摘要:数字经济赋能工业绿色转型是推动中国经济“脱虚向实”的重要手段,也是实现经济高质量发展的必由之路。结合2011—2020年30个省份工业数据,从环境效益和经济效益两个维度,构建双重差分模型进行实证分析,研究发现数字经济的发展降低污染排放强度,提升生产率,有助于推进工业绿色转型。进一步进行机制检验,结果表明:数字经济的发展减少了工业综合能源消费量和煤炭消费量,提高能源资源利用效率,同时还减少工业综合能源消费中煤炭消费量占比,增加清洁能源消费占比,优化了能源资源利用结构;数字经济发展增加了工业研发投入和创新产出,有效提升技术创新水平,并促进绿色产品创新和绿色工艺创新,实现工业绿色转型升级。
关键词:工业绿色转型升级;数字经济;能源资源利用;技术创新;绿色技术创新
中图分类号:F49;F424 文献标识码:A
文章编号:1005-3492(2023)10-0068-18
党的二十大指出,高质量发展是中国式现代化的本质要求,也是全面建设社会主义现代化国家的首要任务。在推动经济高质量发展的主题下,实体经济是经济发展的支柱,工业是实体经济的主体与基石。大力发展工业,推进工业绿色转型,是建设现代化产业体系的内在要求,也是新发展格局下实现中国经济高质量发展的必由之路。2022年,全国工业增加值已经达到40.2万亿元,居世界首位,但是中国工业生产率与发达国家相比仍存较大差距,甚至部分新兴经济体生产率赶超中国,国外工业强势发展给中国带来巨大压力。同时,国内工业仍未完全摆脱以要素驱动的高投入、高消耗、高排放的“三高”发展模式,能源结构优化难度较大。工业的“三高”发展模式给中国资源环境带来巨大压力,不利于工业的可持续发展,为中国工业高质量发展造成严重阻碍。因此,改进中国工业发展模式,实现工业绿色转型升级是我国从工业大国向工业强国转变的必经之路。2021年,工信部印发的《“十四五”工业绿色发展规划》指出,到2025年,在工业产业结构和生产方式绿色低碳转型领域取得明显成果,大幅提高能源资源利用效率,全面提升绿色制造水平,构建完善的绿色低碳技术体系和绿色制造支撑体系,系统推进工业在产业结构、能源消费、资源利用、生产过程、产品供给、生产方式6个领域的转型,为2030年工业领域碳达峰奠定坚实基础,促进工业绿色发展。如今,绿色发展已经成为工业可持续发展的内在要求,上升到国家战略高度,成为经济发展的主旋律,工业绿色转型升级亟待推进。
中国数字经济正处于高速发展阶段,十年间,数字经济规模由11万亿元上升至45.5万亿元,占GDP比重由21.6%上升至39.8%。数字产业化和产业数字化均取得明显成效,数字经济在国民经济中的地位更加稳固、支撑作用更加明显。随着数字经济的快速发展,出现质量、效率和动力变革,经济社会的持续转型得到了强大动力,有利于实现中国式工业现代化,促进数字经济与传统工业融合,推动传统工业智能化、清洁化改造,为传统工业提供便利的基础设施,优化要素配置,提升生产率,提高生态效率,促进绿色技术创新,提升工业绿色发展水平,充分赋能产业转型升级。2022年,在《不断做强做优做大我国数字经济》中,习近平总书记指出,高创新性、强渗透性、广覆盖性的数字经济能够有效促进经济增长,改造提升传统产业,推进建设现代化经济体系。因此,数字经济已经成为推动工业绿色转型升级的新方案,有助于形成经济发展与生态环境保护协调发展新格局。那么,数字经济对工业绿色转型影响效果如何?特别是二十大报告要求数字经济和实体经济深度融合的背景下,如何实现工业兼顾减排和增效的绿色转型?相应的转型路径是什么?在数字经济时代,研究清楚这些问题对于加快工业绿色转型升级具有重要的理论和现实意义。本文从经济效益和环境效益两个维度,选取2011—2020年省级面板数据作为研究对象,研究数字经济对工业污染排放强度和全要素生产率的影响效果,进一步从能源资源利用情况和技术创新进行理论机制分析,以期对数字经济赋能工业绿色转型升级进行更加深入的研究。
本文的边际贡献可能体现于以下几方面:第一,将数字经济纳入工业绿色转型升级的整体分析框架,丰富新发展格局下工业绿色转型升级的实现路径,为相关研究提供参考依据;第二,从经济效益和环境效益两个维度全面评估数字经济赋能工业绿色转型升级,理论层面从能源资源利用情况和技术创新两方面进行深入分析,并进行机制检验,丰富数字经济赋能工业绿色转型升级相关理论;第三,不同于大多数从企业层面研究工业绿色转型,本文选取2011—2020年数字经济和工业绿色转型相关的省级层面面板数据作为研究对象,对现有研究进行完善。
(一)数字经济
根据牛津英语词典记录,数字经济最早出现在1994年3月1日的报纸《The San Diego Union Tribune》的一篇报道中。数字经济是数字技术、信息化带来的经济形态,通过现代信息网络使用数字化的知识和技术,重塑再生产方式和过程,推动革命性效率提升和经济结构优化,引发经济社会领域持续发展数字化。作为一个新经济形态,可以从互联网和数字金融,数字经济基础设施、数字产业化、产业数字化和数字化治理等多个维度选取并构造指标体系直接测度数字经济发展水平,还可以通过国民经济核算法和增加值测算法进行测算,或者使用效率分析等方法侧面反映区域数字经济发展水平。在经济方面,随着大数据、物联网、人工智能、区块链等数字技术迅猛发展,我国第三产业增加值所占比重不断提高,使经济结构得到进一步优化,经济增长速度不断加快。数字经济能够通过互联网平台、互联网技术、互联网思维和网络效应影响全要素生产率,促进我国技术进步,成为中国提升区域创新效率的新动能,不仅直接促进区域创新效率,还间接通过加速产业升级、金融发展和人力资本积累对区域创新效率产生积极影响,提升创新市场运行效率水平,进一步能够通过增加区域创新产出推动城市绿色发展。在生态环境方面,数字经济能够从政府环境监管信息化、环保产业智能化、环境监测动态化和社会公众参与环境保护深度化四个方面提高环境质量,重塑生态系统治理格局,优化社会经济系统与生态环境系统的关系,并提高社会资源整合能力、环境监测能力、深度分析能力与科学决策能力,促进经济、社会、环境三者之间的相互协调,为绿色生产、绿色生活、美好环境提供重要保障,为中国绿色发展提供了一种重要途径。数字经济将互联网、大数据、人工智能、区块链等数字技术作为核心,使长尾经济、范围经济、规模经济同时存在并不断繁荣发展,实现市场环境改善和市场均衡水平提高,推进经济高质量发展。并且数字经济本身高质量发展、数字经济与实体经济高质量融合发展和数据要素市场的高质量发展三方面可以助推中国经济高质量发展。因此,数字经济的泛化发展已经渗透到经济结构、收入分配、全要素生产率、市场运行效率、生态环境、经济高质量发展等多个领域,是中国未来长效发展的重点,也是中国经济稳定增长的重要引擎。
(二)工业绿色转型升级
在过去的较长时间内工业以高投入、高消耗、高污染为主要生产模式,导致经济与资源环境的矛盾越发剧烈,国内传统工业比较优势也逐渐丧失,需要进行绿色转型升级。工业绿色转型是以资源集约利用和环境友好为导向,以绿色创新为核心,坚持走新型工业化道路,实现工业生产全过程的绿色化、可持续发展,获得经济效益和环境效益双赢的过程,有利于实现产业发展的资源消耗节约和环境污染排放约束,推动产业高效化、生态化发展,促进工业由不可持续发展转向为可持续发展的动态演变过程。工业绿色转型主要从工业绿色转型效率与构建多维度评价指标体系两个角度进行测算。测算工业绿色转型效率主要分为非参数法和参数法,非参数法为数据包络分析法(DEA)及其改进形式,如采用DEA-DDF模型和 Malmquist-Luenberger生产率指数、超效率-SBM 模型与 Luenberger 生产率,而参数法则是通过设定生产函数和效率项分布来测算。构建多维度评价指标体系,是基于工业绿色转型内涵,运用综合评价方法,可以从能源资源集约利用、污染程度减少、产业结构升级、生产率提升和可持续发展等多个维度选取指标进行测算。政府作为绿色转型的引导者,通过出台环境规制政策、绿色税收优惠政策等外部因素,影响着公众的绿色消费意识,增强对绿色产品的认知,提高对绿色产品的购买意愿,并影响着工业进行绿色转型的意愿,激励工业企业进行技术创新,影响企业渐进式技术改造,实现污染排放强度降低和生产率提升的“双赢”。工业绿色转型是一项期限较长的任务,期间会产生大量的资金占用,需要依靠外部融资的支持。比如,绿色债券促进绿色转型企业绿色创新,并提供融资激励,降低企业融资成本。中国新金融的发展有助于提高金融市场化水平,提升城市创新能力,促进绿色转型企业绿色创新,提供融资激励,不仅对重污染企业具有显著的融资惩罚效应和投资抑制效应,还降低绿色企业的债务融资成本,有效推动了绿色企业发展。在内部因素方面,具有绿色发展意识的管理层和董事会更愿意进行绿色技术创新,积极参与绿色转型实践,提高绿色转型水平。因此,面对日益增长的资源和环境约束压力,全面推进传统高耗能工业的绿色转型,形成经济增长的新动力,有助于实现企业发展和环境可持续性的改善,提升中国工业的盈利能力,形成绿色经济发展新模式,充分发挥绿色转型的环境效益和经济效益。
(三)数字经济与工业绿色转型升级
随着数字经济时代的来临,数字经济赋能传统工业,为工业绿色转型带来新动能,成为其绿色转型的重要手段。数字经济以数字技术创新为重要动力,有助于促进数字技术与传统产业融合发展,提高传统产业的数字化、信息化、智能化水平,并且能够借助新一代信息技术获取规模经济、范围经济和长尾效应,持续向传统行业渗透。由于数字经济本身是一种无污染、节能的“清洁”模式,工业企业可以凭借数字技术,更新生产设备,降低能耗率,促进工业绿色发展,推动工业升级和工业高质量发展。综合考虑信息技术、经济发展和环境三个因素,互联网等数字技术可以通过企业创新能力、企业成本、产业结构水平和外部监督力度四个角度,促进工业绿色全要素生产率提升,促进工业绿色转型升级。同时,数字经济为促进绿色全要素生产率增长还可以将对传统生产要素的替代效应、对能源消耗的节能效应、对环境污染物的减排效应和对经济增长的促进效应作为传导机制。另外,数字经济打破关联产业间、上下游产业之间的边界,促进产业之间的融合,催生新业态和新产业带动传统产业,尤其是制造业的智能化和数字化转型,促使各产业趋于协调发展,推进产业结构高级化,引领产业转型升级,助推工业绿色转型。数字技术也可以通过促进工业内部行业变迁实现结构高级化,通过增强产业的协调程度、提升结构聚合质量和提高资源配置效率实现结构合理化,促进结构优化,实现工业向中高端迈进。数字经济能够提升工业绿色创新绩效,驱动生产生活方式变革,通过增加经济活动的去物质化程度,减少环境污染排放,提高企业效率,升级产业结构,有效推进工业绿色转型升级。
目前,关于数字经济以及工业绿色转型的研究分别取得了丰硕的成果,基于数字经济研究工业绿色转型的文献逐渐增多,对二者之间的机制探讨集中在技术创新、环境规制两方面,其他路径较少提及。本文在研究数字经济对工业绿色转型的影响效果的同时,从能源资源利用效率及结构、技术创新两个路径进行理论机制分析,探讨在数字经济背景下,如何从环境效益和经济效益两个维度实现工业绿色转型升级目标,并提出合理的对策建议。
数字经济实现了对传统要素的有效替代,节约能源资源,提升能源资源的利用效率,优化能源资源的利用结构,降低无效生产的污染排放。同时,数字经济高创新性、强渗透性、广覆盖性为工业创新发展创造了更大的生存空间,提升技术创新水平,促进绿色技术创新,增加绿色绩效,满足客户多样化绿色消费需求。数字经济已成为解决环境问题的重要抓手和促进经济发展的新动力,能够加快工业绿色转型,实现经济量的合理增长和质的有效提升。
(一)数字经济改善能源资源利用状况
我国部分工业仍是以要素驱动的发展模式,需要消耗大量能源资源,数字技术可助力工业实现“源头—过程—末端”的系统性全流程节约能源资源,进行系统化能源资源管理,形成合理有效地使用能源资源方案,提高设备能源资源利用率,减少能源资源消耗,改善能源资源利用状况,对工业绿色转型有重要作用。
首先,数字经济有利于对能源资源进行系统化和制度化管理。通过大数据、云计算、物联网等数字技术可以收集、处理、分析和应用工业能源资源的重要数据,实现采集水、气、热、电等能源介质消耗数据自动化,保证准确、高效地获取数据,并进行及时传输,解决能源资源种类多、能耗和物耗计量点多且分散、人工计量物耗能耗低效率且不及时等问题,构建高效、智能能源资源管理系统,对收集、处理和分析的重要相关数据进行系统化和制度化管理,并监测记录工业企业乃至工业整体运行情况,提高管理效率和决策效率,使得传统工业高资本投入、高劳动力投入的生产经营方式得以发生根本性的转变。其次,数字经济优化能源资源使用方案。通过企业内部能源资源的重要数据,还可以运用人工智能算法进行分析,精准找到生产过程中存在的改进点,并给出直观的分析结果,改善各类能源资源在工业内的配置状况,提升能源资源配置效率,进而优化使用能源资源方案,有效节约资源和降低能耗。再次,数字经济能够激发原有设备节能活力。运用工业机器人等技术对工艺流程进行优化,重构生产工艺,不断提高企业的装备技术水平,提高产品参数的检测控制精确度,对物料调度进行调整,改进生产设备,提高设备的操作控制和互联互通水平,优化控制生产流程,实现生产线数字化,提升产品质量,进而激发原有设备的节能活力,达到降低能耗、物耗的目的。这些都可以带来数字经济对传统生产要素的替代效应,减少传统生产要素的投入,降低资源和能源的消耗,加快能源资源向工业绿色转型发展方向合理流动,提升能源资源利用效率,并优化能源资源利用结构,有效推动工业绿色转型。
(二)数字技术促进工业技术创新
创新是引领发展的第一动力,是实现经济与环境协调发展的推动力,是工业发展的重要方向,也是实现工业绿色转型关键路径之一。数字技术的高速发展和广泛应用为工业创新发展创造了更高的自由度和生存空间,优化工业创新要素配置,提升技术活动的创新效率,促进绿色技术创新,既能为客户和工业实现增值,也能显著降低对环境的不利影响,将绿色导向作为工业未来战略,推进工业绿色转型。
首先,数字经济能够拓宽工业市场。随着我国经济体量的不断扩增,新产品创新效率低下和创新产出不足已然成为制约中国工业绿色转型升级的重要因素。数字经济拓宽工业市场,导致企业间竞争更加激烈,同时外部环境和主体对工业绿色发展要求的持续性增强,客户的多样化绿色需求不断增长,为获得竞争优势,工业不断加强研发新产品,促使工业进行产品创新和工艺创新,尤其是绿色产品创新和绿色工艺创新。其次,通过工业企业间的数字化研发管理平台,能够共享产业体系中创新链、价值链和供应链之间的研发数据,构建面向工业全产业链和全社会共同参与的开放式创新体系,促进产业创新模式向高效共享和协同合作转变,显著提升工业的技术创新水平和创新效率,促进创新活动常态化。在工业企业内部,更高效、智能的研发平台和信息平台还可以显著增强工业研发部门与生产部门之间的反馈效应和累积循环效应,提升工业创新速度,改善创新效率。再次,数字经济的高速发展有利于打造营销创新市场。企业能够通过客户管理系统、企业管理解决方案系统、供应链管理系统、智能制造执行系统和办公自动化系统强化绿色制造过程中的可视化管理能力、系统集成能力、智能制造质量监控能力和精益制造能力,提高创造能力,对市场需求端的灵活变化快速作出反应,数字化创新工具的全面铺开,进行多场景的研发活动,提升研发创新的精准性,推动工业数字化、智能化和平台化,创新产品体验,打造营销创新市场。
(一)双重差分模型设定
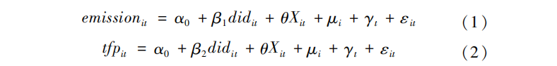
2013年,互联网行业迎来移动端时代,中国数字经济的基本格局已经形成,并迈入成熟期。同年,习近平总书记围绕数字经济相关议题发表了一系列重要讲话,各部委密集出台了“宽带中国”等鼓励数字经济发展的相关政策和指导意见。随着数字经济的快速发展,数字经济企业的兴起为工业提供了绿色转型的技术支持和环境支持,实现对工业生产、排放数据的准确监控,促进生产率的提高和污染排放的减少。具体而言,为了准确识别数字经济企业对工业绿色转型的驱动作用,首先,本文借鉴万攀兵的实证策略,构建固定效应双重差分模型。研究数字经济对工业的环境绩效和经济绩效,重点从减排和增效两个维度来评估工业绿色转型情况,基准回归方程设置如下:

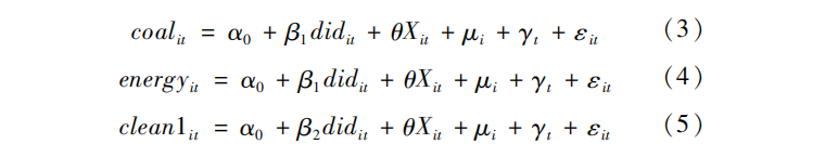
其次,借鉴万攀兵的方法,将基准回归模型中的被解释变量分别替换为可以反应工业能源资源利用效率及结构、技术创新和绿色技术创新的指标来确定数字经济通过改善工业能源资源利用情况和技术创新对工业绿色转型产生影响:


式中i代表省份;t代表年份;emission和tfp是被解释变量,反映i省份在t年的工业污染排放强度和全要素生产率。coal、energy、clean1、clean2、patent、RD、gt1、gt2为机制变量,分别表示i省份在t年的能源资源利用效率及结构、技术创新和绿色技术创新水平。交互项 did 是解释变量,系数β1衡量了有上市数字经济企业和无上市数字经济企业的省份工业绿色转型的效果。当β1>0,表明上市数字经济企业抑制了该省份工业绿色转型,当β1<0,表明上市数字经济企业促进了该省份工业的绿色转型。当β2>0时,表明数字经济上市公司促进该省份工业绿色转型,当β2<0时,表明数字经济上市公司抑制该省份工业绿色转型。μi为个体固定效应,以控制不随时间变化的省份特征;γt为时间固定效应;εit为随机扰动项。
(二)变量说明
核心解释变量为didit,对样本进行合适的分组,识别政策在各省的执行差异。当省份i在t年受到上市数字经济企业影响时,didit=1,否则,didit=0。双重差分变量didit=treat*post,个体解释变量(treat)代表上市数字经济企业,有上市数字经济企业的样本设为 1,没有为 0。时间解释变量(post)代表数字经济企业兴起的时间,由于在2013年,数字革命已然开启新的大门,各部委密集出台了“宽带中国”等鼓励数字经济发展的相关政策。因此,post在2013 年以后设置为1,2013年之前设置为0。对各省份进行横向对比,对时间轴进行纵向对比,分析数字经济对工业绿色转型的促进作用。
被解释变量为工业污染排放强度和全要素生产率。依据万攀兵的做法使用工业污染排放强度和全要素生产率作为工业绿色转型的代理变量,其中工业污染排放强度选取省份工业废气氮氧化物排放总量(NO)来衡量,全要要素生产率(tfp)采用DEA-Malmquist指数法进行测算,投入要素为固定资本投入和劳动人口,产出要素为工业增加值。
在机制变量的选取方面,鉴于煤炭是中国工业部门最主要的化石能源投入,采用工业煤炭消费量(coal)和工业综合能源消费(energy)衡量能源资源利用效率,采用更加清洁的天然气在综合能源消费量中占比(clean1)和工业煤炭消费量在工业综合能源消费中的占比(clean2)来衡量工业能源资源利用结构。在技术创新方面,选取i省份t年工业专利申请量(patent)来衡量创新产出,选取i省份t年R&D内部经费占工业营业收入的比重(RD)来衡量研发投入。在绿色技术创新方面,依据徐建中和王曼曼的做法,选取工业新产品销售收入与能源消费量之比(gt1)衡量绿色产品创新水平,选取工业R&D经费内部支出及技术改造经费投入之和(gt2),衡量绿色工艺创新水平。
在控制变量Xit的选取方面,选择影响工业绿色转型的相关变量。其中,政府干预(gov)采用政府财政支出占GDP比重来衡量,城市化进程(urb)采用城镇人口所占比重来衡量,受教育程度(edu)采用人均受教育年限来衡量,樊纲市场化进程指数(mar)采用市场化进程总得分来衡量,外商直接投资(lnfdi)采用外商投资企业投资总额的对数值来衡量,人力资本(lab)采用就业人数与年末总人数比值来衡量。
(三)数据来源及描述性统计
本文选取2011年—2020年各省份的面板数据,由于西藏相关数据存在遗漏,为避免数据缺失影响结果的准确性,剔除该省份数据。本文所使用的数据均来自《中国工业统计年鉴》《中国环境统计年鉴》《中国统计年鉴》以及国家统计局,少量缺失指标用线性插值法补齐。表1为本文选取变量的描述统计情况,由于did值只有0和1,进行描述性统计意义较小,因此表1中不包括did的描述性统计。
表1 描述性统计表

(四)相关性分析
相关性分析是指两两变量之间的相关性,不加入更多变量的影响或者其他的固定效应的控制,初步判断变量之间的关系,但是不能作为最终的回归结果,以下是相关性分析的初步判断。

由表2中可以看出,did与全要素生产率的相关系数为0.234,在1%的水平下是显著的,与全要素生产率同向变化,初步判断随着数字经济的发展,全要素生产率会增加。did与工业废气氮氧化合物排放量的相关系数为-0.144,呈显著负相关,随着数字经济发展水平的提高,工业废气氮氧化合物排放量会逐渐减少,数字经济的发展会降低工业污染排放强度,达到减排效果。与控制变量urb、edu、mar、lnfdi、lab之间的相关系数均是在1%的水平下显著,说明选择的控制变量比较合理。
(一)基准回归结果分析
表3报告了数字经济对工业全要素生产率的基准回归结果,第(1)—(7)列显示了逐步添加控制变量的情况下,did的估计系数均在1%水平下显著为正,表明数字经济的发展会促进工业全要素生产率的提升。表4报告了数字经济对工业废气中氮氧排放量的回归结果,第(1)—(7)列报告了逐步增加控制变量过程中,did估计系数均在1%的水平下显著为负,说明数字经济的发展降低了工业污染排放强度。第(7)列报告了加入全部控制变量情况下,数字经济对工业污染排放强度的基准回归,结果表明受数字经济影响省份工业废气氮氧化合物下降85865个单位。总体上,在逐步引入控制变量情况下,数字经济对工业全要素生产率和工业污染排放强度的did的估计系数结果均十分相近,没有较大差别,说明数字经济的发展,有利于抑制工业的污染排放强度,并提高其生产率水平。这一发现为理论机制提供了初步证据。

基准回归结果表明,数字经济的发展为工业的减排增效提供了新动能,从环境效益和经济效益两个维度来推动各省工业的绿色转型。数字经济可以从能源资源利用效率和结构、技术创新两方面推动工业绿色转型升级,重新审视生产流程,改善各类生产要素在工业内的配置状况,提升资源利用率,改进工艺生产流程,形成合理有效地使用能源方案,进而提升能效,并优化用能结构。同时,数字技术的高速发展和广泛应用可以改善创新要素配置,有效改善工业技术活动的创新效率,增加技术创新产出,并提高绿色创新水平。然而,这一推测尚需进一步实证检验。

(二)动态效应检验
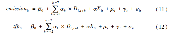
如果没有上市数字经济企业的兴起,实验组和控制组工业的全要素生产率和污染排放强度的变化应该满足平行趋势假设。为了进一步考察双重差分模型的平行趋势假设,并研究数字经济随时间的动态处理效果,本文采用事件分析法,测度数字经济对工业绿色转型升级的动态效应。模型设置如下:

其中,Di,t+k是核心解释变量,k表示政策决定设立的第k年。本文采用2011—2020年省级面板数据,包括了政策决定设立的前2年与后7年,将2011年设为基准年,回归方程中省略了k=-2时的虚拟变量。αk表示政策实施前后第k年时实验组与控制组之间的工业绿色转型升级水平差异。

表5报告了数字经济发展对工业污染排放强度和全要素生产率的动态效应。在政策实施前,处理组和控制组均无显著差异。在政策实施之后,全要素生产率显著性发生明显变化,处理组生产率明显上升。在政策实施之后,工业污染排放强度负向效应在逐步增强,显著性逐步提升,表明从污染排放强度的维度来说,由于工业的技术升级需要较长的时间,数字经济上市公司的促进效应存在约为三年左右的时滞。总之,上述结果支持了双重差分模型的平行趋势假设条件。
(三)稳健性检验
1.变换研究区间
在本文目前的研究中,采用了2011—2020年各省份数字经济和工业绿色转型的相关数据,为了保证回归结果的稳健性,采用变换研究区间的方法进行稳健性检验,由于2020年发生新冠肺炎疫情,将2020年的数据进行剔除,若结果一致,则说明本文的模型结果是稳定的。由表5中第(1)列和第(2)列可以看出,数字经济对工业全要素生产率和工业废气氮氧排放量的回归系数分别为0.058、-116880,均在1%的水平下通过显著性检验,数字经济促进工业全要素生产率提高,并降低污染排放强度。因此,在变换研究区间之后,本文结论仍然不变,通过稳健性检验。
2.替换被解释变量
双重差分模型中工业污染排放强度是使用了废气中的氮氧化合物排放量作为被解释变量,为了增加结论的稳健性,本文使用工业二氧化硫排放量(SO2)和工业废水中氨氮排放量(NH3-H)来衡量工业污染排放强度,进行稳健性检验。表6中,第(3)列报告了数字经济对工业二氧化硫排放量的影响,估计系数在5%的水平下显著为负。第(4)列报告了数字经济对工业废水中氨氮排放量的影响效果,回归系数为-1966,在1%的水平下通过显著性检验。因此,在替换被解释变量的情况下,数字经济发展仍然显著降低了工业污染排放强度。
3.替换解释变量
互联网行业具有人才密集型和聚集性的特点,数字经济往往以其为依托。因此,为考察指标稳健性对基准回归结果的影响,对互联网行业进行识别,将双重差分变量更改为有人工智能和大数据专业的双一流大学的省份,这些双一流大学为各个省份不断提供人才,使得各省份数字经济发展速度不同,造成各省份数字经济差异化。由表6第(5)列和第(6)列可以看出,全要素生产率和废气中氮氧化物排放量估计系数的符号与基准回归一致,并均在1%的水平下通过显著性检验,印证了基准回归的稳健性。

前述理论分析表明,数字经济发展促使工业通过改善能源资源利用情况和促进技术创新来实现绿色转型。具体而言,大数据、互联网等数字技术系统监控生产流程,改善要素配置情况,节约能源资源,提升能源资源利用效率并优化结构。同时,数字经济还增加创新产出,不断对产品、管理和服务等方面进行创新,还促进绿色产品创新和绿色工艺创新。为检验数字经济对工业绿色转型的作用机制,本文将基准回归模型中的被解释变量分别替换为可以反映工业能源资源利用情况和技术创新的指标。
(一)能源资源利用状况
在理论机制中,本文考虑了工业生产过程中的能源资源利用效率和能源资源利用结构。实践中,煤炭、天然气、石油等化石能源作为关键的生产资源,是工业生产过程中的重要投入要素,其利用效率的高低会直接影响污染排放水平和生产效率。为此,本文检验数字经济发展对工业能源资源利用效率和结构的影响。表6第(1)列和第(2)列报告了数字经济对工业能源资源利用效率的影响。鉴于煤炭是中国工业部门最主要的化石能源投入,第(1)列显示了关于工业煤炭消费量(coal)的影响,估计系数显著为负。第(2)列进一步报告了关于工业综合能源消费(energy )的影响,发现回归系数依旧显著为负。上述结果表明,数字经济的发展显著提高了工业能源资源的利用效率,具有明显节约能源资源的效果。

第(3)和(4)列进一步报告了数字经济发展对工业能源资源利用结构的影响。在第(3)列中,采用天然气在综合能源消费量中占比(clean1)来衡量工业清洁能源利用结构, did估计系数显著为正,表明在数字经济蓬勃发展的情况下,工业转向使用更加清洁的能源。第(4)列报告了数字经济对工业煤炭消费量与工业综合能源消费比值(clean2)的回归结果,did系数在1%的水平下显著为负,表明数字经济的发展推动工业综合能源消费中煤炭消费量所占比例越来愈小。研究发现,在数字经济时代,工业除了提高能源资源的利用效率外,也转向增加更加清洁的能源利用比例,减少煤炭使用比例,优化工业能源资源利用结构,达到减排增效的目的。综上所述,上述回归结果揭示出,随着对数字技术的广泛应用,数字经济推动工业能源资源利用效率和结构进一步提升和优化,抑制工业污染物的排放,提高工业生产率,促进绿色发展,推进工业绿色转型升级。
(二)技术创新
前述分析从能源资源利用视角证实了数字经济发展赋能工业的绿色转型路径,即提高能源资源利用效率并优化结构。事实上,除了通过能源资源利用这一方面外,在数字经济时代背景下,工业也可能选择技术创新实现工业绿色转型。因此,本文检验了数字经济对工业技术创新的影响。表7中,第(1)列的回归结果显示,数字经济的发展能够对工业的专利申请量(patent)产生的影响,估计系数在10%水平上显著为正,表明数字经济的发展增加了工业创新产出。为考察数字经济发展对工业研发投入的影响,第(4)列报告了R&D内部经费与工业主营业务收入比值(RD)的回归结果,估计系数在5%水平上显著为正,表明数字经济发展增加工业研发投入,提高技术创新水平。为进一步考察数字经济发展对工业绿色技术创新的影响,依据徐建中和王曼曼的做法,第(5)列报告了工业新产品销售收入与能源消费量之比(gt1)的回归结果,估计系数在10%水平上显著为正,表明数字经济有助于提高绿色产品创新水平;第(6)列报告了工业R&D经费内部支出及技术改造经费投入之和(gt2)的回归结果,did估计系数在1%水平上显著为正,表明数字经济发展推进绿色工艺创新水平,促进工业绿色技术创新。上述结果表明,在数字经济蓬勃发展的背景下,技术创新和绿色技术创新是工业绿色转型升级的主要路径。


党的二十大报告指出,要坚持以推动高质量发展为主题,建设现代化产业体系,坚持把发展经济的着力点放在实体经济上,推进新型工业化。数字经济为我国工业发展提供了机会,可以根据自身需求,将工业机器人、3D打印、5G技术、工业互联网等数字化技术嵌入传统工业生产服务全流程,充分利用数字技术与自身能力结合实现跨越发展,推动数字经济赋能工业绿色转型。本文通过构建双重差分模型,结合2011—2020年30个省份工业数据研究数字经济对工业绿色转型的影响效果,进一步进行机制检验对理论分析进行验证。研究发现:(1)数字经济发展能够赋能工业绿色转型升级。具体而言,数字经济政策实施之后,上市数字经济企业的发展为工业带来技术支持和环境支持,提升数字经济水平,降低工业污染排放强度,并提高全要素生产率,实现减排增效,推进工业绿色转型。(2)大数据、互联网等数字技术系统监控生产流程,改善要素配置情况,减少工业综合能源消费量和煤炭消费量,提高能源资源利用效率,并减少工业综合能源消费中煤炭消费量占比,增加更清洁的天然气消费量占比,优化能源资源利用结构。(3)数字经济的发展能够提高研发投入,增加创新产出,提高技术创新水平,进一步促进绿色产品创新和绿色工艺创新,提升绿色创新水平,实现兼顾经济效益和环境效益的工业绿色转型升级。因此,在数字经济时代,增效和减排可以进行调和,不是绝对的非此即彼。根据本文的研究提出以下对策建议。
(一)加强数字技术创新
前沿数字技术研发是发展数字经济的核心基础,加强数字技术创新,要不断突破现有的技术壁垒,使数字技术稳定、安全,并实现高数据流转率、高确定性、高网络质量、高技术能力、高能效水平和高计算效率。当前对数字技术的研发力度要进一步加强,尽早研发新数字技术,占据技术创新制高点。我国数字技术标准化水平也需要进一步提高,积极探索新技术与工业融合,促进工业绿色转型。此外,数字化办公、大数据中心、智能化制造等重点领域的信息通信基础设施需要进行全面升级。在改造升级过程中,要扩大应用新一代信息网络的范围,对工业互联网、5G通信基站、人工智能计算中心等基础设施进行重点建设,不断进行数字技术创新,促进数字技术在实体经济尤其是在工业中的规模化应用,加快推进工业绿色转型。
(二)加强工业内部新兴数字技术的应用
在采购原材料、运输、设计产品、生产加工、销售和售后服务等工业生产、服务流程中广泛应用数字技术,使数字经济赋能生产、服务全部流程,促进工业绿色转型。可以构建数字化生产平台,实现企业内部互联互通,实现工业企业部门的生产信息流统筹,优化工业资源配置;借助数字技术在工业领域的应用改变以土地、劳动、资本等传统生产要素指导的工业生产模式,优先在工业重点企业应用区块链、人工智能、大数据分析、云计算等新兴数字技术,实现重点企业数字化、智能化改造,促进智能工厂的建造,发挥龙头工业企业示范作用;实行新经营业态,比如远端运行维保、规模化个性定制,在线上进行工业部分经营活动,提升资源配置效率,减低工业经营成本,实现工业线上经营活动和线下经营活动无缝对接,各部门之间互联互通,对市场需求端可以快速、准确作出反应,不断对产品体验进行创新,提升工业企业竞争力。此外,对中小微企业提供政府补贴促进数字化、智能化改造,分阶段分批次开展生产信息数字化采集服务,不断提升中小微企业生产能力。
(三)培育第三方服务主体
丰富数字技术产品服务供给,提高数字化节约能源资源产品供给能力,避免出现数字技术产品服务供给不足的情况,发挥供给侧牵引作用,增强数字经济赋能工业绿色转型能力,充分发挥数据潜力,推进工业绿色发展。支持数字经济企业创建提高节约能源资源产品和服务,满足“三高”生产模式的工业企业节约能源资源需求,为传统工业提供解决方案和数字化产品、服务,减少工业能源消耗和资源消耗,促进工业绿色转型。此外,对传统工业进行智能诊断,提供数字化、绿色化领域的咨询服务,通过定制的数字化、绿色化诊断咨询为不同类型的传统工业提供具有针对性的合理改造方案,提高智能制造能力,助推工业绿色发展。
(四)加深数字经济和技术创新有效结合
在数字经济与实体经济深度融合的背景下,要充分发挥数字经济在创新领域中的催化作用,加大对生产模式、产品、服务等方面创新项目的资金支持,保证企业创新活动持续性发展,推动工业创新要素与数字经济深度融合,不断提高工业企业创新能力。并且进一步发挥技术创新在实现工业绿色转型的推动作用,增强工业自主创新主观能动性,建立自主研发机构,提高研发强度,加快转化工业创新成果,不断进行自主创新,提高技术创新水平,从而实现工业绿色转型升级。
(五)吸收和培养人才
中国工业与发达国家工业、新兴经济体工业的竞争,不仅仅是市场竞争,也是对人才进行竞争,数字经济赋能工业绿色转型依赖于高端人才。因此,需要吸收国内外高端人才推进工业绿色转型,加强对数字化、工业绿色转型领域研发项目的支持,丰富高端人才的引进方式,加强对数字经济和工业绿色转型领域人才的引培力度。对于数字经济领域和工业绿色转型领域需要的人才,各类院校要构建配套的人才培养体系,开设相关课程,与工业企业共同联合培养,通过建设对重大技术人才培养基地,培养基础应用人才和数字高层次人才,构建完善的人才培养体系,为数字经济赋能工业绿色转型发挥基础性人才保障作用。