摘要:为创新公共数字文化治理的集成、协同与高效提供决策支撑,也为整体推进国家治理体系和治理能力现代化提供文化治理的数字化运行方案,文章从全局性协同视角,通过引入算法理论及逻辑,从一类问题的描述方式、算法模式、算法框架设计到算法重构的设计逻辑,阐述了公共数字文化全局性治理的算法决策机理,阐述其实现路径,以模型数值模拟案例,刻画了公共数字文化全局性协同治理的算法决策模式的优势。研究发现,基于算法重构的治理决策为公共数字文化协同治理方法库提供一种有力的决策工具,同时该模式既能实时优化现有信息资源配置问题和体系机制,也能通过事后结果的相关性对体系机制进行优化,为助力公共数字文化供给侧改革提供了方案借鉴。
关键词:公共数字文化;全局性协同;算法理论;算法技术应用;决策模式
中图分类号:C913.2 文献标识码:A
文章编号:1005-3492(2023)08-0081-09
当前信息技术正以新概念、新理念和新业态的形式,全面融入人类的政治、经济、文化建设各领域和全过程。在数字化治理体系中,算法治理是具有核心地位和决定意义的子体系,已经成为大数据、多媒体、物联网、云计算、人工智能甚至元宇宙等信息化治理体系中的重要维度和最基本载体。
算法治理是近来算法从计算技术延伸到社会治理和公共管理领域,并被政府和学界广泛接受的一个新概念,究其内涵和外延,算法治理有三个基本特征:一是由于算法本身由人设计的,而后再加载于计算机和程序中的计算方法,是一种工具化计算机方案;二是算法是一个计算主义世界观,也是一种治理规则,它探究了算法影响社会治理的机制与过程;三是算法不仅能通过大数据构建规则,自身还具有自动执行规则的能力。
党的十九届四中全会提出:“建立健全运用互联网、大数据、人工智能等技术手段进行行政管理的制度规则”,对传统治理形态向数字文化治理转型提出了制度性要求。近年来,国家网信办等中央多部门先后出台《关于加强互联网信息服务算法综合治理的指导意见》(2021年)、《互联网信息服务算法推荐管理规定》(2022年)等,均充分体现了在习近平总书记在党的十九大以来“共享共建”的理论创新指引下,“坚持正确导向、依法治理、风险防控、权益保障、技术创新”的数字治理基本方向和基本原则。
我国是一个文明古国,文化历史久远,文化内涵深刻。信息技术的发展无疑使公共数字文化形成一个庞大的信息资源配置体系,涵盖内容也从起初的大众传媒、公共数字教育、数字图书,逐步扩展到今天的数字文旅、数字博物馆、数字出版、数字乡村文化振兴等多个领域形成公共数字文化领域海量数据堆叠涌动、结构纷繁复杂的状态,数字文化治理正面临新形势,相应的算法模式也需要适应理念变革、对象拓展和技术创新,专门针对公共数字文化治理算法的相关研究也逐渐显现:一是算法哲学化的伦理学、社会学、修饰学方法研究,如从算法积极意义与文化治理的范式、社交媒体的算法平台社会责任研究、文化演进中的算法垄断研究、基于伦理价值思辨的算法应用于数字文化治理研究、对算法的文化网络开发者行为领域的研究等以及算法文化创作与法律协同作用等。二是数字文化的算法应用,如大众媒体软件开发的实践依赖路径的算法模式、算法技术对于艺术、文化组织和机构的场景运用、个体如何通过媒介形成与外部文化资源的缔结关系以及广播、数字博物馆基于算法功能实效评价模式等。三是数字文化的算法技术支持研究,包括基于云文化算法的装箱算法、基于资源受限的多智能体文化演化算法以及算法求解文化旅游规划路线问题 。
上述文献对算法应用的公共数字文化提供了有益借鉴,也构成了公共数字文化治理领域的学术前沿。本文针对公共数字文化算法整体性问题的描述,通过算法理论刻画了全局性协同的算法重构建的治理逻辑和决策模式,通过仿真案例,展布了以算法重构建为基础的多元理念、多方主体、多资源协同的公共数字文化全局性协同治理模式,为数字财政管理应用方法库提供了一种有力的决策工具。本文创新体现在两方面:一是从破解当前公共数字文化治理的碎片化难题着手,揭示内含于算法技术中的公共数字文化全局性协同治理的理念;二是运用算法原理来解读公共数字文化全局性协同的算法重构建决策模式,为助力公共数字文化供给侧改革提供方案借鉴。
(一)问题描述与算法决策形成机理
随着我国文化概念内涵和外延的变化,公共数字文化体系所涵盖的子系统越来越多,因而在该系统又不断组合成新的信息资源海量数据的结构特征。由于算法常被用于决策,因此从数学上讲,算法决策的形成需要通过数据清理、数据集成、数据归纳等方法将形成系统代码问题(见图1)。
根据算法逻辑,可以对求解某一具体问题进行算法修改,从而通过程序实现改变求解该问题的方法,也成为新的算法框架,这种修改可称为算法重构建。算法重构建经过算法框架的设计,可得到求解某一问题(如公共数字文化全局协同治理)的算法模式,而算法框架是算法重构的一种操作方式。算法框架、算法模式、算法重构可统称为算法。算法重构建可用于公共数字文化信息资源系统的管理(治理)决策,后续将形成相应的治理体系和运行模式。其中,针对公共数字文化全局性协同治理这一类问题的描述方法及其算法模式是可以改进的,能形成模块化算法或算法模式,模块化算法和算法模式是可以加以改进的,也可以在算法框架设计完成后,调整模块化算法;反之亦然。

图1 算法决策形成机理
(二)全局性协同治理的算法重构实现路径
根据Roberto, et al.等,在算法重构下,公共数字文化全局性协同治理可将所有代码形成的问题归类并看作一个整体,以国家公共数字文化治理目标为导向,从“数字信息驱动—数字技术协同—数字赋能效应协同”三个维度设计与治理目标相适应的算法模式和算法框架,支持公共数字文化协同治理的算法重构(见图2)。从而能通过算法重构决策的改进,从新面对数据代码问题进行实时改进,对体系机制进行重新构建或完善,实现规则体系下公共数字文化信息资源配置的实时调整和优化。

图2 公共数字文化全局性协同治理的算法重构实现路径
具体而言,第一步,可根据算法决策匹配公共数字文化治理的正外部性原则,进行公共数字文化治理的体系构建。这需要以考虑价值重塑、伦理规则、技术迭代的政策目标为导向进行顶层设计、规则制定和资源配置。第二步,进行算法重构,以确定最优公共数字文化全局性协同治理模式。可基于问题分析,通过自信息协同、数字技术协同、数字赋能效应协同建立算法框架,通过模块化算法改进进行算法重构,基于盈利性、公益性及安全性原则,在多主体配合、优势互补的业务流程条件下,分解各数据平台及平台间多资源协同的路径层,包括数字信息资源共享融合机制、信息平台、综合管理平台以及应用端集成等。第三步,建立跨地区、跨部门、跨文化领域“数字信息型”公共数字文化全局性协同治理业务化平台的运行机制。可引入公众参与和数字资源共享机制,通过共性数据、异性数据解析与管理机制创新实现数字信息共享,对需求关联性分析进行技术处理和设计,对碎片化数字信息进行融合,使公共数字文化全局性协同治理更为稳定、可靠。第四步,构建公共数字文化全局性协同治理的事中、事后评价和调整机制。在适应信息系统中的公共服务和产业绩效评价个性指标、环境约束、保持内部协调、增强系统优化,对体系机制进行完善,亦可通过算法仿真和相关性结果评价,实现公共数字文化全局性协同治理全过程场景决策、分析和优化。
(三)算法重构的平台支持模式
基于上述算法重构建的决策形成机理,可基于公共数字文化问题的描述,通过算法提供方案、问题判断以及优化建议等,来选择算法模型形成算法中心框架(见图3),形成技术平台支持,为治理体系提供了能充分释放公共数字文化全局性协同治理效能的技术应用。其中,在算法重构建公共数字化文化治理领域,算法一方面要考虑面向客户的海量数据结构特征,如音影文字、数字推送、交流互动、平行空间、生活应用、跨界协同、产权保护等;另一方面,也要考虑面向平台设计的治理方案,包括公共数字文化全局性治理的顶层设计、体系构架、规则制定、目标决策、动态优化、服务评价及绩效管理等因素。

图3 公共数字文化全局性协同的算法决策框架
(一)算法重构建模型
基于传统一维数据排序的统计量的改良,目前大数据的数据解析多在Tukey的基础上建立统计深度函数,该函数被誉为当今最有效解决高维数据排序和异常值诊断的数据解析方法。因此,本文例举的算法模型可直接根据系统协同自组织原理,基于数据在位置参数的选取,将最具深度的数据作为关键位置的参数,以避免异常值对于该数据估计值的影响,确保有效挖掘最有用的信息,从而达到更为稳健的估计效果。
在具有复杂系统的多变量特征的公共数字文化全局性协同治理中,信息系统与子系统之间、子系统与子系统之间形成交织结构关系,这种关系的影响因子是否协同也直接反映了治理目标科学性。在此,为达到实时优化决策的目的,基于调整协同系数的方法,以多维度线性无关的向量,对多源异构的公共数字文化信息资源配置的问题进行表征,可表示为:

将反映治理目标的协同度Y表示为各种影响因子多维度矩阵 的组合Y=
的组合Y= =
= ,对矩阵Y进行正交特征变换Y=
,对矩阵Y进行正交特征变换Y= 。对应于xi变换后的特征,其方差为:
。对应于xi变换后的特征,其方差为:

将Y最大化方差求解问题转换为拉格朗日函数 的方差极值求解问题。变换后多维度矩阵X中,xj因子差异性最大,即xj为全部维数中的主成分。采用同样的方法,确定
的方差极值求解问题。变换后多维度矩阵X中,xj因子差异性最大,即xj为全部维数中的主成分。采用同样的方法,确定 第2主成分和第3主成分。在主成分分析法确定了(主要影响因子)之后,采用去耦合直接法建立主要影响因子与系统度之间的关系。
第2主成分和第3主成分。在主成分分析法确定了(主要影响因子)之后,采用去耦合直接法建立主要影响因子与系统度之间的关系。

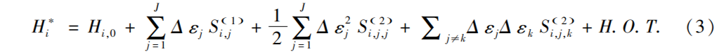
其中,Hi,0为协同度的初始值; 表示主要影响因子变化后的协同度;
表示主要影响因子变化后的协同度; 、
、 和
和 分别代表影响因子变化对协同度产生直接影响的参数项、影响因子连续变化对协同度产生影响的参数项、影响因子交互对协同度产生影响的参数项;Δεj代表影响因子j的变化量;H.O.T.为反映各种因子综合形成的误差项。在确定了主要影响因子后,针对实测数据对
分别代表影响因子变化对协同度产生直接影响的参数项、影响因子连续变化对协同度产生影响的参数项、影响因子交互对协同度产生影响的参数项;Δεj代表影响因子j的变化量;H.O.T.为反映各种因子综合形成的误差项。在确定了主要影响因子后,针对实测数据对 、
、 和
和 进行求解有:
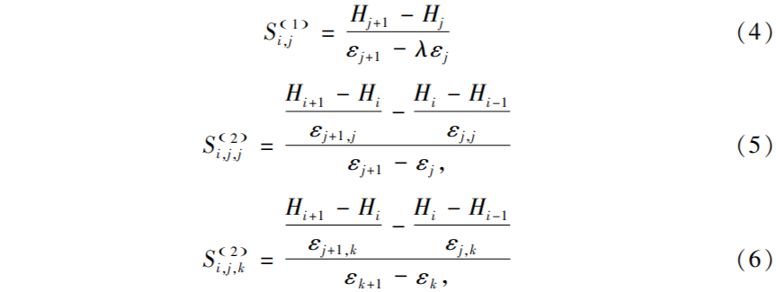
进行求解有:

其中,i+1,i和i-1分别表示影响因子相邻状态或者条件下的量值(其他符号意义同前),采用实测数据确定 、
、 和
和 ,即估计确定了协同度的变化量之间的关系。当公共数字文化信息资源配置协同度与三个因子λ1,λ2和λ3有关系,则方程(3)可表示为:
,即估计确定了协同度的变化量之间的关系。当公共数字文化信息资源配置协同度与三个因子λ1,λ2和λ3有关系,则方程(3)可表示为: 

由此,根据式(7)就能在整体或局部框架下,基于实测数据的协同度分析,实时对公共数字文化系统信息资源配置进行调整优化。而治理绩效管理或评价,则可预设管理目标及标准,根据算法模式的逻辑过程,实时精准化资源配置,实现对整个系统以及子系统之间的高效治理,使之最终趋于最优化目标。
(二)仿真案例
本文算例的模拟值参照“全球城市文化资源配置力评价指标体系”进行设置,该指标有六类一级指标、12个二级指标和52个三级指标在内的城市公共文化资源配置能力的评价指标体系,本文将其转成数字型指标数值并对该指标体系用于仿真。
一般而言,代码问题中,信息资源全局性协同可基于多源异构的数据代码特征进行系统的耦合机制分解,通过将各种影响因子表征为矩阵的形式 ,令该系统Y为各种影响因子综合影响的结果,Y=
,令该系统Y为各种影响因子综合影响的结果,Y= =
= ,其中uij为X的协方差阵Σ的特征值所对应的特征向量。借助于正交变换,将信息系统Y与各种影响因子X相关的原向量转化成不相关的新随机向量(如将原向量的协方差阵变换成对角形阵,即将原坐标系变换成新的正交坐标系,使之指向样本点散布最开的p个正交方向),然后对多维变量系统进行降维处理,使之能以一个较高的维度(变量)的系统转换成低维变量系统。即将原来变量(X)重新组合成一组新的相互无关的几个综合变量,同时根据实际需要从中可以取出几个较少的总和变量,这样能尽可能多地反映原来变量的信息,从而实现识别了关键性变量,即主要影响因子。多因子作用下的全局性协同治理关系的识别方法可通过去耦合直接法等方法,将各种因子对信息系统的贡献以及多因子的协同由复杂的耦合作用关系分解为一阶协同关系(主要影响因子的直接作用关系)、自二阶协同关系(影响因子自身协同的影响)和协二阶协同关系(不同影响因子之间的协同)关系的线性组合等等,以实现全局性协同的目的。
,其中uij为X的协方差阵Σ的特征值所对应的特征向量。借助于正交变换,将信息系统Y与各种影响因子X相关的原向量转化成不相关的新随机向量(如将原向量的协方差阵变换成对角形阵,即将原坐标系变换成新的正交坐标系,使之指向样本点散布最开的p个正交方向),然后对多维变量系统进行降维处理,使之能以一个较高的维度(变量)的系统转换成低维变量系统。即将原来变量(X)重新组合成一组新的相互无关的几个综合变量,同时根据实际需要从中可以取出几个较少的总和变量,这样能尽可能多地反映原来变量的信息,从而实现识别了关键性变量,即主要影响因子。多因子作用下的全局性协同治理关系的识别方法可通过去耦合直接法等方法,将各种因子对信息系统的贡献以及多因子的协同由复杂的耦合作用关系分解为一阶协同关系(主要影响因子的直接作用关系)、自二阶协同关系(影响因子自身协同的影响)和协二阶协同关系(不同影响因子之间的协同)关系的线性组合等等,以实现全局性协同的目的。
为体现系统与各子系统之间的复杂的结构关系,将数据进行清理、集成和归一化处理后,随机截取Δλ1—Δλ6的模拟值为算法结果和模拟截取关系,采用差分方法并用式(7)对微分项进行求解,保留一阶项及最大相关高阶项向协同度变化后的拟合结果为:

可以看出,“Δλ3”在因果关系中,最为显著的对应系数为0.279;而“Δλ5”在3个因子中的协同系数最低为0.004;一阶协同度平均为0.103,二阶协同度平均值为0.007,二阶协同因子远远小于一阶协同因子,表明在信息资源配结构中,许多指标协同关系主要是被动形成的,公共数字文化资源配置可通过系数的方法来修正因子之间的协同度以提高治理效能。

由于算法模型是由所有子系统复杂性、耦合度及有序度等因素共同决定,并取决于三维以上空间中各子系统有序度的增减程度。由于仿真结果所展布系统之间、系统与子系统之间的关系图例数量较大,因此,随机给出一个图例进行描述(见图4)。蓝色线为一阶导数项,体现指标量变化对目标量(协同度)的影响;红色线为蓝色线与二次项(反映指标量的交互影响)叠加。此外,图4还展现了因子一阶项的位置与不同二次项的叠加,这种协同度的调整方法使公共数字文化资源配置能力系数调整显得非常直接,也进一步表明,系数调整不仅可对系统运行进行事后调整,而且还能实时地对规则体系机制进行优化,这使公共数字文化信息全局性协同治理从体系构建到算法治理有着参考方案可循。
作为一种技术,算法的改进将对公共数字文化所面临的新形势、新理念、新结构的全局性协同治理特征起到决定性的推动作用。本文通过引入算法重构概念,从一类问题的描述方式、算法模式、算法框架设计到算法重构的设计逻辑,揭示公共数字文化全局性治理的决策方法,阐述其实现路径,以模型仿真作为算例,刻画了既面向系统又面向个体的算法重构优势。研究结论显示,基于算法重构的公共数字文化全局性协同治理的决策,既能实时优化现有信息资源配置问题和体系机制,也能通过事后结果的相关性对体系机制进行优化,为助力公共数字文化供给侧改革提供了方案借鉴。不过,算法时代的公共数字文化信息系统协同治理模式还需要以国家政策目标、方案的顶层设计为基础,通过算法技术发展不断对公共数字文化治理体系进行完善,因此,本文引申的建议有如下三点。
(一)坚持系统性理念,完善公共数字文化全局性治理算法决策机制
党的二十大提出,要坚持系统观念、把握好全局和局部,为前瞻性思考和全局性谋划的数字文化协同治理提供了科学世界观和方法论指导。数字文化治理的全局性协同不仅需要考虑目标之间的协同、主体之间的协同、领域之间的协同以及制度监管之间的协同,更需要总揽全局,确保公共数字文化治理的方向。在算法技术理论和实践创新过程中,需要坚持系统性治理理念,优选算法重构模式,完善大数据算法决策机制,推动数字文化全局性治理走向多元融合,夯实我国公共文化数字化治理的基础,助力国家治理体系和治理能力现代化。
(二)推进算法理论和方法创新,为公共数字文化实现全局性协同治理赋能
在数字技术快速发展的今天,算法技术发展驱动着人们对科学范式、研究范例及应用方法的变革,世界观和方法论也将发生巨大的变化,因此为了实现公共数字文化的全局性协同治理,要以习近平新时代中国特色社会主义思想为指导,深入贯彻党的二十大精神,坚持系统性理念和全局性视野,不断探索适应时代发展和社会需求的算法新思路和新方法:首先,需要结合国家治理宏观目标进行算法理论创新,针对所面临的机遇和挑战,创新算法战略思想,探索算法在公共数字文化中需加以考虑的规则,形成符合系统性理念和全局性视野的公共数字文化算法应用模式,并与国家治理体系相适应。其次,推进算法方法创新,为公共数字文化治理提供有效工具。可充分利用算法自身的数据挖掘、机器学习、深度学习等技术和数据处理技术生成并优化公共数字文化的治理方案;利用自然语言处理、语音识别、图像识别等算法技术,对公共数字文化的各种信息进行理解、交流、回应和反馈,提高公共数字文化的服务质量和用户体验水平;充分整合算法资源,提升公共数字文化治理的综合性水平。包括运用大数据、云计算、元宇宙、区块链等数字技术,对公共数字文化的各种算法进行整合、融合、交换和共享,实现算法资源的优化配置和价值最大化。推进算法理论创新,有利于为公共数字文化治理提供科学指导,提高治理的正确性和有效性,增强治理的权威性和公信力。
(三)完善算法规则体系,为公共数字文化治理多元共治提供制度保障
算法规则体系是指在数字环境下,针对数字文化资源、产品、服务、活动等涉及的数据采集、存储、加工、分析、传播等过程中所遵循的一系列应用规范和标准。一个完善的算法规则体系不仅利于保障数据安全、促进数据流通、提高数据质量,而且可以有效保障数据资源的均衡配置,防止数据垄断和歧视,促进数据利益的公正分配,实现数据共治和共享,增强数据公平。完善算法规则体系为公共数字文化治理多元共治提供制度保障,首先,需要加强算法规则体系顶层设计,包括制定统一的国家标准和规范,明确数据采集、存储、加工、分析、传播等各环节的基本要求和操作规程,形成数字文化治理的法律法规体系。其次,加强监督管理,建立健全数据安全责任体系,加强对数据承算各环节的监督检查,及时发现和纠正问题,严惩违法违规行为。其三,需要加强社会参与,广泛征求政府、市场、社会等多元主体的意见和建议,充分反映不同利益相关者的诉求和需求,形成算法规则体系的社会共识和支持。总之,只有建立科学合理、规范有效的算法规则体系,才能保障数据安全、促进数据流通、提高数据质量、增强数据公平,为公共数字文化服务提供更高质量、更有效率、更加公平、更可持续的支撑。