摘要:当前我国低生育问题已经成为不争事实,女性教育水平提高强化其在婚姻匹配中的优势地位,对生育意愿与行为产生重要影响。文章运用中国综合社会调查(CGSS2017)数据,建立家庭内部生育决策模型,构建以收入赋权的婚姻教育匹配指数,探究婚姻教育匹配对女性生育意愿与行为的影响及作用路径。研究发现,婚姻教育匹配指数增加,即妻子的受教育水平越高于丈夫,会显著降低女性生育意愿、减少生育行为,并扩大生育意愿与行为的偏离程度。婚姻教育匹配对低收入、夫妻双方均未接受过高等教育及农村家庭女性生育意愿与行为的抑制作用更为明显,并且女性在婚姻教育匹配中的优势增加会显著降低男孩偏好。进一步发现,婚姻教育匹配会通过改变女性生活满意度与性别角色转换度对生育意愿与行为产生影响。因此,围绕优化教育资源配置、树立新时代婚姻家庭观念等方面制定政策有助于提升生育水平。
关键词:婚姻教育匹配;家庭生育决策;生育意愿;生育行为
中图分类号:C913 文献标识码:A
文章编号:1005-3492(2024)02-0133-16
生育水平是决定人口发展趋势的主要因素,也是生育政策研究的重要焦点。进入21世纪以来,我国育龄妇女生育水平长期持续处于低位,2010年“六普”时的总和生育率甚至达到1.18。为扭转这一局面,国家于2013年、2015年、2021年三次调整生育政策,力求释放生育潜能促进人口长期均衡发展。随着政策生育空间的扩展,生育规模从2011年的1600万缓慢上升至2016的1786万,年均增速为2.33%,后转而下降至2022年的956万,年均下降138万,人口出生率创历史新低,仅为6.77‰,可见生育政策调整并未引起生育数量显著增加。伴随生育水平日益低迷的是女性相对教育水平大幅提升。受教育水平提高不仅增加女性实际收入水平,提高个体时间价值,而且改变生活与婚姻的价值观念,逐渐增加个体独立性与自主性。因此,随着外部政策作用式微与女性个体生育自主性增强,亟需从家庭层面分析女性生育行为的影响因素,探寻形成长期低生育现象的主要机制,有效提升我国育龄妇女生育水平。
婚姻作为家庭产生的基本前提,是维持子女抚育的重要社会制度,夫妻间的婚姻匹配模式一定程度上决定了生活满意度与婚姻稳定性,进而影响着家庭层面的生育决策行为。那么,随着女性个体教育水平提升与经济独立能力增强,夫妻间婚姻教育匹配程度是否影响女性生育意愿与行为?婚姻教育匹配通过何种路径影响女性生育意愿与生育行为?面对不同收入水平、不同区域与城乡的家庭而言,婚姻教育匹配对生育意愿的影响是否存在异质性?基于此,本文构建家庭内部生育决策模型,利用中国社会综合调查数据(CGSS2017),将家庭婚姻、教育水平与女性生育意愿和行为置于同一分析框架下,在充分考虑教育与收入相关性的基础上构建婚姻教育匹配指数,实证检验婚姻教育匹配对女性生育意愿与行为的影响程度及路径机制,有助于了解女性生育意愿与行为的影响因素并把握应对低生育率的政策导向,促进我国人口长期均衡发展。
生育意愿作为实际生育行为的指向标,不仅受到教育水平提升带来的直接影响,还会受到夫妻婚姻教育匹配差距所产生的间接影响。现有研究针对女性的生育意愿与行为及其影响因素、婚姻匹配模式进行了卓有成效的研究,主要集中在以下三个方面。
第一,理想层面的生育意愿与现实层面的生育行为紧密相连,通过了解个人生育意愿能够洞悉生育行为。一方面,已有研究关注生育意愿的测量。生育意愿是出于个人与家庭对于子女的偏好并考虑到限制条件后的生育表达。作为一个多梯度概念,具有不同的衡量方式,现有研究主要以理想子女数、期望子女数以及打算生育子女数来进行测度,依次接近女性真实生育水平,但仍存在一定偏离现象。当前我国城乡居民的生育意愿已低于更替水平,越年轻的出生队列其生育意愿越低。另一方面,生育意愿作为微宏观因素互动的结果。就宏观层面来看,经济社会发展转型必然伴随着生育意愿的降低。我国不仅存在鲜明的人口政策介入特征,而且社会保障、公共服务、住房负担、收入不平等等诸多宏观因素均对生育意愿产生显著影响;就微观层面而言,女性生育能力会随着个体年龄发生变化,同时身体状态与生殖能力等个体因素,职业选择与朋辈压力等环境因素,生活满意度与婚姻稳定性等家庭因素也会对女性生育意愿与行为产生影响,尤其是随着女性受教育程度提高,增加了生育机会成本并推迟生育时间,从而降低整体生育水平。总而言之,女性生育意愿日渐低迷已成不争事实,宏观层面与微观层面的生育意愿影响因素探究逐渐丰富,但是女性生育意愿与行为作为家庭内部决策结果,多由夫妻双方共同协商决定,更需从家庭视角探究其影响因素。
第二,婚姻搜寻与匹配作为家庭产生的前提条件,影响着家庭内部成员的个人福利水平。婚姻市场中双方为追求自身经济利益最大化,通常会选择与自己具有相似特征的人进行匹配,实现稳定的婚姻匹配机制。按照双方某一特征是否保持一致可以将婚姻匹配类型划分为“同类匹配”与“梯度匹配”,若考虑到不同的匹配维度,也可进一步细分为年龄匹配、社会地位匹配、职业匹配、教育匹配及收入匹配等。随着女性受教育水平提高,有关婚姻教育匹配模式的探讨逐渐增加。王立军等指出我国女性受教育程度与男性的差距逐渐缩小,甚至性别教育的差异发生逆转,“女高男低”的新格局正在逐渐形成。婚姻教育匹配模式实际是夫妻双方教育程度的相互比较,受教育程度较高的一方通常能够掌握更多的经济社会资源⑩,在家庭内部决策过程中具有更多的话语权;但是目前婚姻教育匹配的衡量多为夫妻双方教育水平的同质性对比,因而需要充分考虑受教育程度与个体收入水平之间的相关性,全面科学地衡量婚姻教育匹配程度。
第三,生儿育女作为婚姻延续的重要纽带,夫妻双方博弈过程中女性的受教育程度与经济状况会决定其家庭谈判能力,进而会影响生育意愿与生育行为。对女性而言,生育行为会降低女性的健康福利11,容易产生产后焦虑、抑郁等心理疾病与妊娠期高血压等生理疾病,同时受到“男主外、女主内”传统性别分工思想影响,女性承担了抚育子女过程中的主要责任,这将降低女性的劳动参与率、阻碍人力资本投资与职业发展,使其遭受不同程度的“母职惩罚”,以至于女性所付出的生育养育成本远高于男性,使得生育意愿呈现出男高女低的显著特点。Manser & Brown曾将家庭内部的一系列决策视为家庭博弈的结果,女性的生育意愿与行为便是家庭生育决策最直接的反映。受教育程度的提高与经济地位的独立将成为女性在家庭内部博弈过程中的重要谈判筹码,决定了女性在谈判过程中能否掌握足够的话语权。由此可见,不同婚姻匹配模式影响着夫妻双方博弈过程中的优势地位,进而可能影响女性的生育意愿并改变家庭生育决策。
综上所述,现有文献对女性生育意愿的影响因素与婚姻匹配模式进行了大量探究,多关注经济社会等宏观层面的影响因素,但是使用宏观政策措施调控微观生育行为效果甚微,首先,更需从个人与家庭层面深入思考并精准施策以提升女性生育意愿;其次,重视女性受教育程度对生育意愿与行为的影响,却忽略生育行为是家庭决策的结果,夫妻双方受教育程度所决定婚姻教育匹配模式同样会对生育决策产生重要影响;最后,婚姻匹配模式多以对比质性分析为主,如婚姻教育匹配以“男高女低”的简单比较并借助虚拟变量进行表示,同时与受教育程度提升相伴的是收入水平的增加,这也决定了高等教育婚姻匹配与低等教育婚姻匹配存在明显差异性。基于此,本文将探究婚姻教育匹配对女性生育意愿与生育行为的影响,可能的边际贡献包括:(1)构建婚姻教育匹配指数,以不同教育层次的平均收入水平对婚姻教育匹配程度进行赋权,区分不同教育水平的婚姻匹配的差异性,避免了传统的婚姻教育匹配中“男高女低”、“丈夫高一级”等无差异的测度方式;(2)构建家庭内部生育决策模型,从理论上分析婚姻教育匹配与生育决策之间的关系,并通过实证计量模型进行检验;(3)探究婚姻教育匹配对女性生育意愿与行为产生的异质性及其影响机制,有针对性地提出相关建议提升我国育龄女性生育意愿。
我国家庭生育养育成本分担模式已经发生变化,经济供给模式由“男性养家”转变为“夫妻共同养家”,而家庭养育模式仍然保持“女性参与”为主,无疑增加了女性兼顾家庭与工作的压力。随着女性受教育水平与社会经济地位的提升,其在家庭内部的相对优势逐渐增加,为了保证自身效用水平而存在与丈夫不同的生育意愿。借鉴McElroy and Horney、Eswaran的研究并进行拓展,构建家庭内部生育决策模型。假设婚姻市场的个体是充分理性的,已婚家庭仅包括丈夫(H)与妻子(W),面临生育意愿与行为的抉择。夫妻双方会根据自身健康水平、家庭经济状况等因素决定生育子女的数量。假设
与
分别代表夫妻双方家庭消费为c时的效用,则夫妻双方决定生育子女数量所获得的效用分别为

其中,y表示家庭收入水平,n表示夫妻意愿子女数或实际子女数,b代表女性在生育与抚养期间的成本。考虑到我国长期受到传统性别分工思想影响,女性往往承担更多生育、养育成本,包括花费在孩子身上的时间成本与机会成本,同时女性的生育行为是以健康为代价,生育胎次增加会显著降低女性寿命,并且产中会产生妊娠期高血压疾病影响生理健康,产后出现抑郁症的比例更是高达24.2%—32.53%,严重损害心理健康并造成沉重的生理成本。因此,在效用函数引入一个乘法因子D(n),表示相对丈夫而言,妻子因生育行为而导致自身效用下降的比例,即:

对于所有的n,存在D(n)>0,D'(n)<0。
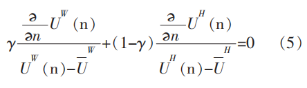
假设妻子的谈判能力(Bargaining Power)为γ(EM),丈夫的谈判能力则为1-γ(EM),EM代表婚姻教育匹配差距,即妻子与丈夫受教育水平的差距,且γ'(EM)>0,即妻子在婚姻教育匹配中所占据的优势越大,在家庭内部决策过程中谈判能力越强。当γ=0或1时,生育决策仅由夫妻中的一方所决定。随着女性相对教育水平提高及经济独立性增加,妻子谈判能力γ也随之增加。一般情况下,生育子女数量是夫妻双方共同决定,即0<γ<1。那么在夫妻博弈过程中,最终生育子女数由非对称纳什均衡解给出。则生育子女数为家庭带来效用为:

其中,
分别为妻子与丈夫谈判的威胁点(Threat Points),即谈判破裂后双方各自所能产生的效用水平,谈判破裂的结果可能是双方离婚或共享不合作所带来的效用。女性受教育程度与经济独立性的增加会赋予女性更多权力并提高其威胁点。对(3)式取对数进行单调变化,可得:

因此,非对称纳什均衡解使得夫妻双方效用加权平均最大化,权重分别γ是与(1-γ)。对(4)式关于最大子女数n求一阶导与二阶导,令一阶导等于0、二阶导小于0求其极大值。即:

假设
为上述博弈的均衡解,当
时,必然使得
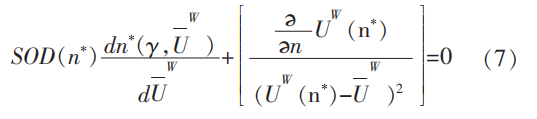
。为简化表达,假设所求得关于n的二阶导为SOD(n*),并满足SOD(n*)<0。然后对一阶导关于γ求全微分,可得:

其中,(6)式第二项
,故
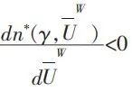
时上式成立,即随着婚姻教育匹配中妻子所占优势越大,在家庭内部决策过程中谈判能力越强,意愿子女数与实际生育子女数越少。
同理,对于一阶导关于
求全微分,可得:

其中,(7)式第二项
,故
时上式成立,即随着婚姻教育匹配中妻子所占优势越大,女性的谈判破裂威胁点效用越高,意愿子女数与实际生育子女数越少。
(一)数据来源
本文使用2017年中国综合社会调查数据库(CGSS 2017),该数据库收集了社会、社区、家庭与个人多层次数据,样本覆盖全国31个省份(自治区、直辖市),满足随机性与代表性,具有较强权威性与时效性。CGSS2017年数据完成有效问卷12582份。根据研究对象和研究内容,对抽样调查样本进行筛选处理,主要处理方法如下:首先,本文研究对象是女性生育意愿与生育行为,剔除样本中性别为男性的样本;其次,本文研究内容主要讨论夫妻双方的婚姻教育匹配程度,剔除样本中未婚、离异与丧偶的样本;最后,剔除存在“拒绝回答”、“不确定”、“不知道”等数据缺失样本。完成有效样本筛选后,最终保留样本4274个。
(二)变量选取
(1)被解释变量:选择女性生育意愿与实际生育行为两个被解释变量。其一,生育意愿以问卷中“如果没有政策限制,您希望有几个孩子?”的回答进行衡量;其二,生育行为以问卷中“请问您有几个(亲生)子女?男孩与女孩分别为几个?”的回答进行加总来表示。
(2)核心解释变量:婚姻教育匹配指数。以往研究中,关于婚姻教育匹配多为夫妻双方教育水平的简单对比划分,以“同质婚”“夫高妻低差1级”“夫低妻高差1级”等虚拟变量表示,但这种婚姻教育匹配测量方法存在一定不足,例如妻子为初中学历、丈夫为小学学历与妻子为本科学历、丈夫为高中学历的婚姻教育匹配度虽然相同,但是随着学历层次提高与收入水平提升,高学历与低学历层次的婚姻教育匹配相差一级难以相提并论。因此,本文在衡量夫妻教育水平差异的基础上,以收入作为权重进行赋权,构建婚姻教育匹配指数,确保随着教育程度提高与收入水平增加,不同教育层次的婚姻匹配具有异质性。具体表达如下:

其中,eduw、eduh分别代表妻子与丈夫的受教育水平,wmax是指最高受教育群体(本文指研究生及以上学历)的平均年收入水平,wwi、hwi分别代表妻子与丈夫实际受教育程度所对应的平均年收入水平。若妻子受教育水平高于丈夫,则Edu_matchingi>0,且两者教育差距越大,在收入水平作用下,Edu_matching值越大;同理,若妻子受教育水平低于丈夫,则Edu_matchingi<0,当夫妻教育水平相同,Edu_matchingi=0。根据图1可以发现,不同婚姻教育匹配程度的女性意愿子女数在1.86—2.10之间,随着婚姻教育匹配指数增加,妻子的生育意愿越低,初步来看二者呈负相关关系。

资料来源:根据2017年中国综合社会调查数据(CGSS2017)整理得到。
(3)控制变量:包括个人层面与家庭层面变量。就个人层面而言,将女性宗教信仰、政治面貌、年龄区间、婚姻态度及健康状况作为控制变量。其中,若无宗教信仰赋值1,否则为0;若为中共党员,政治面貌赋值为1,否则为0;女性年龄区间划分为18—34岁、35—49岁、50—64岁及65岁及以上四个区间;婚姻态度以婚前性行为、婚外性行为及同性性行为认同程度的加权平均值表示;健康状况按照其健康程度由很不健康到很健康依次赋值1—5。就家庭层面而言,将家庭住房面积、自评家庭经济地位、夫妻双方受教育程度、养老观念及养老保险等变量纳入模型中。其中,夫妻双方受教育程度以妻子受教育程度与丈夫受教育程度之和表示;养老观念以是否准备依靠子女养老表示,若依靠子女养老赋值为1,否则赋值为0;养老保险变量以是否参加商业养老保险衡量,若参加商业养老保险赋值为1,未参加赋值为0。此外,控制调查访问所在省级固定效应,以消除省份经济发展水平对女性生育意愿与生育行为的影响差异。
(4)中介变量:生活满意度以问卷中询问被访者“您觉得您生活是否幸福?”的回答表示,既包含了妻子对日常生活幸福度的主观评价,也包含了妻子对婚姻幸福程度的评价,从非常不幸福到非常幸福依次取值为1-5;性别角色转换度衡量当前性别平等认知程度,以女性对以下四个问题认同程度的加权平均来表示,分别为“男人以事业为重,女性以家庭为重”“男生能力天生比女性强”“干得好不如嫁得好”“在经济不景气时应该先解雇女性员工”,取值1—5依次为完全不同意到完全同意,其值越小,表示女性性别平等观念越浓厚,角色转换度越高。
(三)描述性统计
表1为主要变量的描述性统计分析。女性生育意愿的平均值为2.009个,实际生育子女数平均值为1.747个,均低于更替水平,生育偏离程度均值为0.262个;婚姻教育匹配指数均值为-0.671,说明我国婚姻教育匹配程度整体仍呈现“男高女低”现象。女性养老观念逐渐发生转变,期望依靠子女养老的家庭规模已经低于50%;商业养老保险的参保率仍然较低,仅不超过10%的人购买商业养老保险。生活满意度均值为3.889,整体比较满意,性别角色转换度的均值为2.787,体现性别平等认同程度不断提高。

注:数据来源于2017年中国综合社会调查数据库(CGSS2017)。
(四)模型构建
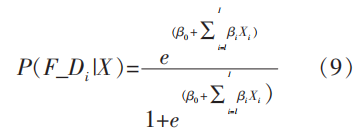
考虑到女性生育意愿与生育行为兼具离散性与排序性特征,为了探究婚姻教育匹配对女性生育意愿与生育行为的影响,本文使用Order-logit模型进行回归分析。模型中不同女性生育意愿与生育行为取值的概率为:

其中,F_Di表示第i个女性意愿子女数或实际子女数,其取值为{0,1,...,n},X为解释变量向量集合。则回归方程为:

其中,P(F_D>n\X)表示生育意愿大于n个累积概率,P(F_D≤n/X)表示生育意愿小于等于n个的累积概率,Edu_Matching表示婚姻教育匹配指数,xi表示相关控制变量,εi为误差项。
(一)基准回归结果
表2报告了婚姻教育匹配与女性生育意愿、实际生育行为的回归结果,均控制了省份固定效应。第(1)和(3)列被解释变量为女性意愿子女数,婚姻教育匹配的系数为-0.023,加入控制变量后,婚姻教育匹配指数仍与女性生育意愿呈负相关变动关系,并在5%水平上显著,即婚姻教育匹配指数越大,女性的相对教育水平与经济地位越高,生育意愿下降的可能性越大。第(2)和(4)列被解释变量为女性实际子女数。婚姻教育匹配指数越大,实际生育子女数量也越少,加入控制变量后仍显著抑制了女性生育行为。第(5)列以生育偏差为被解释变量,由意愿子女数与实际子女数之差表示。婚姻教育匹配指数越大,生育意愿与实际生育行为的偏离程度增加的概率越高。由于婚姻教育匹配差距扩大,女性相对受教育水平提高,进入劳动力市场的概率上升,生育子女的机会成本增加,从而难以维持生育意愿数量,扩大生育意愿与行为的偏离程度。
就控制变量来看,出生队列越早的女性,生育意愿与实际生育行为越高。婚姻态度趋向现代化的女性意愿子女数与实际子女数往往越少,由于受经济社会发展与时代生育氛围的共同作用,年轻女性的婚姻态度更加现代化,趋向于少生。家庭住房面积在1%显著性水平下提升女性的生育意愿与生育行为,由于我国存在“买房安居”的传统观念,儿女成婚多需要单独购置房产,以提高个人与家庭的归属感与安全感,那么家庭住房面积越大,子女成婚时购房压力越小,对生育意愿具有明显的正向促进效应。夫妻教育年限之和越高,拥有高生育意愿的概率越低,越倾向于少生优育。此外,养老观念对女性的生育意愿与行为也存在显著影响,期望年老时由子女养老的家庭会存在更高的生育意愿与生育行为,与已有研究保持一致。

注:*、**、***分别表示在10%、5%、1%水平上显著;括号内为稳健标准误,区间临界值cut省略,下表同。
(二)稳健性检验
为了保证结果的稳健性,本文进行了一系列稳健性检验。首先,替换核心解释变量。借鉴何林浩、陈梦的做法,选择传统婚姻匹配的衡量方式,使用妻子与丈夫受教育水平之差来衡量婚姻教育匹配程度。根据表3第(1)与(2)列所示,妻子的教育水平越高于男性,其意愿子女数与实际子女数减少的概率越大。其次,更换模型回归方法,使用普通线性估计方法OLS进行估计,如(3)与(4)列所示,夫妻婚姻教育匹配指数每增加1个单位,意愿子女数会减少0.019个,实际子女数也会降低0.014个。最后,由于女性意愿子女数与实际子女数均为非负计数变量,选择使用泊松回归(Poisson)继续估计,如(5)与(6)列所示,控制其他变量后,婚姻教育匹配指数增加同样会抑制女性的生育意愿与生育行为,且在5%置信水平上显著。可以发现,这些结论均与基准回归保持一致,进一步保证了本文结论的稳健性。

注:*、**、***分别表示在10%、5%、1%水平上显著;括号内为稳健标准误。
(三)内生性讨论
上述回归结果可能由于内生性问题存在估计偏误,继续讨论内生性问题。本文主要的内生性来源包括:(1)遗漏变量,女性的生育意愿与实际生育行为往往受到某些不可观测因素的影响,如人生经历、性格特征、感情经历等因素,这些因素难以量化而常被忽略,需进行控制以保证回归结果的偏误尽可能减小;(2)选择偏误,由于婚姻教育匹配指数越大的女性,受教育水平相对更高、生育意愿较低,而具有低生育意愿的女性为躲避“母职惩罚”,也可能会选择受教育程度比自己低的男性成婚,由此产生自选择偏差(self-selection)导致的内生性问题。本文选择工具变量法与倾向匹配得分法来缓解内生性问题,保证回归结果的稳健性。
1.利用工具变量法解决遗漏变量问题
借鉴Billari等构造工具变量的思路,选择位于同一调查省份除被访者本人以外的其他被访者,并求其婚姻教育匹配指数的均值作为工具变量来缓解遗漏变量所导致的内生性问题。从表4中可以看到,第(1)列为第一阶段回归结果,F统计量显著大于10,表示工具变量与婚姻教育匹配具有显著相关性;第(2)列与第(3)列分别为以意愿子女数和实际子女数为被解释变量的回归结果,可以发现,Kleibergen-Paaprk LM统计量和 Cragg-Donald Wald F统计量远大于其临界值,通过识别不足检验及弱工具变量检验。随着女性在婚姻教育匹配中的优势越大,女性的生育意愿与生育行为下降越多,且实际子女数的下降幅度大于意愿子女数。

注:*、**、***分别表示在10%、5%、1%水平上显著;括号内为稳健标准误。
2.利用倾向得分匹配解决选择偏误问题
借鉴Rosenbaum & Rubin的方法,按婚姻教育匹配程度将总样本分为两部分,以婚姻教育匹配模式为女性教育程度高于男性(婚姻教育匹配指数>0)的样本作为处理组,将匹配模式为夫妻教育水平相同或丈夫教育程度高于妻子(婚姻教育匹配指数≤0)的样本纳入控制组,使用Logit模型计算倾向得分值再进行匹配。为检验PSM的有效性,绘制处理组与控制组的核密度分布图,图2为使用近邻匹配1∶1法的匹配结果,可以发现匹配前,处理组与控制组分布存在一定差异,其峰值相差较大;在匹配之后,控制组与处理组的分布较为一致,匹配效果较好。

表5回归结果显示,采用五种不同匹配方法的估计结果基本保持一致,表明倾向匹配得分的结果具有良好的稳健性。可以看到,不论采用何种匹配方法,平均处理效应均保持在-0.09—-0.12之间,并至少在10%显著性水平上成立。由此可知,婚姻中妻子受教育程度偏高的婚姻匹配模式会显著降低女性的生育意愿与生育行为,再次验证了基准回归中的结论,具有一定稳健性。

注:*、**、***分别表示在10%、5%、1%水平上显著。
(四)异质性分析
为了分析不同类型家庭的婚姻教育匹配对生育意愿与生育行为的影响,继续将所有样本按照收入高低、是否接受高等教育、城乡、所属地区及意愿子女性别进行分组回归,回归结果如表6所示,由于篇幅限制,仅展示生育意愿的回归结果。
首先,家庭收入水平是影响女性生育意愿与生育行为的重要因素。根据CGSS2017年数据计算发现家庭收入水平的中位数约为45000元,将夫妻收入之和高于45000元的家庭设定为高收入家庭,剩余的划分为低收入家庭。发现婚姻教育匹配指数增加对低收入家庭的女性生育意愿抑制作用显著大于高收入家庭。这可能是因为,相对低收入家庭而言,高收入家庭夫妻双方的受教育水平相对更高,一定程度上缩小夫妻间教育差距与收入差距,同时高收入家庭的女性面临着更高的生育机会成本,从而使得其生育意愿本就较低,婚姻教育匹配指数所产生的生育抑制作用相对较小。
其次,是否接受高等教育对女性生育意愿也会产生影响。若按照夫妻双方是否接受高等教育来看,在双方均未接受过高等教育的家庭中,随着婚姻教育匹配指数增加,妻子的意愿子女数减少的可能性更大,而对于至少有一方接受过高等教育的家庭,婚姻教育匹配差距的扩大对生育意愿的影响并不显著,主要源于这一类型家庭受到生育机会成本与生育文化观念束缚,更加重视孩子质量而非数量,从而保持较低的生育意愿。若按照妻子的户口登记状态将所有样本划分为农村与城市家庭,发现不论城市家庭还是农村家庭,婚姻教育匹配的系数均为负,农村家庭婚姻教育匹配指数对女性生育意愿的抑制作用明显大于城市家庭,这主要是因为,农村地区“男主外、女主内”等传统观念更加明显,以至于妻子的生育、养育成本远比丈夫更高,因而婚姻教育匹配指数一旦增加,其对农村女性生育意愿的抑制作用更大;若按照调查所在区域划分,对于东部和西部地区家庭,夫妻婚姻教育匹配指数越大,女性的生育意愿越低,而对于中部地区家庭而言,夫妻婚姻教育匹配未对生育意愿产生显著影响。
最后,生育意愿的衡量不止包括生育的数量,还包括子女的性别偏好。传统性别偏好会影响女性意愿子女数,引致出生性别比失衡。本文按照不同性别的意愿子女数进行划分,发现婚姻教育匹配指数越大,对意愿男孩数将产生显著的抑制作用,即妻子的教育水平越高于男性,其意愿男孩数减少的可能性更大,对意愿女孩的数量并无显著影响。这可能是因为,随着社会生育文化转变,传统的“男孩偏好”在女性生育群体中的地位逐渐式微,以至于妻子的相对教育水平越高,对意愿生育男孩数量的抑制作用越明显。

注:*、**、***分别表示在10%、5%、1%水平上显著;括号内为稳健标准误。
(五)机制分析
为了探究婚姻教育匹配对女性生育意愿与生育行为的影响路径,借鉴江艇的方法,只考察婚姻教育匹配对中介变量的影响,以克服原有中介效应模型存在的内生性问题。模型构建如下:

其中,被解释变量life_satisfaction为生活满意度,role_transformation为性别角色转换度,α1为婚姻教育匹配对中介变量的影响程度,其他与前文保持一致。
一方面,根据表7第(1)列可知,婚姻教育匹配的回归系数为-0.019,且在5%置信水平上显著,说明婚姻教育匹配指数越大,妻子生活满意度越低。由于本文研究对象仅为已婚妇女,生活满意度不仅包括妻子对日常家庭生活满意度的评价,也涵盖女性对婚姻生活的主观评价。女性对生活与婚姻的主观感受往往影响着未来生育计划,若生育一个孩子后生活满意度与婚姻满意度降低,均会显著降低妻子的生育意愿,并改变生育行为,同时日常生活中女性对公共服务、公共教育及自身就业等方面满意程度作为生活满意度的具象化表现,亦会显著影响女性的生育意愿。因此,婚姻教育匹配差距扩大将会降低生活与婚姻满意度,从而减少女性生育意愿与生育行为。
另一方面,根据表7第(2)列可知,婚姻教育匹配差距对女性性别角色转换的影响显著为负,即婚姻教育匹配指数越大,女性相对教育程度与收入水平提升,性别平等观念越强。首先,性别平等观念作为影响生育意愿与生育行为的重要因素,传统性别角色模式往往遵循“男强女弱”、“男主女从”的不平等观念,而性别不平等观念又与生育观念相互渗透,加深对“多子多福”等传统生育观念的认同度,所以性别平等观念越传统(角色转换度取值越大)的女性往往更会倾向多生。其次,随着社会变迁与经济发展,女性性别角色转变明显,具有现代化性别观念的女性逐渐摆脱家庭束缚,走向工作岗位,承担着有偿工作、家务劳动及养育子女等多重负担,面临的机会成本更大,弱化了女性的生育意愿。因此,性别角色转换成为婚姻教育匹配影响生育意愿与行为的另一路径。

注:*、**、***分别表示在10%、5%、1%水平上显著;括号内为稳健标准误。
提升女性生育意愿、增加生育行为是提振生育水平的关键。本文基于家庭层面,采用CGSS2017年数据,构建婚姻教育匹配指数,探究婚姻教育匹配对女性生育意愿与生育行为的影响及其机制路径。得到以下结论。
第一,随着婚姻教育匹配指数增加,即妻子的教育水平越高于男性,会显著降低生育意愿、减少生育行为,扩大生育意愿与生育行为的偏离程度。不仅女性自身受教育水平会影响其生育意愿,夫妻双方的婚姻教育匹配程度也会产生显著影响。通过替换变量、更换模型以及使用工具变量法与倾向得分匹配法缓解内生性后,婚姻教育匹配指数对生育意愿与生育行为的影响仍显著为负。
第二,婚姻教育匹配对女性生育意愿与生育行为的影响存在显著异质性。具体来说,婚姻教育匹配指数对低收入家庭、夫妻双方均未接受过高等教育、农村家庭的女性生育意愿与行为的抑制作用更为明显;就地区异质性而言,婚姻教育匹配仅对东、西部地区女性的生育意愿与行为存在显著影响。此外,随着婚姻教育匹配指数增加,女性意愿子女性别为男孩的数量显著减少。
第三,婚姻教育匹配通过改变生活满意度与性别角色转换水平两条路径对生育意愿与行为产生抑制作用。女性在婚姻教育匹配中所占优势越大,不仅会显著降低女性生活满意度与婚姻满意度,影响自身的主观感受,同时也会影响女性的性别平等观念,使其更加倾向于现代化性别观念并走向劳动力市场,增加生育的直接成本与间接成本,从而降低生育意愿与生育行为。
影响女性生育意愿的因素繁多,产生的影响效应错综复杂。就教育层面而言,不仅个体受教育水平会影响生育意愿,夫妻间的婚姻教育匹配程度同样会对生育意愿产生显著影响。在婚姻匹配愈发自由、多样的背景下,提升育龄妇女生育意愿的着力点并不是限制婚姻教育匹配的多样性,而是应当通过缩小教育差距来提高全社会适配比例,平等分担家庭责任提升女性生活满意度、缓解工作—家庭的冲突。因此,本文的政策启示包含两个方面。
一方面,优化教育资源配置。婚姻教育匹配差距扩大的根本原因是我国教育不平等现象依然存在,尤其是地区、城乡的教育差距。政策制定部门应制定多种干预措施缩小教育差距,如针对公共教育资源,要建立制度性教育平衡机制,不断缩小城乡、区域间公共教育资源数量与质量差距,构建优质均衡的公共教育服务体系;针对教育资源获取劣势群体,通过相关的教育政策适度倾斜,再配合其他社会政策,尽可能缓解农村地区、低收入群体的教育劣势,并通过开展职业技能培训、鼓励在职教育等方式增加教育机会,从而在总体上缩小适婚群体间的教育差距,缓解婚姻教育匹配差距过大对生育意愿的抑制作用。
另一方面,积极倡导新时代的婚姻家庭观念。本文机制分析发现,婚姻教育匹配差距增加会通过生活满意度与性别平等观念影响生育意愿与行为,这就要求在全社会倡导公平互助的婚姻关系与良好和谐的家庭氛围,不断增强家庭内部凝聚力。同时积极倡导现代婚姻中夫妻双方地位平等、家庭责任平等的观念,尤其在农村地区、低收入家庭;通过强化男性的家庭意识,既能分担女性的家庭责任,减轻女性育儿照料压力,提升夫妻双方的生活与婚姻满意度,也能缓解女性工作与家庭之间的矛盾,从而提升女性生育意愿、增加生育行为。