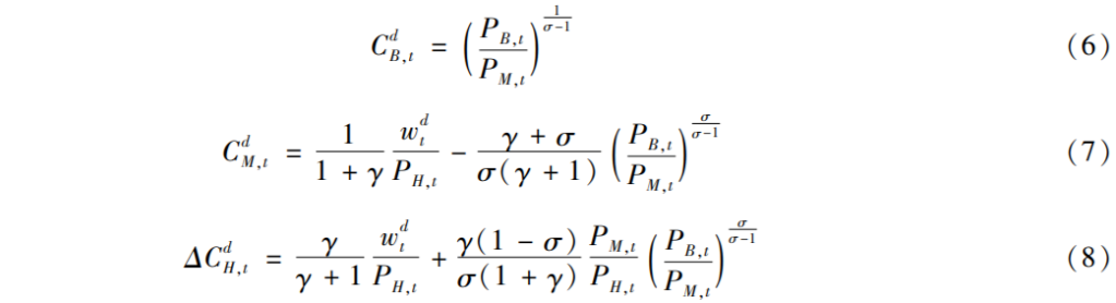
其中, 是d居民(t-1)期总共持有的住房存量。特别指明的是,该部分住房存量对于流动人口而言为0。则流动人口关于服务品、工业品和住房的需求为
是d居民(t-1)期总共持有的住房存量。特别指明的是,该部分住房存量对于流动人口而言为0。则流动人口关于服务品、工业品和住房的需求为

将上述需求方程(3)-(8)代入约束方程(2)中,得到住房的价格表达式

其中Ot表示地区所有劳动力数量,即Ot=Ht+Lt+Jt。若定义社会所有劳动力的平均工资水平为 ,社会所有居民拥有的平均住房水平为
,社会所有居民拥有的平均住房水平为 ,则住房价格可进一步化简为
,则住房价格可进一步化简为

将其代入原住民的住房需求函数(5)和流动人口的住房需求函数(8),不难发现无论是原住民关于住房的需求函数还是流动人口对住房的需求函数,均是关于地区总人口Ot的单调递增函数,即地区人口数量越多,地区对住房需求也就越大。同时,当地区整体工资水平提高时,房价也会提高。同时,若考虑到劳动力流动这一客观事实,可以发现流动后地区劳动力整体规模和结构(Ot)与地区老龄化程度(ft)呈反比,换言之,老龄化程度在需求层面对房价上涨存在一定的缓解作用。
(二)政府部门
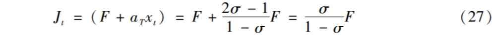
设定政府部门的收入 源于经济主体缴纳的所得税(为方便计算,该所得税率为包含缴纳养老金比率的广义所得税率),通过抵押土地获得的债务融资Bt。而政府支出则由债务利息支出、支付养老金和提供公共物品支出构成。
源于经济主体缴纳的所得税(为方便计算,该所得税率为包含缴纳养老金比率的广义所得税率),通过抵押土地获得的债务融资Bt。而政府支出则由债务利息支出、支付养老金和提供公共物品支出构成。
对于政府收入,假设政府每期只对债务余额的固定比例进行偿还,偿还比例为Κ∈(0,1)。同时,假设政府提供公共品的数量是地区劳动力的函数,因此政府在t期的总支出可表示为

其中ξ为政府根据地区劳动人口提供公共物品的系数,表明当地区存在Ot数量的劳动人口时,需要提供价值ξOt的公共物品,该参数可通过校准获得; 为政府债务利率,政府债务利率外生;b为政府支付养老金比率,oldt为t期社会老龄人口。
为政府债务利率,政府债务利率外生;b为政府支付养老金比率,oldt为t期社会老龄人口。
政府收入函数较为简单,主要由抵押土地获得的债务融资和所得税收入构成

假设缴纳所得税是总产出的函数Tt=τ·Yt,其中τ为社会平均所得税税率,Bt为地方政府抵押土地产生的债务融资。由此可见,抵押土地产生的债务规模取决于抵押土地规模和价格。同时土地抵押价格与房价相关,因此政府抵押土地融资的债务规模可表示为

其中LAs,t是土地储备数量,η为土地抵押溢价系数。土地供需均衡可表示为

即每期新增土地规模是住房建筑用地和抵押土地的总和。政府每期债务余额可表示为

(三)服务品厂商
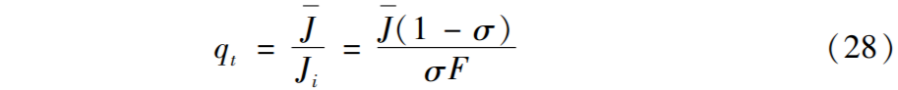
如前文所述,本文设定服务品不可跨地区贸易。对服务品和住房跨地区贸易的限定表明只能存在劳动力跨地区消费的情况。根据传统的NEG框架,设定服务品存在规模经济性特征。服务品厂商通过雇佣简单劳动力Jit以及使用相应的固定投资Fi提供不同种类的服务品。同时,设定每个地区的市场存在qt个服务品厂商,每个厂商生产存在一定差异的服务品。假设每个服务品厂商采用线性生产技术进行生产,每个厂商的产量 和投入的生产要素之间满足
和投入的生产要素之间满足

其中Jit为厂商i雇佣的普通劳动力数量,Fi为单个厂商所使用的固定资本投入(假设不存在资本折旧), 为产品转化效率。
为产品转化效率。
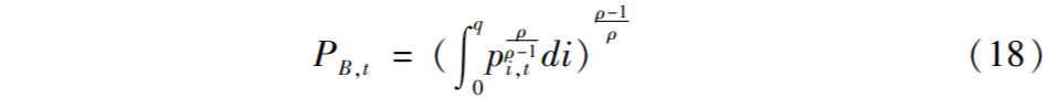
设定地区存在 个差异性服务品厂商。根据D—S条件,每个服务品厂商生产的服务品数量
个差异性服务品厂商。根据D—S条件,每个服务品厂商生产的服务品数量 以及居民消费的“打包”服务品数量CBt之间关系满足
以及居民消费的“打包”服务品数量CBt之间关系满足

其中ρ为每种服务品之间的替代弹性。根据居民支出的约束条件,得到居民购买“打包”服务品和每个服务品厂商制定的出厂价格之间关系为

假设服务品厂商i提供 单位的服务品,均衡条件下地区居民对服务品总量的需求等于地区服务品总供给,即
单位的服务品,均衡条件下地区居民对服务品总量的需求等于地区服务品总供给,即

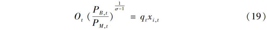
将关于服务品价格的关系式(18)代入(19)式,求得服务品厂商i的供给 为
为

当商品完全同质不存在差别情况下, =
= ,
, =
= 。同时,由于M商品可自由贸易,则M商品价格满足一价定律。出于计算简便考虑,假设同一市场内部不存在商品运输成本,则PM价格可作为价格基准,即PM=1。那么地区单个服务品厂商的产出可进一步化简为
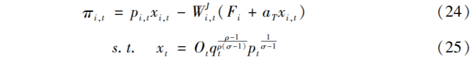
。同时,由于M商品可自由贸易,则M商品价格满足一价定律。出于计算简便考虑,假设同一市场内部不存在商品运输成本,则PM价格可作为价格基准,即PM=1。那么地区单个服务品厂商的产出可进一步化简为

关于服务品厂商制定的出厂价格和支付劳动工资的求解,根据厂商0利润条件,厂商的全部利润用于支付普通劳动工人的工资, 即Rt= =
= =
= 。将厂商产出条件(21)代入0利润条件,可得厂商支付的工资水平为
。将厂商产出条件(21)代入0利润条件,可得厂商支付的工资水平为

以及每个服务品厂商生产服务品的数量关于支付工资和价格之间的关系为

需要指出的是,在服务业生产技术几乎不发生变化的情况下,简单劳动力的生产效率是不变的,换言之,(23)式中Ot/Jt表示地区普通劳动力的供养系数(地区维持基本生活服务所需要的最低普通劳动力数量),或者理解为地区劳动力技能水平结构。
同样的,利用服务品厂商的利润函数在产出约束条件下构造利润最大化函数:

由上式能够推出服务品出厂价格关于厂商支付普通劳动工资的函数表达式为

将(23)式和(26)式同时代入服务品厂商生产技术方程,即得到每个服务品厂商雇佣普通劳动力的均衡数量为

设定地区全部普通劳动力禀赋数量为 ,则地区的服务品厂商个数为
,则地区的服务品厂商个数为

式(28)表明,地区服务业规模和单个厂商生产固定资本投入呈反向关系。换言之,在地区总资本禀赋(短期)固定条件下,地区现代技术产业和传统服务业之间的产业结构存在最优区间。由于技能型劳动力(Ht)只雇佣于现代工业,非技能型劳动力(Lt)雇佣于现代工业,以及简单劳动力(Jt)雇佣于传统服务业,即异质性劳动力之间存在相依性,地区的劳动力技能结构同样存在最优区间。
(四)工业品厂商
设定每个地区只存在一个典型加总的工业厂商。本文设定工业生产技术满足C—D生产函数形式,并以资本和劳动份额参数之间的差别描述地区间不同要素密集程度的差异。以s地区为例,相应的工业部门方程可表示为

其中 为s地区工业厂商在t期的总产出,Ks,t、 Hs,t和Ls,t分别表示该地区工业厂商使用的总资本,以及雇佣的可流动技能型劳动力和可流动非技能型劳动力总量;
为s地区工业厂商在t期的总产出,Ks,t、 Hs,t和Ls,t分别表示该地区工业厂商使用的总资本,以及雇佣的可流动技能型劳动力和可流动非技能型劳动力总量; 、
、 和(
和( )分别表示资本、技能型劳动和非技能型劳动对工业产出的贡献份额。
)分别表示资本、技能型劳动和非技能型劳动对工业产出的贡献份额。
(五)房地产厂商
住房的供给过程在很多情况下受非系统因素的决定和制约(如政策、土地供给对住房供给的限制等)。因此出于计算简便考虑,本文设定住房的生产(供给)是关于新增土地供给的线性函数。外生设定的一个好处在于,可以简明且不失一般性的实现政策模拟过程。具体而言,本文设定住房的生产(供给)满足如下形式

其中LAh,t为外生变量(可理解为土地供给),z为相应的政策调控参数。住房市场的均衡条件较为简单,满足市场对住房的总需求等于总供给即可

需注意的是,劳动力分为原住民和流动居民。因此上式关于住房的总需求,本质上是不同性质居民关于住房的异质性需求加总。
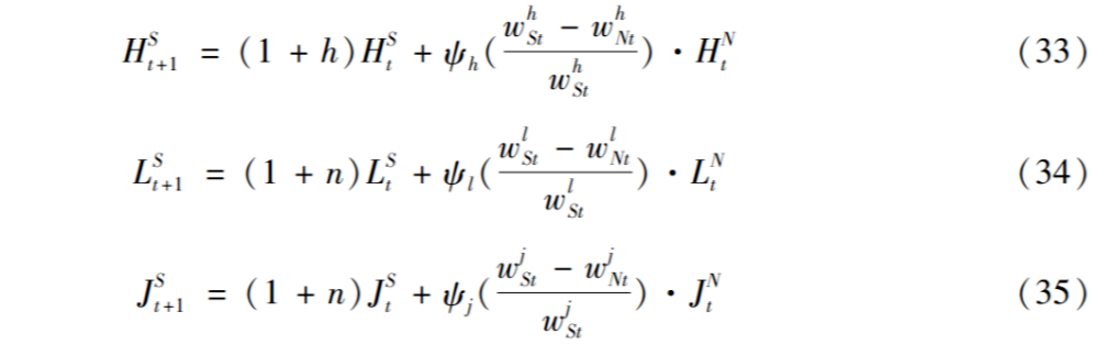
(六)要素流动与地区老龄化
在实际要素流动过程中,要素的流动规模取决于地区间相应要素收入差距(工资)以及地区间生活成本(价格)差距。假设地区间生活成本以地区间不可贸易的服务品价格、可贸易的工业品价格和不可贸易的住房价格表示。定义异质性劳动力的实际工资差异形式为

其中, 表示s地区雇佣的劳动力d的名义工资水平,工业部门的名义工资为劳动的边际产出,服务品厂商的名义工资如公式(22);
表示s地区雇佣的劳动力d的名义工资水平,工业部门的名义工资为劳动的边际产出,服务品厂商的名义工资如公式(22); 表示s地区雇佣的劳动力d的实际工资水平。由此,异质性劳动力跨地区流动的决策决定于地区间实际工资差异,那么流入地区(标记s地区为流入地区)异质性劳动力的动态积累方程分别为
表示s地区雇佣的劳动力d的实际工资水平。由此,异质性劳动力跨地区流动的决策决定于地区间实际工资差异,那么流入地区(标记s地区为流入地区)异质性劳动力的动态积累方程分别为

其中h为技能型劳动力的自然增长率,n为非技能劳动力和简单劳动力的自然增长率;ψh、ψl、ψj分别为技能型劳动力、非技能型劳动力和普通劳动力对地区间相应劳动报酬率缺口的反应敏感系数; 为流出地区在t时期技能型劳动力的存量,
为流出地区在t时期技能型劳动力的存量, 为流出地区在t时期非技能型劳动力的存量,
为流出地区在t时期非技能型劳动力的存量, 为流出地区在t时期技能型劳动力的存量。
为流出地区在t时期技能型劳动力的存量。
资本转移同样受到两地区间利率差异的影响。与劳动力流动有所不同,由于利率本身代表货币的价格,因此资本是否转移取决于地区间名义利率。则资本动态方程的化简形式为

其中 为资本积累速度;
为资本积累速度; 为资本对地区名义利率缺口的反应敏感系数;
为资本对地区名义利率缺口的反应敏感系数; 为流入地市场利率、
为流入地市场利率、 为流出地市场利率水平;
为流出地市场利率水平; 为流出地资本数量。流出地要素流动方程与流入地要素流动方程类似,只需将要素根据市场信号流动部分的符号改为负号即可。
为流出地资本数量。流出地要素流动方程与流入地要素流动方程类似,只需将要素根据市场信号流动部分的符号改为负号即可。
对于地区老龄化程度而言,需说明的是,除去地区老龄化人口的自然增长率和自然死亡率,地区老龄化程度也会随着劳动力的转移发生改变,老龄化程度的动态学方程为

上式中Oi,t+1为t+1期i地区的劳动力总量; 为老龄人口自然退出的概率;ΔOi,t为t期劳动力跨地区转移的数量,受到地区间工资差距的影响(如前文劳动力流动方程)。
为老龄人口自然退出的概率;ΔOi,t为t期劳动力跨地区转移的数量,受到地区间工资差距的影响(如前文劳动力流动方程)。
为揭示地区人口老龄化对房价、政府债务的作用机制,本文对理论模型进行政策模拟。由于理论模型的侧重点在于揭示异质性劳动力流动和地区人口老龄化之间的耦合关系,以及地区人口对房价的影响和政府债务扩张的诱发机制,因此政策模拟旨在揭示经济运行的定性规律,对于地区人口老龄化与房价、政府债务规模之间更为精确的量化关系,后文的实证模型中会给出精确的计算结果。
(一)参数校准
为了在极大程度上使本文设定的理论模型模拟结果与中国经济发展现实相契合,本文对理论模型中的参数和状态变量的初始赋值与校准规则见表1。
表1 模型参数校准


(二)数值模拟
在完成相应参数校准过程后,本文对地区人口老龄化、房价变动和政府债务规模之间的动态过程进行数值模拟。同时,本文模拟以下两种政策情形:
情形1:流入地区老龄化程度加重( =0.2),流出地区老龄化程度不变
=0.2),流出地区老龄化程度不变
情形2:流入地区老龄化程度不变,流出地区老龄化程度加重( =0.2)
=0.2)
图4反映了在现有经济运行规律下,要素的跨地区流动程度和方向。从图4可以看出,无论是技能型劳动力、非技能型劳动力,还是普通劳动力,都表现出了向技术优势地区同向流动的特征规律。但是,随着地区劳动力人口涌入,房价的有效需求结构发生了改变(公式10),有效需求规模呈上涨趋势,说明地区房价会因地区劳动力总量和劳动力技能结构的分化而发生变化(图6)。劳动力相对数量的上涨一方面扩张了地区总人口规模,另一方面稀释了地区老龄化程度。因此,从这个层面上看,人口老龄化与房价之间存在负向关系。同时,注意到在图4的后半段,随着房价持续上升,地区劳动力产生回流现象。但是,由于技能型劳动力的流失程度与普通劳动力和非技能型劳动力相比更少,住房需求的有效刚需规模变动也相对较小,因此房价仍然存在上涨空间。但可以预见的是,当地区劳动力产生大规模流失时,房价在失去人口刚需支撑后会出现下降(公式10也证实了这一点)。
图5描述了在现有经济运行规律下,地区老龄化程度的演化过程。劳动力流动对地区老龄化最直观的冲击就是改变了地区人口规模和人口结构。图5充分反映了该经济特征:随着流入地劳动力的持续流入,地区适龄劳动人口规模逐渐扩大,老龄人口占比相对减少,老龄化程度逐渐降低。同时,在房价对劳动力流动的挤出效应作用下,地区劳动力流动会因房价上涨而逐渐停止,此时地区老龄化程度也会逐渐过渡到平稳状态。


图5 地区老龄化程度变动趋势

图6 房价变动图

图7 政府债务余额增长率

本文对地区老龄化程度和地方政府债务规模之间的动态演化规律进行数值模拟。在现有的经济运行规律下,可以看出,地区老龄化程度和地方政府债务规模之间呈现正向关系,并且在劳动力流入地区,房价上涨、老龄化程度和政府债务规模扩张之间的反馈机制更强(无论是图7还是图8,表示流入地区债务变动的实线均位于表示流出地债务变动的虚线上方)。具体来看,对流入地来讲,劳动力大规模涌入造成房价上涨,地价随房价上涨而提高,在房价和地价高度绑定、中央政府债务软约束和刚性兑付的背景下,地方政府存在土地抵押融资的动机;同时,地区劳动力流动规模增加导致地方政府公共支出提高。这两方面的因素叠加,极大程度上抵消了因劳动力流入的老龄化程度稀释所带来的政府支出规模降低。对流出地而言,一方面,劳动力流出使得地区失去人口支撑,房价上涨放缓、地方政府土地收入减少,继而造成地方政府进行土地融资的动力不足,减缓了债务规模扩张;另一方面,老龄化程度因适龄劳动力的流出而加深,这加剧了政府在养老金层面的支出负担。最终二者综合效应的相对均衡仍导致地方政府债务规模的扩张,但扩张程度低于劳动力流入地区。
本文同时进行了两种情形的政策模拟,相关计算结果如图6、图7和图8。情形1假设劳动力流出地初始老龄化程度不变、流入地加深,在该情形下,劳动力流入地因老龄人口比重增加虽然引起地方政府养老金支出规模的扩张,但由于老龄人口的住房边际效用低、购房意愿水平低,因而地方政府土地抵押融资意愿与规模下降,最终导致房价和政府债务规模上涨程度较基准情形有所放缓。情形2假设劳动力流入地初始老龄化程度不变、流出地加深,在该情形下,劳动力流出地因老龄人口比重增加导致地区适龄劳动力相对规模减小,继而引起劳动力相对流出速度降低,由于劳动力相对流动规模和速度的降低导致劳动力流出地住房的刚需规模扩张较慢,进而呈现房价上涨和地方政府债务扩张程度较慢的结果。
就本文的基本经济运行和政策模拟来看,目前人口老龄化对地方政府债务规模的作用机制主要通过劳动力流动和地区适龄劳动人口数量来实现。以劳动力流入地为例,适龄劳动力的流入能够有效稀释地区老龄化程度,虽然这种人口结构有利于缓解地区财政养老支出压力,但适龄劳动人口对住房的刚需会推动房价上涨,并由“房价—地价”之间的传导诱发政府通过土地财政进行更多的土地融资,继而导致地方政府债务规模的进一步扩张。需指明的是,适龄劳动力增加、老龄化程度降低对地区财政养老支出的放缓作用,并不能完全抵消由房价上涨带来的土地融资价格上涨与政府债务规模扩张。换言之,地方政府债务扩张主要取决于由人口老龄化相对水平决定的房价通道,而非由老龄人口规模直接决定的财政支出通道。
(一)实证设计
结合上文的理论模型和数值模拟结果可以看出,人口老龄化对地方政府债务规模主要有以下两个作用渠道:一是由住房刚需决定的土地融资渠道,二是由养老需求决定的财政支出渠道。由于上述两个渠道的作用方向相反,因此需要进一步量化证明土地融资扩张的加速效应是否会被财政支出扩张的减缓作用弱化。具体来看,如果适龄劳动力增加、老龄化程度下降,政府公共财政支出规模的减少能够抵消因地区房价上涨带来的土地融资与债务规模的扩张,那么地区加大吸引人才、降低老龄化程度,是解决地方政府债务风险的破题关键。但是,若二者之间无法形成有效抵消,那么劳动力流动规模和房价、社保、地方政府土地融资之间的关系就需要重新审视。为此本文构建如下模型对上述逻辑进行实证检验

其中下标i表示地区、t表示年份; 表示地方政府债务规模;
表示地方政府债务规模; 为核心解释变量,表示地区老龄人口(65岁以上人口)占劳动人口比重;
为核心解释变量,表示地区老龄人口(65岁以上人口)占劳动人口比重; 为核心解释变量,表示劳动力流动比率;
为核心解释变量,表示劳动力流动比率; 表示地区房价波动;Xit=
表示地区房价波动;Xit= 为一系列控制变量;
为一系列控制变量; 和
和 分别表示模型控制的个体效应和时间效应。下文会对变量构造和数据来源进行详细说明。
分别表示模型控制的个体效应和时间效应。下文会对变量构造和数据来源进行详细说明。
(二)变量构造及数据选取
对于本文被解释变量——政府债务规模(debt)的核算,目前缺少相关的专业数据库直接获取该数据,本文借鉴目前相关文献的做法,对该数据进行测算整理。具体测算方式见表2。
关于政府债务更为详细的核算准则可参考按照黄春元和王冉冉的处理方式。本文在对贷方政府债务进行核算过程中,相关数据来源于Wind数据库。具体统计方法和其他变量的处理过程见表2。
表2 主要变量定义及测量方式

对于核心解释变量——人口老龄化(old)指标的构建,本文选取地区老龄人口抚养比(65岁以上人口占劳动人口比重)作为地区老龄化程度的代理指标;对于另一个核心解释变量——房价(ph)的选取,本文选取各省商品房平均销售价格(元/平方米)作为衡量地区房价的指标;对于本文关键的中介变量——劳动力流动比率(mig)的选取,以“地区年末常住人口”与“地区年末户籍人口”之间的差,比上“地区年末户籍人口”,作为劳动力净迁入比率。
对于实证过程中的控制变量,考虑到经济发展水平和政府举债难度之间的关系,本文选取人均GDP(y)作为地区经济发展水平的指标;选取贸易依存度(dep)作为衡量地区贸易开放程度的指标;选取财政自给率(leve)作为衡量地区财政收支水平的指标;选取城镇化率(ratio)作为衡量地区城镇(现代)化水平的指标;选取金融发展水平(fina)作为衡量地区举债难易程度的指标。
在具体数据处理过程中,本文对相关名义变量进行了价格平减(以2007年为不变价)。同时考虑到数据的完整性,剔除了西藏地区的相关指标。本文所采用的指标横跨的时间序列为2008—2020年。另外在稳健性检验过程中,由于采用FGLS估计需要平衡面板数据,因此排除2008年数据,以及贵州和海南的数据(存在缺失值)。相应的数据源于Wind数据库、《中经网统计数据库》《中国人口和就业统计年鉴》。
(三)影响政府债务规模的机制分析
根据Hausman检验结果,本文采取固定效应模型对实证方程(38)进行估计,相应的估计结果见表3。

在利用各省份2008—2020年样本对地区老龄化程度、房价波动和地方政府债务规模之间关系检验的结果中发现:首先,就人口老龄化这一核心解释变量而言,无论控制时间效应、个体效应还是逐步添加控制变量,人口老龄化对地方政府债务规模的影响始终正向显著;也就是说,随着地区老龄化程度的下降,地方财政公共支出负担下降,地方政府负债规模也会产生相应程度的紧缩。其次,就房价这一变量与地方政府债务之间的关系来看,同样发现无论控制个体效应、时间效应还是逐渐添加控制变量,房价对地方政府债务规模存在显著的正向影响;具体来看,随着适龄劳动力流入、地区老龄化程度降低,住房有效刚需提高的背景下,房价上涨会拉动地价上涨并提高地方政府土地财政收入,继而诱发地方政府债务规模的扩张。并且,其中重要的解释变量——劳动力流动比率,发现其对地方政府债务规模的影响虽然并不显著,但在影响方向上为负。上述三个变量的实证结果完整印证了前文理论模型的内在机制:当适龄劳动力的流入减轻地区老龄化程度时,一方面,相较于原有人口结构,由于流入的适龄劳动人口对住房的需求较高,上涨的地区房价通过“房价—地价”高绑定的土地融资渠道,诱发了地方政府债务规模的无序扩张;另一方面,对流入地而言,劳动流动比率的提高意味着地区适龄劳动人口的增加,在增加地区税收、社保收入的同时有效缓解了地方政府养老压力,对政府债务规模的扩张起到了一定的缓冲作用。
(四)模型相关检验及异质性分析
从前文机制分析可知,地区房价波动和地方政府债务规模扩张之间存在内生反馈机制,因此为了进一步消除二者之间可能存在的内生性影响,本文以房价波动的一阶滞后(L.ph)作为工具变量进行系统GMM估计以期排除内生性问题,并采取FGLS的方式对模型的稳健性进行进一步检验。需要说明的是,由于FGLS在估计过程中有着平衡面板数据的要求,因此排除2008年数据,以及贵州和海南的数据(存在缺失值)。相应的检验结果见表4。
表4 内生性、稳健性检验及异质性分析结果

就模型的内生性和稳健性检验结果来看,无论是逐渐增加控制变量,还是采用其他估计方式,人口老龄化和房价这两个关键解释变量对地方政府债务规模的作用机制并未发生系统性改变。因此,可认为地区老龄化和房价均对政府债务规模存在显著的正向影响。
此外,考虑到只有形成足够规模才能基于财政收支渠道影响地方政府债务规模,由此引发一个疑问:是否只有当地区老龄化程度足够严重、适龄劳动力规模足够小的情况下,财政支出扩张才能影响政府债务规模。因此,本文以全国平均老龄化程度为基准,将各地区划入高于和低于全国均值这两个样本中,分别展开实证检验,并对两个样本的关键变量(人口老龄化程度)进行组间差异检验。检验结果表明(表4),老龄化水平不同的组别对政府债务扩张的影响存在显著差异(p值为0.000)。具体来看,在老龄化水平高于全国均值的地区,老龄化程度的加深不会带来地方政府债务规模的扩张;但是,在老龄化水平低于全国均值的地区,老龄化程度的加深会引起地方政府债务规模的扩张。造成上述现象的关键和前文的猜想一致,老龄人口通过养老金影响政府财政支出进而间接影响政府债务规模的作用机制,被因房价变化带来的土地融资影响充分掩盖。具体来看,当地区人口老龄化程度加剧时,虽然由于养老负担加重导致地方政府公共财政支付压力增加,但由于适龄劳动力减少、对住房的刚需规模减少、土地融资规模减小,总体上看政府债务规模紧缩;当适龄劳动人口增加、老龄化程度减轻时,虽然这种人口结构有利于缓解政府财政公共支出负担,但适龄劳动人口住房刚需规模的上升将推动房价和地方土地收入的上涨,并诱发地方政府扩张土地融资规模,总体上看政府债务规模扩张。
最后,中国房价较高的地区普遍为超一线城市和一线城市,这类地区适龄劳动力规模比重相对较高,一方面缓解了政府支出压力,另一方面房价见顶表明地方政府债务的土地融资规模空间有限。因此,本文以全国平均房价为基准,将各地区划分至高于和低于全国均值的两个样本中,对两个样本分别进行实证检验,并对两个样本的关键变量(房价水平)进行组间差异检验。检验结果发现(表4),在房价水平较低的地区,房价上涨对地方政府债务规模扩张的推动作用更加显著(房价较低地区的相关系数显著大于房价较高地区,且组间经验p值为0.000)。上述结果再次佐证了前文揭示的关于房价和地方债务之间的内在机制。当地区房价上涨时,由于土地抵押溢价诱发地方政府提高土地融资规模,造成地方政府债务规模扩张。当地区房价较低时,土地储备数量较高,政府的政策空间较大,房价变动造成的土地边际溢价程度较高,对政府债务规模扩张的影响较为明显;而当地区房价较高时,土地储备数量和地方政府的政策空间均已见顶,房价上涨造成的土地边际溢价达到高峰并趋于平衡。因此,大型城市通过调控房价、土地融资的土地财政手段目前已经难以持续,需要扭转以高房价、政府债务飙升为代价的政府运转模式。
本文构建了包含要素流动特征的两区域一般均衡模型,对人口老龄化、地区房价波动和地方政府债务三者之间的关系进行了理论分析和数值模拟,以此阐明人口老龄化对地方政府债务规模的作用机理,以及房价波动和土地融资之间的内生反馈机制。在机制验证方面,本文利用中国2008年至2020年省级宏观数据,对理论模型所揭示的变量之间的内在机制进行实证检验,得到如下结论:
就人口老龄化和房价之间的作用机制而言,老龄化程度的加剧挤占了社会对住房的有效需求,造成房价上涨放缓、土地抵押价值降低,这不仅减少了地方政府土地融资和土地财政收入,同时阻滞了地方政府依靠抵押土地进行融资的趋势;但同时老龄化程度的加剧,增加了地方适龄劳动力的供养负担和财政支出负担,通过财政收支间接渠道对政府债务规模产生正向影响。最终人口老龄化和地方政府债务规模之间的综合影响取决于土地融资渠道和财政收支渠道二者之间的均衡,本文理论模型证明了,土地融资渠道的影响要大于财政收支渠道的影响,人口老龄化与地方政府债务之间存在正向关系。在刻画理论模型运行特征的同时,本文同样对地区不同老龄化水平进行了政策模拟。模拟结果表明,人口老龄化程度的加剧会使得地区房价的上涨趋势得到缓解。政策模拟和数值模拟的结果互相印证了本文的核心观点:人口老龄化对地方政府债务规模的影响主要通过土地金融渠道而非财政支出渠道。
上述理论机制得到了实际数据的完整验证,在具体实证过程中同时发现,老龄化水平不同对政府债务规模的作用效果不同,但内在影响机制无异;并且,房价水平不同,基于人口老龄化从土地金融渠道层面对地方政府债务规模的影响机制也存在差异。目前,高房价的土地融资模式已经见顶,尤其是房价仍有一定空间的非一线城市,应谨防由土地金融引起的政府债务规模盲目扩张。
本文研究对防范地区老龄化程度加剧、劳动力流失、控制政府债务规模和防范债务违约风险具有较强的政策启示。老龄化程度加剧和劳动力流失是经济下行周期国家持续面临的难题之一。在劳动力增长放缓、人口红利消失的客观背景下,促进劳动力跨区域配置效率的提高,以此稀释地区老龄化造成的经济增长乏力,是经济增长动能转换的关键。由此,打通堵点、尽快构建要素流通畅通的全国统一大市场,对实现供给侧结构性改革、推动经济高质量发展至关重要。此外,地方政府应放弃传统的土地金融思维,在尊重房价和地价之间联动规律的前提下,有效实现房价和地价松绑,促使房价回归基本面,坚持“住房不炒”的基本调控方针,化解地方政府债务扩张、潜在债务风险和高房价之间不可调和的困境。