在我国,收入不平等一直是影响经济发展与社会稳定的重要议题。改革开放以来,我国在经济和社会等各个方面均取得了显著成就,居民的人均收入水平不断上升,但我国的基尼系数始终维持在0.46左右,高于0.4的国际警戒线,收入差距仍处于全球范围内的中等偏高水平,且城乡之间、区域之间的收入差距依然存在。根据国家统计局数据,2021年城镇居民人均可支配收入是农村居民的2.5倍,意味着中国经济增长所带来的社会财富并未平等地分配给全体人民,有悖于共同富裕的根本目标。缩小收入差距则是解决收入不平等的关键所在。为此,党的二十大报告中提出“中国式现代化是全体人民共同富裕的现代化”,也明确指出“坚持按劳分配为主体,坚持多劳多得,鼓励勤劳致富,扩大中等收入群体,以扎实推进共同富裕”。因此,如何有效缓解收入不平等,实现地区收入收敛,改善收入格局的非均衡状态,对于实现共同富裕具有重要价值和现实意义。
然而,随着数字技术的广泛应用和信息通信技术的持续突破,数字经济已成为推动经济增长的重要引擎。通过大数据、人工智能、物联网和云计算等技术的应用,数字经济不仅深刻变革了传统的生产、分配和消费模式,还对收入分配格局产生了重要影响。其中,技术创新作为数字经济的核心驱动力,虽然能够提升整体经济效率和生产力,但也可能引发不同地区、行业和群体间的收入差距扩大。创新资源往往集中于发达地区和大型企业,形成资源聚集效应;而欠发达地区因创新能力不足,难以分享技术进步带来的红利。这种创新的不均衡性可能加剧地区间的收入差距。但从长期来看,技术创新并非单向放大收入差距,同时也蕴含缩小收入差距的内在潜力。数字经济的发展弱化了技术扩散的空间障碍,尤其是研发要素在地区之间的流动性显著增强,为重塑技术创新与收入差距之间的关系提供了现实基础,有助于促进收入公平并提升社会包容性。具体而言,数字技术的跨区域传播能力具备超越地理与行业限制的特征,使技术创新逐步摆脱“集中于发达地区”的空间惯性,落后地区和传统产业也能够以较低成本接入先进技术资源。研发要素,包括资本、人才等多种资源形式,作为创新成果扩散与再分配的核心载体,在地区间的流动不仅扩大了技术溢出的范围,也在一定程度上改变了创新红利的空间分配格局,使欠发达地区具备技术追赶的可能。研发人员的引进和研发资金的接入使得落后地区能够在不完全依赖传统基础设施和资产积累的前提下,加快技术升级并参与高附加值产业链,可能有助于地区收入逐步收敛,为缩小区域间收入差距提供了新的契机。
因此,本文立足于数字经济的背景下,探讨技术创新与收入差距之间的复杂关系,并着重分析研发要素流动在这一过程中的中介作用。不同于以往仅关注技术创新如何扩大收入差距的研究,本文更关注技术创新能否促进地区收入的逐步收敛,并通过引入研发要素流动这一关键变量,阐明技术创新如何通过研发要素流动推动收入收敛。本文的边际贡献主要体现在:首先,运用β收敛模型并结合空间视角,系统分析技术创新是否能够促进地区的收入收敛,有助于拓展现有实证研究基础。其次,构建了一个清晰的中介机制框架,深入探讨研发要素流动在技术创新影响收入收敛过程中的中介作用,并将创业活力和数字基础设施建设作为调节中介变量纳入分析,深化了技术创新对收入收敛多层次影响机制的理解。最后,本文在识别机制的基础上,为缓解地区收入不平等、实现共同富裕目标提供了具有针对性的参考依据。
在数字经济背景下,技术创新与收入差距的关系已成为学术界重点讨论的议题。数字经济依托现代信息网络,以数据资源为关键要素,推动了经济结构的优化与升级,同时也引发了关于收入分配公平性的讨论。数字经济对收入差距的影响具有一般性和特殊性。一般性表现在技术进步与历次工业革命类似,影响收入分配;特殊性则在于数据要素使用不均与规模报酬递增,易导致垄断与收益集中,强化区域间强者愈强、弱者愈弱的趋势,加剧收入差距。从微观视角来看,柏培文和张云认为,数字经济的发展削弱了中低技能劳动者的相对收入权,导致高技能和中低技能劳动者之间的收入差距进一步拉大。而方福前等则指出,数字基础设施的建设能够促进农民子女实现代际上升流动,从而推动全社会的共同富裕。从宏观视角来看,现有研究更多探讨了数字经济对城乡收入差距的影响。张勋等研究发现,数字经济有助于促进农村居民获得均等的创业机会,从而缩小城乡之间的收入差距。黄庆华等认为数字经济发展能够通过人力资本提升和要素市场优化配置来显著缩小城乡收入差距。然而,Braesemann等指出数字红利可能更多地惠及城镇居民,城乡之间的数字技术接入和数字技术使用差异可能会导致城乡收入差距的扩大。此外,数字经济与城乡收入差距还具有非线性关系,呈现出先缩小后扩大的“U型”变化趋势。李晓钟和李俊雨也指出数字经济的发展对城乡收入差距的影响存在“倒U型”变化,且这种影响具有门槛效应。总体来看,数字经济对收入差距的影响尚未得出一致结论,且并非单一向度,而是具有复杂的双重性。
技术创新作为数字经济的核心推动力,既能通过创造财富促进收入平等,也可能因新财富积累加剧不平等,这种双重影响使其对收入差距的影响呈现非线性特征。Hailemariam等认为在技术创新的初期阶段,收入差距逐渐扩大,但随着创新的深入和扩散,差距将会缩小。安同良和千慧雄表明技术创新与收入差距的关系依赖收入效应的大小,当收入效应处于中间状态时,其关系呈U型特征。此外,技术创新对收入差距的影响在不同群体中表现出显著的异质性。如Leamer认为技术密集型部门的技术创新扩大收入差距,而劳动密集型部门的技术创新缩小收入差距,整体加剧了两部门间的差距。还有部分学者指出,偏向型技术进步带来了技能溢价,进而造成不同技能劳动者的收入差距, 且技术进步的方向与劳动力供给结构不匹配时也会引起工资不平等。但吴鹏等则认为技术应用有助于缓和工资收入差距,但技术研发则扩大了高、低技能劳动者的收入差距。在此背景下,研发要素的流动成为理解技术创新对收入差距影响的关键机制。研发要素流动是指技术、资本、人才等创新资源在地区、行业和国家之间的转移与扩散。Coe and Helpman指出通过国际贸易和技术合作,较为落后的国家能够从先进国家的技术创新中获益,提升自身的生产效率和经济增长潜力。然而,这种研发要素流动对收入差距的影响依然存在不确定性。如果落后地区无法有效吸收和利用流入的技术和知识,则技术扩散可能加剧地区间的收入不平等。Rodríguez-Pose and Crescenzi指出,尽管研发要素流动可促进落后地区发展,但其倾向于流向技术优势区域,易加剧资源集中,令落后地区难以缩小与先进地区的差距。Rodrik同样支持了这一观点,认为研发要素流动虽能促进技术扩散,但这种流动往往会加剧全球范围内的技术与收入不平等。
综合来看,现有文献表明数字经济背景下技术创新对收入差距的影响存在复杂的多重效应。一方面,技术创新与研发要素的流动可以通过促进经济增长和增加就业机会来缩小收入差距。另一方面,如果技术进步和创新资源的分配不均衡,则可能加剧高、低技能劳动者、发达地区与落后地区之间的收入差距。那么,在β收敛的研究框架下,技术创新能否有助于实现地区收入的收敛?研发要素流动能否促进这一收敛过程?以及创业活力和数字基础设施建设能否有效调节研发要素流动的中介作用?本文将对以上问题展开分析与讨论,为促进地区收入收敛提供新的研究视角及实证依据。
在现代经济增长理论中,技术创新被普遍视为是推动经济增长和提高生产效率的重要驱动力,同时也是缩小收入差距的关键因素之一。首先,技术创新通过提升生产效率直接推动了经济增长,并积极促进了欠发达地区的追赶效应。欠发达地区引入先进技术,并借助技术创新更高效地配置和利用资源,以此实现快速赶超,从而缩小与发达地区的收入差距。经济学中的“收敛假说”也指出,落后地区可通过引进和应用创新技术,在较短时间内缩小技术差距,进而实现收入水平的逐步收敛。其次,技术创新带来的知识溢出是推动地区收入收敛的重要动力。数字经济加快了知识和技术的传播,使创新成果不仅在发达地区内部流动,也能扩散至落后地区。这种知识溢出效应有助于落后地区在较低的研发成本下加强技术创新能力,进而促进经济发展与收入增长。落后地区还可以通过学习和模仿,得以弥合技术鸿沟,促进收入趋同。再次,技术创新引发的产业升级与结构调整在促进地区收入收敛中也发挥了关键作用。技术进步能够推动低附加值产业向高附加值转型,显著提升产品的附加值和行业竞争力。发达地区引领新兴产业发展,落后地区则可借助这些创新成果优化产业结构,实现由资源密集型向技术密集型的转变,从而提升经济效率,创造更多高技能和高收入的就业岗位,提升居民收入水平,缩小其与发达地区之间的收入差距。此外,在欠发达地区,政府的政策引导和支持也有助于其突破初期资源瓶颈,通过鼓励研发投资、搭建技术转移平台和构建创新生态,帮助落后地区融入全球创新网络,共享技术发展带来的收益,从而实现技术追赶和收入提升,使得收入格局逐渐趋于均衡。基于此,本文提出假设H1。
假设H1:技术创新能够促进欠发达地区的收入增速加快,从而实现地区收入收敛,缩小收入差距
在技术创新促进地区收入收敛的过程中,研发要素流动发挥了重要的中介作用。新增长理论指出,经济增长不仅依赖于外生性的技术进步,更取决于知识和技术的积累及其在空间上的扩散。基于此,本文从发达地区与欠发达地区的视角出发,探讨技术创新如何通过激发研发要素的跨区域流动,进而影响地区收入格局。从发达地区的视角看,技术创新使得研发活动日益复杂多样,随着边际创新成本上升及要素报酬递减,发达地区逐渐倾向于将部分研发环节外移至其他地区,以优化资源配置。因此,技术创新所带来的研发深化与协作需求,增强了企业外部配置研发资源的动力,推动研发人员与研发资本向非核心区域流动。例如,设立异地研发机构、构建跨区域创新合作网络,促进了要素在地区之间的均衡配置。这种基于技术创新驱动的研发要素再配置,不仅缓解了资源过度集中,还扩大了知识外溢的地理范围,进而在更大空间尺度上提升了技术扩散的广度与深度,有助于缩小区域间的发展差异。对于欠发达地区,空间经济学理论指出,生产要素的跨区域流动会对地区间经济差异产生深远影响。技术创新所驱动的研发要素流动为落后地区提供了技术追赶的现实机会。通过吸纳高素质的研发人才,落后地区不仅能够获取先进的技术知识与创新理念,还可借助技术培训、合作研发等方式,提升本地的技术吸收与自主创新能力。外来研发资本的注入也有效缓解了落后地区长期存在的资金瓶颈,为技术研发和产业升级提供了必要支撑,推动生产效率的稳步提升。这些要素的流入增强了落后地区的技术水平,有助于促进经济增长与收入提升,并缩小与发达地区的差距。
创业活力与数字基础设施作为重要的调节因素,进一步影响了研发要素流动的效率与方向。创业活力体现为地区企业家精神的活跃程度及其创造新企业和新兴产业的能力。在创业氛围浓厚的地区,创新型企业的涌现加快了技术研发与应用,能够吸引更多研发资源流入,促进地区产业升级与技术转化。同时,完善的数字基础设施提升了地区的技术接入能力,降低了技术传播成本,推动了研发要素在更大范围内的配置。创业活力的加强和数字鸿沟的缩小,也为落后地区引入研发要素、实现技术落地提供了可能,从而加强技术创新对收入收敛的推动效应。综上所述,技术创新通过激发研发要素的跨区域流动,成为推动地区收入收敛的重要机制,而创业活力与数字基础设施的建设则调节了要素配置效率与方向,共同强化了技术创新对收入收敛的促进作用。基于此,本文提出以下研究假设。
假设H2:技术创新能够通过研发要素流动促进地区收入收敛
假设H3:在技术创新促进地区收入收敛的过程中,创业活力和数字基础设施建设对研发要素流动的中介效应起到调节作用
(一)模型设定
1.经典β收敛模型
本文首先通过条件β收敛模型考察地区收入水平是否趋于收敛,以及技术创新能否推动地区收入收敛。参考方霞等的研究,构建下列模型。

其中,
表示i地区第t年的城镇居民人均可支配收入增长率;
表示i地区第t年的技术创新水平;
表示i地区第t-1年的城镇居民人均可支配收入,该项系数
显著为负则表明城镇居民人均可支配收入增长率与期初收入水平成反比,地区收入水平存在β收敛;
为以上两个变量的交乘项,如果该项系数
显著为负则表示技术创新有助于推动地区收入收敛;
为控制变量;
为时间固定效应;
为地区固定效应。
2.空间β收敛模型
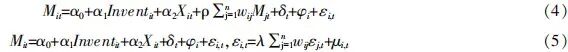
由于地区收入增长会受到邻近地区经济活动的外部性影响,存在空间相关性,但经典β收敛模型未能纳入这一空间特征。因此,本文在条件β收敛模型的基础上引入空间效应,分别构建条件β收敛空间自相关模型(SAR)和条件β收敛空间误差模型(SEM)进一步探析地区收入的收敛问题及技术创新是否能有效促进地区收入收敛。基于此,本文参考孙晋云等的研究,构建下列模型。

其中,
为地理邻接矩阵,如果地区i与地区j相邻则为1,否则为0;ρ为空间自相关系数;λ为空间误差系数;
和
是独立同分布的误差项。系数β1和β3均显著为负,则表明在空间视角下,技术创新能够促进地区收入收敛。
3.中介效应模型
基于上述研究,为讨论技术创新促进地区收入收敛的中介机制,在空间β收敛的研究框架下,选取研发人员和研发资本流动作为中介变量(
),探究技术创新促进地区收入收敛的内在机理。具体研究步骤如下。
第一步,分别构建条件β收敛SAR和SEM模型,探究技术创新是否影响研发要素流动。

第二步,将中介变量
及其与期初收入水平的交乘项
纳入条件β收敛SAR模型和SEM模型,以考察研发要素流动能否促进收入收敛。具体模型设定如下。

若(4)、(5)式中
显著为正,则表明技术创新有利于促进研发要素的流动。若(6)、(7)式中
显著为负,表明研发要素流动有助于地区收入收敛,即技术创新能够通过研发要素的流动,促进地区收入收敛。
4.调节中介模型
在中介机制基础上,本文基于被调节的中介效应模型,引入创业活力(
)、数字基础设施建设(
)作为调节变量,进一步挖掘“技术创新→研发要素流动→地区收入收敛”传导路径的机制。具体模型设定如下。

若(8)、(9)式中
显著为负,则表明创业活力能够对研发要素流动的中介效应起到调节作用。数字基础设施建设作为调节变量的调节中介模型原理同式(8)和式(9)。
(二)变量测度
1.技术创新。专利是技术创新成果的重要体现,借鉴孙晋云等的研究,专利授权量较为全面地反映了区域创新活动的强度和技术成果的质量,且具有较高的可比性和数据可得性,能为本文研究提供可靠的依据。因此选取各地级市的专利申请授权量来表征技术创新水平。
2.收入水平。收入水平则由城镇居民人均可支配收入来表征。收入增长率采用“(本期城镇居民人均可支配收入-上期城镇居民人均可支配收入)/上期城镇居民人均可支配收入”来衡量。
3.中介变量。本文将研发要素流动作为中介变量,主要从研发人员和研发资本流动两个方面来表征研发要素的流动。参考马茜等的研究,构建引力模型对研发人员流动和研发资本流动进行衡量与测算。具体模型形式如下。
针对研发人员流动量进行测度。通常来说,收入、房价以及城市宜居性是影响劳动力空间迁移的主要因素,故选取地区工资水平、政府研发支持、房价水平以及环境污染4项指标,运用主成分分析法计算吸引研发人员流动的综合环境指数。在此基础上,以地区综合环境指数为吸引变量,构建研发人员流动引力模型:

其中,
表示t时期i地区流动到j地区的研发人员数;
表示t时期i地区的研发人员数;
是t时期j地区的综合环境指数,表征j地区对i地区的吸引力;
是根据地区经纬度数据及地区生产总值计算得出的地区间经济地理距离。
针对研发资本流动的测算。由于考虑到研发资本的趋利性特征和数据可得性,选取地级市利润水平作为影响研发资本流动的吸引力变量,构建研发资本流动的引力模型:

其中,
表示t时期i地区流动到j地区的研发资本数;
表示t时期i地区的研发资本数;
表示t时期j地区的利润水平。
4.调节中介变量。本文选取的调节中介变量为创业活力和数字基础设施建设。参考现有研究,采用城市每百人中新注册企业数量衡量地级市创业活力,以地级市互联网宽带接入用户数来表征数字基础设施建设。
5.控制变量。本文选取的控制变量包括:经济发展水平(GDP),采用地区生产总值来衡量;产业结构(Ind),以地级市二、三产业增加值之和与GDP的比值来表征;融资水平(Finance),选用各地级市年末金融机构存贷款余额与GDP的比值对其进行衡量;社会消费水平(Cons),选用社会消费品零售总额占GDP比重来衡量;教育投入水平(Edu),运用各地级市教育支出占财政一般预算内支出的比重对其进行衡量;公共服务水平(PSL),采用公共图书馆藏书量来表征。
(三)样本选取与数据来源
考虑到数据的可获得性和准确性,本文选取2010—2021年我国280个地级市的面板数据作为研究样本,并将少部分缺失数据采用线性插值法进行填补。专利数据从国家知识产权局官方网站通过手动搜索的方式整理获得,其他原始数据主要来自2011—2022年《中国城市统计年鉴》《中国统计年鉴》及各地级市的统计年鉴等。变量的描述性统计见表1,本文在后续实证分析中,对变量进行了标准化处理,以消除量纲差异的影响。
表1 变量描述性统计

(一)特征事实
从空间维度来看,根据表2所示的全局莫兰指数及其显著性可知,2010年至2021年间我国地级市的收入增长率在空间上存在显著的正相关性,且这种空间相关性在不同年份间呈现出波动性变化。全局莫兰指数从2010年开始逐渐上升,到2018年达到最高值0.665,随后在2019年至2021年有所回落,但仍保持较高水平。整体来看,随着区域经济的发展,收入增长率的空间集聚效应在后期尤为明显。
表2 空间相关性检验

(二)基准回归结果分析
根据表3列(1)和(2)的回归结果,在不考虑空间效应的情况下,L.revenue和Invent*L.revenue的系数均显著为负,表明地区收入增长率与期初收入水平呈负相关,存在条件β收敛。即低收入地区增长速度更快,具备较高边际收益,能够加速追赶高收入地区。同时,技术创新有助于实现地区收入收敛,缩小地区间差距。引入空间因素后,SAR模型的空间滞后项系数ρ和SEM模型的空间误差项系数λ均在1%的显著性水平上为正,表明空间条件β收敛模型的空间项系数具有显著的正效应,即地区间收入增长存在显著空间关联性,某地收入增长会受到邻近地区的影响。由列(3)、(5)可知,L.revenue的估计系数均在1%水平上显著为负,这表明在考虑空间效应的情况下,地区收入也存在条件β收敛,收入分布趋于均衡。由列(4)和(6)可知,在条件β收敛SAR模型和条件β收敛SEM模型中,L.revenue及Invent*L.revenue的估计系数均显著为负,表明技术创新能够加强地区收入增长率与期初收入水平的反比关系,即技术创新有利于地区收入收敛,缩小地区间收入差距,推动了收入格局的均衡化。综合来看,回归结果表明地区收入存在收敛趋势,而技术创新在此过程中发挥了强化作用。同时,空间效应的显著性也表明,技术创新不仅促进了欠发达地区的追赶,还通过空间外部性带动周边地区协同发展,进一步推动地区收入收敛。
表3 基准回归结果

注:*、**、***表示在10%、5%、1%的水平上显著,括号内数值为t值,下同。
(三)稳健性检验
为验证实证结果的稳健性,本文进行了多项稳健性检验。首先,更换技术创新衡量指标,以每万人专利授权量替代原有指标进行回归,结果表明关键变量系数仍显著且与基准回归方向一致,支持技术创新促进地区收入收敛的结论。其次,本文将原有空间权重矩阵替换为经济距离空间权重矩阵,回归结果依然稳健。再次,考虑到技术创新对收入收敛的影响可能存在滞后性,本文将技术创新变量滞后一期处理,结果依旧与基准回归结果保持一致。此外,为排除异常值干扰,本文对连续变量实施1%和99%分位数的Winsor2缩尾处理,调整后的结果与基准回归一致,说明异常值未对研究结论造成影响。综上,多维度的稳健性检验均表明技术创新能够有效促进地区收入收敛,回归结果具有可靠性和稳健性。
(四)中介机制检验
1.研发人员流动
根据前述研究结论,本文认为地区收入水平趋于收敛,而技术创新在这一过程中发挥了显著的促进作用。为更深入地探讨技术创新促进地区收入收敛的内在机制,本文进行中介效应分析,以揭示技术创新如何通过研发要素流动实现收入收敛。由表4(1)、(3)列可知,技术创新对研发人员流动的回归系数显著为正,表明技术创新推动了研发人员的跨区域流动,并对邻近地区产生正外部性。表4(2)与(4)列显示,L.revenue和L.revenue*RDM系数显著为负,说明研发人员流动对地区收入收敛具有促进作用。研发人员的流动不仅带来了技术知识和创新资源的扩散,还通过“邻近扩散”效应增强了区域间的互动学习,进而缩小了空间上的技术差距与收入不均。然而,研发人员流动对地区收入增长的直接影响不显著,可能由于其作用主要体现在中长期,或受地区吸收能力限制。尽管如此,中介效应分析表明,技术创新通过引发研发人员流动,间接推动了地区收入收敛。但影响路径较为复杂,不仅需要关注人员流动本身,还需要提升地区对技术和人才的吸纳能力,以更好地实现收入趋同和协调发展。
表4 研发人员流动中介机制检验结果

2.研发资本流动
进一步地,本文对研发资本流动的中介效应进行了检验。根据表5的回归结果,(1)和(3)列的估计结果表明,技术创新对研发资本流动的影响系数显著为正,表明技术创新能够显著促进研发资本在地区间的流动,并在一定程度上带动研发资本的外溢。从表5(2)和(4)列的回归结果可见,L.revenue*RDC的估计系数为负,但未通过显著性检验。即技术创新虽然推动了研发资本的跨区域流动,但这种资本流动未能有效促进地区收入收敛。可能的解释是,研发资本在地区间的配置效率较低,或者研发资本流向的地区尚未充分具备高效利用这些资源的能力,导致对收入收敛的正向作用未得到体现。进一步分析研发资本流动对收入增长率的直接影响发现,其估计系数为正但不显著。这反映出研发资本在短期内对收入增长的促进作用较弱,可能由于其成效需经由技术转化和生产率提升等长期过程才能显现,抑或因资金使用效率存在地区差异。但从更宏观的角度来看,技术创新引发的研发要素流动整体上对地区收入收敛仍具有重要影响。未来应进一步优化研发资本的跨区域流动机制,特别是增强落后地区对研发资金的配置与利用能力,确保其更好地带动落后地区收入增长。
表5 研发资本流动中介机制检验结果

(五)调节中介机制
1.创业活力调节中介
本文基于被调节的中介模型,引入创业活力作为调节中介变量,以探讨其对中介效应的影响。回归结果显示,创业活力在中介机制中发挥了关键的调节作用。首先,由表6(1)、(3)列可知,在SAR模型中,L.revenue*RDM*Ev的估计系数显著为负。表明创业活力能够正向调节研发人员流动在技术创新促进收入收敛过程中的中介效应。在SEM模型中,L.revenue*RDM*Ev的估计系数同样显著为负,进一步印证了创业活力的正向调节作用。因此,创业活力能够显著调节研发人员流动的中介作用,创业活力的增强可能为研发人员提供更多的创业机会和资源支持,从而加速技术成果的转化与扩散,促进地区收入水平的趋同。其次,尽管之前的分析表明研发资本流动的中介效应并不显著,但根据表6(2)和(4)列的结果,L.revenue*RDC*Ev的估计系数显著为负,表明在创业活力的调节作用下,研发资本流动的中介效应得以显现。具体来说,创业活力有助于提升研发资本在不同地区间的配置效率,使其有效促进收入收敛。且创业活力较高的地区可能更容易吸引研发资本的流入,增强地区技术水平,弥补研发资本流动对收入收敛促进作用不足的问题。综上,创业活力有效增强了研发要素流动的中介作用。创业活力不仅能够强化研发人员流动的中介作用,也能在一定程度上激发研发资本流动的正向效应。
表6 创业活力调节中介机制检验结果

2.数字基础设施调节中介
本文进一步引入数字基础设施建设作为调节变量,考察其对中介效应的调节作用。分析结果显示,数字基础设施建设在中介机制中也起到了显著的调节作用。首先,根据表7(1)、(3)列可知,在SAR模型中,L.revenue*RDM*Dic的估计系数为负且通过显著性检验,表明数字基础设施作为一种外部支持系统,可以增强研发人员流动在技术创新促进收入收敛过程中的中介效应。在SEM模型的结果中,L.revenue*RDM*Dic的估计系数仍显著为负,验证了该结论,即数字基础设施建设能够显著调节研发人员流动的中介效应,从而在技术创新促进收入收敛的过程中发挥积极作用。其次,由表7(2)、(4)列可知,L.revenue*RDC*Dic的估计系数均显著为负。虽然研发资本流动在前述分析中未体现出显著的中介作用,但是在引入数字基础设施建设作为调节中介变量后,其调节中介效果显著,说明数字基础设施能够正向调节研发资本流动在技术创新推动收入收敛中的中介作用,有助于技术创新对收入收敛的推动。综上,数字基础设施建设具有重要调节作用,不仅能显著增强研发人员流动的中介效应,也有效提升了研发资本流动的配置效率,从而加强技术创新的收入收敛效应。
表7 数字基础设施调节中介机制检验结果

(六)异质性分析
1.基于地势起伏度的异质性检验
本文根据四分法将280个地级市按地势起伏度分为低、中、高三类。回归结果见表8,由表中Invent*L.revenue的估计系数可知,技术创新对不同地势起伏地区收入收敛的影响存在显著异质性。在地势起伏低的城市,估计系数较大,技术创新对收入收敛的促进作用更为显著。在地势起伏中等的地区,技术创新对收入收敛的促进作用依然显著,但估计系数小于地势起伏低的城市。在地势起伏较高的城市,回归结果显示技术创新对收入收敛的作用不显著。以上异质性结果表明,地形因素是影响技术创新促进收入收敛的重要条件,平坦地势交通便利且有利于基础设施建设,从而推动技术扩散与资源集聚,增强技术创新对收入收敛的推动力。
表8 基于地势起伏度的异质性检验结果

2.基于城市规模的异质性分析
依据国务院颁布的《关于调整城市规模划分标准的通知》,以市辖区常住人口“100万人口”作为分界线将280个地级市划分为大型城市和中小型城市进行异质性检验。回归结果见表9,Invent*L.revenue在两类城市中的估计系数均显著为负,但大城市系数较大,技术创新对收入收敛的促进作用更强。相比之下,中小城市虽也呈现显著的收敛效应,但系数较小,即技术创新对收入收敛的推动作用相对有限。综合来看,技术创新对不同规模城市收入收敛的影响存在异质性,大城市所具备的创新生态系统更加完善,有助于技术落地于经济增长,强化技术创新带来的收入收敛效应。
表9 基于城市规模的异质性检验

(一)研究结论
本文基于2010—2021年中国280个地级市数据,采用条件β收敛模型与条件β收敛空间模型,系统讨论了技术创新对地区收入收敛的影响。研究发现,我国地级市收入水平整体呈现收敛趋势,技术创新在其中起到了积极推动作用,该结论通过了多项稳健性检验;中介效应表明,技术创新可通过促进研发要素流动推动收入收敛,而创业活力与数字基础设施建设则对这一中介路径具有正向调节效应;异质性分析表明,技术创新对收入收敛的促进作用在地势起伏低的城市和大城市中更为显著。
(二)对策建议
本文根据所述研究结论提出以下对策建议。
第一,加大对技术创新的政策支持,推动欠发达地区的创新能力建设。研究表明,技术创新显著促进了地区收入的收敛过程。因此,政策制定应进一步加大对技术研发和创新活动的支持力度,尤其是在欠发达地区,应增加科研资金投入、支持高新技术企业的发展,并引导创新资源的合理配置。通过增强欠发达地区的技术创新能力,可以加速技术的引入和转化,提升其经济增长速度,实现更为均衡的收入格局。
第二,促进研发要素的流动,增强技术扩散和知识共享。技术创新通过研发要素流动对收入收敛的中介作用已得到验证。政府应采取措施鼓励和引导研发人员及研发资本在地区间的流动,完善与此相关的配套政策,例如人才引进激励措施、科研成果转移转化政策以及跨区域的合作创新机制。通过加快技术和知识在不同地区的扩散,尤其是在欠发达地区推广先进技术,可以缩小区域间的技术差距,进一步推动收入收敛,实现收入均衡。
第三,优化创业环境,提升地区创业活力。创业活力显著调节了技术创新通过研发要素流动促进收入收敛的效果,因此,政府应大力改善创业环境,降低创业门槛,提供更多的创业融资支持及政策性贷款,简化审批流程。同时,加强对初创企业的技术培训和支持服务,帮助企业提高技术创新的能力和市场竞争力,以此增强技术创新对收入增长的推动作用。
第四,加强数字基础设施建设,促进技术创新和经济发展的区域均衡。数字基础设施在调节研发要素流动的中介效应方面具有重要作用。应加快推进城市和农村地区的数字基础设施建设,尤其是在欠发达地区,应优先发展宽带网络、5G通信等信息技术基础设施。同时,推动“智慧城市”建设,通过数字技术的广泛应用提高技术扩散和经济发展的效率,促进地区间收入趋于协调。
第五,针对地势起伏较高、中小城市的特点,因地制宜发展特色产业,结合区域资源优势推动技术创新驱动的产业升级;加强交通和基础设施建设,提升区域联动性和要素流动效率;实施差异化的创新激励政策,促进人才和技术资源集聚,提升创新能力;同时加快数字化转型,缩小数字基础设施差距,推动产业数字化升级,增强技术创新对区域经济发展的带动作用,从而加速收入收敛,实现均衡发展。