回顾中国经济快速增长的40多年,城镇化发展在其中发挥了重要作用。城镇化带来的人口聚集效应、人力资本积累效应,及其推动的产业结构调整、转型与优化,是实现经济增长的重要基础源泉和动力引擎。然而,以往的城镇化发展模式是以人口快速向城镇流动的“人口城镇化”和城市面积无序扩张的“空间城镇化”为主导。这种“急速城镇化”模式也带来了诸如人口城镇化虚高、城市病蔓延及生态环境恶化等问题,严重影响到经济高质量发展进程。在传统城镇化发展模式弊端日益显现以及城市绿色发展诉求的双重倒逼下,新型城镇化理念应运而生。作为一种新的制度红利,因其更加注重以人为核心、“资源—环境—生态—经济”的多维协调耦合的发展理念,已成为推动中国经济高质量发展的新型动力之一。与此同时,2012年“里约+20”联合国可持续发展大会率先提出了综合考虑“经济发展绿色化”与“经济建设包容性”的包容性绿色增长概念,其蕴含的“以人民为中心的可持续发展”核心内涵,与中国新型城镇化建设和经济高质量发展目标高度契合,而城市作为新型城镇化建设与经济高质量发展的主要单元,深入探究新型城镇化与城市包容性绿色增长的关系,已然成为当前学界关注的焦点问题。
在新型城镇化建设与经济求质发展的攻坚阶段,生产力的质态、形态、形式已成为判断经济社会“以人为本”可持续发展潜能与成效的重要标准。在此背景下,随着新一代信息技术与实体经济的不断渗透融合,具有高质量、高能效、高科技属性的新质生产力应运而生。其中,尤为突出的是,以数字技术为基础,由数字技术劳动者、数字化劳动资料和智能化劳动对象“三位一体”形成的“数字新质生产力”正在我国城镇数字化转型、缩小城乡收入差距等众多新型城镇化建设子命题方面呈现出巨大潜力。2022年1月,国务院印发《“十四五”数字经济发展规划》明确提出加快推动数字化、绿色化协同发展。作为一种突破性变革的先进生产力,数字新质生产力赋能我国经济从“量增长”向“质提升”发展转变,不仅为提升企业自主创新能力、促进产业转型升级等提供强大支撑,更是驱动新型城镇化建设与城市包容性绿色增长的重要依托。那么,数字新质生产力作为数字经济发展与新型城镇化建设的“人才基石”,能否强化新型城镇化建设的包容性绿色增长效应,这是一个亟待思考的现实命题。
事实上,城市包容性绿色增长自提出以来就受到学术界的广泛关注,国内外众多学者对城市包容性绿色增长的概念框架、内涵、实现路径及机制等问题进行了大量定性和定量研究。-近年随着全球高速城镇化与生态环境的矛盾不断加剧,学者对城镇化与城市包容性绿色增长关系展开了广泛而热烈的讨论,如齐红倩等研究发现城镇化发展对城市经济增长速度和质量的提升存在长期的正向促进效应;范建双等研究发现城镇化引致的城乡收入和非收入差距的扩大会对城市包容性增长产生负向影响。随着研究的不断深入,部分学者认为城镇化与城市包容性绿色增长之间并非简单的线性关系,可能存在更复杂的“非线性关系”,如张欢等利用跨国面板数据研究发现城镇化对城市绿色发展产生先“抑制”后“促进”的非线性影响;邓毛颖等利用耦合协调模型分析了中国新型城镇化与城市绿色发展间的演进关系,发现二者协调演进关系因区域与城市类别而存在差异。与此同时,伴随着信息时代新一轮科技革命的不断深入,以数字技术为基础的新质生产力因呈现高数字化、高智能化、高创新性等潜能,越来越多学者聚焦探讨数字新质生产力与城市现代化产业体系建设,数字新质生产力与产业链绿色升级等问题,而数字新质生产力的低碳减排效应、绿色创新效应也逐渐受到学术界的广泛认可。
不难发现,现有研究主要集中于探讨城镇化对城市包容性绿色增长的直接影响,鲜有研究立足于“新型城镇化建设”与“双碳”目标双重战略背景下,以数字新质生产力为切入点深入剖析中国新型城镇化建设与城市包容性绿色增长的关系及二者间作用机制。尤其是,城市作为我国推进新型城镇化建设的重要地理空间,既是培育“数字新质生产力”的核心载体,也是践行“包容性绿色”发展理念的最佳单元。正因如此,中国新型城镇化建设是否有效驱动了城市包容性绿色增长,若存在这种驱动效应其内在机制怎样,数字新质生产力又如何影响该驱动效应,这一系列重要问题均需进一步的洞察研究。由此,本文的边际贡献主要为:(1)理论框架上,基于数字新质生产力视角,将新型城镇化与城市包容性绿色增长纳入统一分析框架,一定程度上拓展了中国现实情境下罗默经济增长理论,深化了新型城镇化建设与城市包容性绿色增长领域的理论研究。(2)研究方法上,利用非径向—规模报酬不变—非期望产出的SBM模型,测算分析中国城市包容性绿色增长的整体效率与区域差异。(3)在机制研究中,从公共支出、环境规制和创新驱动多重维度挖掘新型城镇化对城市包容性绿色增长的驱动机制,并检视剖析数字新质生产力对新型城镇化与城市包容性绿色增长二者关系的影响,为深入理解新型城镇化建设、数字新质生产力对我国城市包容性绿色增长的带动与支撑作用提供理论与现实依据。
(一)新型城镇化与城市包容性绿色增长
新型城镇化作为顺应我国绿色发展战略的新动能之一,已成为我国经济发展的重要“增长极”。在传统城镇化模式与中国式财政分权体制下,地方政府往往加大回报周期短、风险低的生产性支出,而忽视对治污减排公共产品的投资供给,导致碳排放与能源消耗的加剧。不同于传统城镇化模式,新型城镇化更注重“以人为核心”,力求通过市场化改革、优化城镇化融资机制等手段推进产业结构升级、降低能耗、改善城市绿色低碳治理状况。从社会角度看,新型城镇化建设深化了城市生态文明治理体制改革,提高能耗经济绩效与产业数字化智能化绿色化发展水平,有助于推进实现资源节约型、环境友好型社会。同时,新型城镇化的倡导和实施有利于营造集“绿色环保、高效节约和协调适应”为一体的生产发展环境,个体企业置身于新型城镇化发展的大环境中,为适应新型城镇化倡导的绿色和谐发展理念以及激烈的市场竞争外部环境,企业会通过不断优化组织结构、发展绿色技术以逃离产业内其他企业的竞争,而微观企业绿色全要素生产率的提升最终会促进整个城市的包容性绿色增长。基于上述分析,提出研究假说H1。
H1:新型城镇化对城市包容性绿色增长产生直接促进效应
新型城镇化不仅对城市包容性绿色增长具有直接促进效应,基于新型城镇化“以人为本”“多维耦合”和“内生式发展”的内涵,还可通过公共支出、环境规制和创新驱动三条路径间接作用于城市包容性绿色增长。
首先,相较于传统的城镇化发展模式,新型城镇化被赋予了新的内涵,目标是实现由“化地”向“化人”的嬗变,核心是强调以人为本。为实现此目标,一方面,政府要完善社会保障体系,通过加大在教育、医疗、社会福利和文化体育等方面的财政支出规模,以此来增强对城乡居民的保障力度,在此过程中,会实现城乡居民收入的提高,以及生活质量的改善,有利于提升人力资本质量,从而提高整个社会的劳动生产率;另一方面,政府通过优化财政支出结构,发挥财政支出的杠杆效应,借助政府购买支出乘数效应和投资乘数效应引导社会资本流向环保节能行业和服务部门,从而促进城市内企业的包容性绿色转型升级。
其次,新型城镇化要求改变以往一维经济导向型的发展模式,旨在实现“资源—环境—生态—经济”的多维耦合协调发展,把生态文明理念全面融入城镇化的推进工作中。为实现此目标,环境规制这只政府的“有形之手”发挥着重要作用。一方面,环境规制会从进入成本、环境规制标准以及外部环境不确定风险等方面抬高污染企业的进入壁垒,另一方面,环境规制的加强将导致部分在位高污染企业由于无法达标而被迫“洗牌出局”。总的来说,环境规制既可以淘汰部分高污染的落后产能,又可以提高新进者的门槛要求,继而通过推动企业生产结构调整、资源配置优化和引导企业加大对绿色技术的投入力度,最终实现城市包容性绿色增长。
最后,新型城镇化要求由外延式增长向内涵式发展转变,加快由要素驱动向创新驱动的升级,这也是长期以来传统城镇化以能耗要素推动发展具有不可持续性的必然要求。上文探讨的环境规制会增加企业的“合规成本”,进而削弱企业的竞争力,相反,环境规制也能够激发企业的创新活力,形成“创新补偿”效应。依据“波特假说”,适度强度的环境规制不仅能够敦促企业优化资源配置,竭力突破低效率生产模式,而且还能倒逼一些规模较大、实力较强的企业引进绿色技术和加大环保技术的研发投入,提升自身的绿色生产力,在短期内产生逃离竞争效应。更为关键的是,新型城镇化建设能够更加有效引导技能人才合理流动,能够在区域内营造有利于知识和技术溢出的持续创新源泉,从而推动新技术、新理念的传播和扩散,最终实现整个城市的包容性绿色发展。由此,本文进一步提出新型城镇化驱动城市包容性绿色增长的传导机制假说H2。
H2:新型城镇化可通过公共支出、环境规制和创新驱动三条路径间接推动城市包容性绿色增长
(二)数字新质生产力、新型城镇化与城市包容性绿色增长
习近平总书记在二十届中共中央政治局第十一次集体学习时明确指出,绿色发展是高质量发展的底色,新质生产力本身就是绿色生产力,深刻阐明了新质生产力是实现绿色可持续发展的核心要素与重要抓手。而发展以先进数字智能技术为本质内核,具有高能效、高科技、高质量属性的“数字新质生产力”,不仅是顺应我国经济由“资源驱动”向“创新驱动”发展转变,更是满足人民美好生活要求、践行“以人为本”发展理念的必然选择。可见,在讨论新型城镇化对城市包容性绿色增长的影响时也不应忽略数字新质生产力的影响。一方面,数字新质生产力的内核是数据要素这一关键“新”生产要素与传统生产力的融合与应用,数据要素蕴含的空间泛在性、资源共享性,能够赋能绿色创新人才、智能技术人才等新质生产力在城市内外高效流动,有利于改善“户籍制度壁垒”导致的产能效率损失,从而推动我国“人本宗旨”引领的新型城镇化建设和城市绿色发展进程。另一方面,数字新质生产力在推进人工智能、大数据、云计算等新一代信息技术在地区产业间扩散、交汇和融合等方面呈现出巨大潜能,加快推进先进知识、技术资源要素的“普惠共享”,不仅有利于提升城市新型城镇化建设所需资源要素分配的公平性与合理性,更为经济发展相对落后地区实现包容性绿色增长“后发追赶”带来新机遇。基于以上分析,提出研究假说H3。
H3:地区数字新质生产力水平提升能够强化新型城镇化对城市包容性绿色增长的驱动效应

图1 新型城镇化作用于城市包容性绿色增长的机制框架
(一)计量模型设定
根据前文理论分析,为检验新型城镇化对城市包容性绿色增长的直接影响,构建如下基准模型:

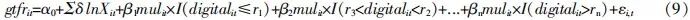
其中,i和t分别表示地区和年份;gtfp表示城市包容性绿色增长指数,nul表示新型城镇化发展指数,X为一系列控制变量,ε为随机扰动项;α的大小和方向表示新型城镇化作用于城市包容性绿色增长的影响效应。同时,为进一步考察数字新质生产力对新型城镇化包容性绿色增长效应的强化调节效应,在基准模型(1)基础上引入数字新质生产力变量digital,构建调节效应检验模型:

另外,为检验理论假设H2中提出的新型城镇化作用于城市包容性绿色增长传导路径的有效性,进一步基于基准模型(1)构建如下中介传导机制检验模型:

其中,M表示中介变量集,具体包括公共支出规模(feg)、公共支出结构(fej)、环境规制(er)、基础型创新(bai)和应用型创新(api)5个变量;和为各变量的弹性系数,其余变量含义与基准模型一致。关于中介效应模型的检验,采用温忠麟等提出的逐步法进行递归检验。具体的,依据本文研究内容,检验过程主要包括三步:首先,通过回归方程(1)得到系数
,若
显著,则可能存在中介效应,继续第2步检验,若
不显著,则停止中介效应检验;其次,通过回归方程(3)和(4)得到系数
和
,若二者均显著,则表明存在中介效应,若其中一个不显著,则进行Sobel检验,若Z通过显著性检验,则表明存在中介效应,若没有通过显著性检验,则不存在中介效应;最后,检验系数
,若显著,则表明存在部分中介效应,进一步通过公式
计算得到中介效应占比,若不显著,则存在完全中介效应。
(二)变量说明与数据来源
1.被解释变量:城市包容性绿色增长指数
基于城市包容性绿色增长的内涵,其核心是减少城市能源消耗和污染排放的同时,实现生态环境与经济发展协同共进的高质量发展。由此,本文沿袭已有研究,选用同时考虑能耗利用率与污染排放的绿色全要素生产率(gtfp)进行表征,并在DEA框架下运用考虑非期望产出的非径向方向性距离函数(DDF)和Global Malmquist-Luenberger(GML)生产率指数对绿色全要素生产率进行测算。其中,城市包容性绿色增长测算模型概述如下:
假设生产系统存在n个决策单元(DMUs),每一DMU投入要素
,分别得到期望与非期望产出
和
。那么,环境技术函数P(x)为:

其中,强度变量
为每个DMU分配权重,而约束条件使产出具有弱可处置性。同时,借鉴Tone的方法处理包含非期望产出的SBM模型,构建环境技术效率模型如下:

式(6)中
依次代表过度投入、不足期望产出、过度非期望产出;ρ是关于
严格递减的目标函数:若ρ=1,表明DMU位于效率前沿;若ρ<1,表明存在效率改进空间。接下来,根据Zhang等的研究,非径向DDF函数可以被定义为:

式(7)中
代表方向向量,u代表非期望产出,β代表期望与非期望产出的最大可能量。由此,可进一步构建GML指数:

在投入指标方面,资本存量采用永续盘存法来度量,公式为
和
分别为i城市在t年和t-1年的资本存量,θ为资本折旧率,这里直接采用张军等所用的9.6%,
为当年名义投资额,基期资本存量用
计算,其中
为i城市2010年的实际固定资本形成总额,gdp为实际GDP的增长率均值,θ为资本折旧率。人力资本投入以城市年末就业总人数代替,具体为单位就业人数和私营、个体就业人数的总和。能源投入选用各地能源消耗总量,单位为万吨标准煤。在产出指标方面,期望产出选用城市实际GDP来代替,非期望产出用环境污染综合指数表示,构建由工业废水排放量、工业二氧化硫排放量、工业固体废物产生量和工业烟(粉)尘排放量4个指标组成的评价体系,并通过熵值法计算得到。
基于上述指标测算出2011—2022年间(可获得年鉴的最新数据)中国281个地级市的绿色全要素生产率,具体区域和省域层面的数据见下表1和表2。从表1中时间维度下区域层面数据的演变趋势来看,全国的绿色全要素生产率具有阶段异质性,在2015年以前,绿色全要素生产率要低于传统全要素生产率值,2015年后则出现反超。同时,根据图2绘制的绿色全要素生产率三维核密度曲线图(图中峰值越高代表数据集聚度越高),不难看出我国绿色全要素生产率多徘徊在0.96—0.98区间,12年间“增幅甚微”。具体地,基于绿色全要素生产率区域异质性视角下,东部地区的绿色全要素生产率要高于中西部,且东部地区呈正增长趋势,年均增长率为0.700%,而中西部出现负增长,年均增长率分别为-4.300%和-5.600%。观察期内以上结果的差异可能是因区域间经济发展模式、产业结构以及技术进步水平的不同而导致的,另一方面也表明了东部地区的节能减排工作取得了实质性效果,在资源节约与环境治理方面均有良好成效。
表1 2011—2022年间城市传统与绿色全要素生产率变动指数均值

注:gtfp为绿色全要素生产率变动指数,tfp为传统全要素生产率变动指数,下表同。

图2 2011—2022年间城市绿色全要素生产率三维核密度图
从表2省域视角来看,北京、天津、上海、江苏、浙江、山东、广东、海南、吉林和江西10个省市的绿色全要素生产率要高于传统全要素生产率,其中80%位于东部沿海地区。分析其原因,首先,这些省市的经济相对发达,人力资本存量和知识资本存量的积累要优于其他省市;其次,沿海省市具有良好的先天区位禀赋优势,区域内集聚了大量优质的高校和科研院所,具有良好的创新环境以及较高的科技转化能力,在降低能源强度和改善环境承载力两方面对绿色全要素生产率的提升具有促进作用。绿色全要素生产率较低的贵州省、山西省、宁夏回族自治区、甘肃省和广西壮族自治区,主要分布在经济欠发达地区,处在经济追赶阶段,其经济发展主要依赖于资源型产业,作为落后产能转移的主阵地,对“三高一低”落后产能的进入门槛较低,随着资源的消耗殆尽,这些地区纷纷陷入“资源诅咒”的怪圈,给当地造成了很大的环境与资源压力,不利于当地经济实现包容性绿色发展。
表2 2011—2022年省域层面城市传统与绿色全要素生产率变动指数均值

2.核心解释变量:新型城镇化发展指数
区别于传统的以城镇人口占比来衡量的人口城镇化,本文参照已有研究,通过构建包含经济城镇化、社会城镇化、人口城镇化和生态环境城镇化的四维评价指标体系来对新型城镇化发展水平(nul)进行测评,评价得分采用信息熵值法计算所得。其中,经济城镇化由人均GDP、非农产业占比、人均固定资产投资额、人均财政收入和居民人均可支配收入构成;社会城镇化由互联网普及率、人均道路面积、每万人拥有公交车数量、燃气普及率和用水普及率构成;人口城镇化由人口城镇化率、市区人口密度和非农就业比重构成;生态环境城镇化由污水处理率、生活垃圾无公害处理率、建成区绿化覆盖率和工业固体废物综合利用率构成。
3.中介变量
基于理论分析,新型城镇化通过公共支出、环境规制和创新驱动三条路径间接驱动城市包容性绿色增长。其中,公共支出(fe)方面,本文将其进一步细分为公共支出规模(feg)和公共支出结构(fej),公共支出规模以公共支出总额占GDP比重来表示,公共支出结构以福利性公共支出在公共支出中所占比重来代替,福利性公共支出主要包括在教育、文化体育与传媒、社会保障和就业、医疗卫生和环境保护领域的支出;环境规制(er)方面,本文沿袭已有研究,选取环境污染治理投资占GDP比重作为代理指标;创新驱动(i)方面,本文将其细分为基础型创新(lnbai)和应用型创新(lnapi),其中基础型创新采用科技论文数量表示,应用型创新则使用专利授权量表示。
4.调节变量
数字新质生产力(digital)。马克思认为,“有目的的劳动或劳动本身、劳动对象和劳动资料”构成了劳动过程中生产力三要素。因此,大量学者基于新一代信息技术科技革命与生产力本质内涵,将数字新质生产力界定为:以“高技能、高质量”为核心标志的数字劳动者,以新型数字基础设施、创新专利等为代表的数字劳动资料,以工业互联网、智能机器人为引擎的数字劳动对象。本文沿袭已有相关研究,从数字劳动力、数字劳动资料、数字劳动资料维度切入,构建数字新质生产力综合指标体系,并利用熵权TOPSIS法赋权与测度。其中,数字新质生产力综合指标体系具体如下。
表3 数字新质生产力综合指标体系

5.控制变量
为尽可能地降低因遗漏变量引发模型的内生性问题,引入如下控制变量:地区经济发展水平(lnpgdp),用城市人均GDP表示;产业结构(is),用第二产业增加值占地区生产总值的比重表示;对外开放程度(lnfdi):利用外商直接投资总额表示,使用年均汇率将美元换算为人民币,再利用GDP平减指数折算为实际值;能源强度(en),用各地的单位GDP能源消耗量表示;研发强度(rd),用R&D投入资金占地区生产总值比重表示。
鉴于年鉴数据的可得性,本文的研究时期和对象为2011—2022年中国281个地级市(含自治州、直辖市及省会城市),以上变量数据来自相关年份的《中国统计年鉴》《中国城市统计年鉴》《中国能源统计年鉴》《中国科技统计年鉴》以及中国信息通信研究院发布的《中国数字经济发展与就业白皮书》。其中,各变量的描述性统计如表4所示。
表4 变量描述性统计

(一)全样本基准回归与区域异质性分析
1.全样本基准回归
考虑到新型城镇化与城市绿色发展之间可能因互为因果关系而引发内生性问题,因此,在基准模型的基础上将被解释变量的滞后一期作为工具变量纳入模型中来构建动态面板模型,如此不仅能很好地克服内生性问题,并且还能将模型中除解释变量之外的其他潜在因素考虑在内,使估计结果更为科学和准确。针对动态面板模型,本文选用系统GMM模型进行估计,具体估计结果如表5。
从表5估计结果来看,AR(2)结果表明不存在二阶序列相关,模型通过了自相关检验,且Sargan检验的P值在10%显著性上接受原假设,表明所有的工具变量均有效,因而估计结果是可靠的。据此,从表5第(1)列基准回归结果可知,新型城镇化变量nul估计系数为0.204,且在1%显著水平上显著,这表明新型城镇化水平每提升一个百分点,将至少推动城市包容性绿色增长提升0.2%,验证了新型城镇化对城市包容性绿色增长具有直接促进效应的假设。另外,为了检验数字新质生产力对新型城镇化推动城市包容性绿色增长的调节效应机制,在列(2)和列(3)中,依次加入数字新质生产力变量digital,以及其与新型城镇化的交乘项nul×digital。不难发现,交乘项nul×digital的估计系数显著为正,说明数字新质生产力水平的提升有利于激发新型城镇化的包容性绿色增长效应。这一结果反映出,数字新质生产力可以加速推进新型城镇化进程,能够支撑城市走出一条能耗节约、可持续的新型城镇化道路,为我国新型城镇化“量”的持续增长与“质”的有效飞跃续航助力。
表5 全样本基准回归

注:L.为被解释变量滞后一期的影响系数,括号内为Z值,*、**、***分别代表在10%、5%和1%下的显著性,下表同。
对于控制变量,地区经济发展水平、对外开放和研发强度均对城市包容性绿色增长有显著的促进作用,此结果体现出三点含义:其一,地区经济发展是实现城市包容性绿色增长的前提,这与前文测算的全国与区域层面绿色全要素生产率的特征具有一致性;其二,在一定程度上反映出“污染避难所假说”在我国并不成立,外商直接投资带来的资本、技术和管理等“一揽子”要素对城市的包容性绿色发展进程起到了推动作用;其三,随着R&D投入的增加,可有效推进清洁能源研发以及减排技术的开发与推广应用,从而减少污染排放的非期望产出,有利于城市包容性绿色增长。另外,产业结构与能源强度对城市包容性绿色增长的影响显著为负,表明以第二产业为主的经济结构会因消耗能源和产生大量污染物而阻碍城市包容性绿色增长,并且现阶段我国的能源消费结构是以煤炭为主,能源强度的居高不下也是影响我国城市包容性绿色增长的重要制约因素。
2.区域异质性分析
由于我国长期以来实施阶梯状的发展战略,各地区在资源禀赋、制度因素和政策环境等方面均存在着差异,城镇化和城市经济发展水平也存在较大的差距。基于空间异质性,分区域探讨新型城镇化对城市包容性绿色增长的影响效应,更有利于揭示现阶段我国新型城镇化建设进程以及各地区差异化发展的现状。鉴于此,表6中将全国样本分为东部、中部和西部三大区域,基于区域异质性视角下进一步检验新型城镇化作用于城市包容性绿色增长的直接效应。区域异质性检验结果显示,新型城镇化对我国东、中、西部的城市包容性绿色增长均产生显著的促进作用。然而,需要指出的是这种影响在空间上存在差异,按影响程度从强到弱依次为中部、西部和东部,系数分别为0.264、0.215、0.183。针对这一结果可能的解释为:东西部地区具有改革开放的“先发红利”,随着改革开放全面推进和西部大开发战略的相继实施,东部地区和西部地区的人口红利和制度红利不断释放,在初期,城镇化发展为经济增长提供了强大的动力,这也有利于地区内的包容性绿色经济增长,但随着改革步入深水区,东部地区因人口稠密、老龄化程度的加剧以及要素红利的逐渐消解,使得其城镇化对经济的推动作用呈现“边际效益递减”,从而导致中西部地区的新型城镇化的包容性绿色增长效应明显于东部地区。
表6 基准模型分区域回归结果

(二)稳健性检验
1.资源禀赋异质性
在推进城市包容性绿色增长过程中,该地区的资源丰裕度将势必对其产生影响,由此,本文进一步将全样本进行内生分组为“资源型”与“非资源型”城市,并采用双向固定效应模型进行再回归以检验上文所得结论的稳健性。根据表7的资源型与非资源型城市回归结果,不难发现新型城镇化对两类城市的包容性绿色增长均呈现出显著的促进作用,说明前文研究结论是稳健的。同时,组间差异检验(Chow Test)进一步显示,在新型城镇化建设背景下,非资源型城市表现出更明显的包容性绿色增长。对于该现象可能的解释是:相比于非资源城市,资源型城市发展更依赖自然矿产资源的开发和加工,这就导致此类城市经济增长存在较为典型的“高碳锁定”现象;而非资源型城市的产业结构体系更为多元,尤其是为高新技术产业、服务业提供了更广阔的发展空间,有利于促进城市实现包容性绿色增长。
表7 稳健性检验(一):资源型与非资源型城市回归结果

注:*、**、***分别代表在10%、5%和1%下的显著性水平。括号内为稳健标准误,下表同。
2.工具变量IV检验
考虑到新型城镇化与城市包容性绿色增长间可能因“反向因果”而导致估计结果偏误,本文参考已有研究,选择城市地形起伏度作为新型城镇化的工具变量,并采用两阶段最小二乘法(2SLS)进行再估计。一方面,研究发现城市城镇化水平与该地区地形地势密切相关,城市地形越平坦越有利于吸引居民与企业集聚;另一方面,地形起伏度与城市包容性绿色增长并不具有明显的相关性,满足工具变量选择的无关性条件。由此,通过表8中给出的工具变量IV回归结果发现:第一阶段回归中,全样本工具变量Slope 的F值为58.32,远大于临界值10;而在第二阶段中,nul估计系数大于零,且在5%水平上显著。同时,列(2)(4)东中西部地区的nul估计系数均显著为正,工具变量回归结果也再次佐证了新型城镇化能够促进城市包容性绿色增长这一核心结论的稳健性。
表8 稳健性检验(二):工具变量IV回归结果

(三)中介传导机制检验
1.中介传导机制全样本回归
前文理论机制分析表明新型城镇化通过公共支出、环境规制和创新驱动三条路径间接推动城市包容性绿色增长。为此,表9和10给出了假设2的新型城镇化影响城市包容性绿色增长的中介传导机制检验结果,从表9第1列和第2列结果来看,新型城镇化对公共支出规模和公共支出结构的影响系数分别为0.073和0.176,且均通过1%的显著性检验,表明新型城镇化建设对公共资源配置起到推动作用,再结合表10第1列和第2列结果可知,公共支出规模和公共支出结构在新型城镇化作用于城市包容性绿色增长中起到了部分中介效应,中介效应占比分别为11.952%和11.302%,可见在现阶段,相较于公共支出的结构效应,公共支出的规模效应对城市包容性绿色增长的影响更强。从表9第3列结果可知,新型城镇化对环境规制起到了制约作用,但并未通过显著性检验,结合Sobel检验和表10第3列的结果可知,环境规制也发挥了部分中介效应,但现阶段环境规制对城市包容性绿色增长起到了显著的抑制作用,而在引入环境规制的平方项(sqer)后,回归结果显著为正,表明环境规制对城市包容性绿色增长的影响具有“U”型门槛特征,且门槛值为1.806,截至2022年全国仅有20%地区的环境规制水平跨过“U”型拐点而对城市包容性绿色增长起到推动作用。最后,表9的第4列和第5列结果显示,新型城镇化对基础型创新的影响不显著,对应用型创新起到显著的促进作用,结合表10第4和第5列的结果可知,基础型创新在新型城镇化影响城市包容性绿色增长的过程中并未发挥中介效应,而应用型创新发挥了部分中介效应,表明目前新型城镇化的推进对能够直接推动生产力发展的应用型技术创新具有更强的促进作用,并且相较于基础型创新,应用型创新对城市包容性绿色增长的促进作用更加“立竿见影”。
表9 中介传导机制回归结果(一)

注:L.为被解释变量滞后一期的影响系数,括号内为Z值,*、**、***分别代表在10%、5%和1%下的显著性,下表同。
表10 中介传导机制回归结果(二)

2.中介传导机制分区域分析
考虑到新型城镇化对城市包容性绿色增长的直接影响效应存在明显的区域异质性,本文进一步探究二者间中介传导机制是否存在空间差异。根据表11的中介效应来看,东部地区的“公共支出”和“创新驱动”在新型城镇化作用于城市包容性绿色增长过程中发挥了显著的中介效应机制,具体地,公共支出规模、公共支出结构、基础型创新和应用型创新的中介效应占比分别为0.571%、12.929%、1.506%和1.372%。中部地区的公共支出规模、环境规制、基础型创新和应用型创新发挥了中介效应,中介效应占比分别为47.430%、25.757%、18.426%和9.604%。其中,仅环境规制对城市包容性绿色增长的影响为负,系数为-0.014,并通过1%显著性检验,在加入二次项后,结果显著为正,表明中部地区的环境规制对城市包容性绿色增长同样存在“U”型门槛效应,且门槛值为1.419,截至2022年,仅安徽、山西和湖南的环境规制水平跨过拐点落入“U”型曲线右侧,对城市包容性绿色增长起到推动作用。西部地区内仅有公共支出规模和环境规制发挥了中介效应,占比分别是6.483%和15.206%,并表现出对城市包容性绿色增长的推动效应。
中介传导机制分区域回归结果,反映出在新型城镇化驱动城市包容性绿色增长的过程中,东部地区主要是以公共支出的结构效应为传导机制,中西部地区则是以规模效应为传导机制,而环境规制传导机制仅对西部地区具有显著促进作用,这主要因地区间经济结构的差异而导致城镇化对环境规制实施力度不同。同时,新型城镇化对东中部地区的基础型和应用型创新产生促进作用,并未对西部地区的创新产生推动效应,这可能在于区域间要素禀赋、知识资本积累以及创新环境的差异。
表11 中介传导机制分区域回归结果

(一)数字新质生产力的门槛效应
通过前文基础回归,发现新型城镇化、数字新质生产力及二者耦合调节效应对城市包容性绿色增长的影响均存在显著的区域差异,而大量学者论证了新质生产力对城乡融合、城市高质量发展存在非线性影响,这在一定程度上说明新型城镇化与城市包容性绿色增长的关系可能存在数字新质生产力的“门槛转换”特征。因此,本文为更深入探究数字新质生产力激发新型城镇化包容性绿色增长效应的最优强度区间,进一步以数字新质生产力(digital)为门槛变量进行门槛效应检验。那么,Hansen门槛效应模型设定如下:

表12 门槛效应自抽样检验结果

表13 门槛效应回归结果

表12报告了数字新质生产力作为门槛变量,新型城镇化对城市包容性绿色增长影响的单门槛、双门槛和三重门槛的自抽样检验结果。不难发现,仅单门槛与双重门槛通过显著性检验,根据门槛模型设定可知新型城镇化对城市包容性绿色增长产生了双门槛的非线性影响。由此,可进一步检验数字新质生产力在不同门槛区间内,新型城镇化对城市包容性绿色增长的影响。从表13报告的门槛效应回归结果不难看出:当digital<8.956时,城镇化估计系数为0.172,但并未通过显著性检验,表明数字新质生产力水平较低时,无法有力支撑新型城镇化建设与城市包容性绿色增长;当数字新质生产力水平进一步提升至8.956≤digital≤10.512区间内,新型城镇化估计系数显著为正,而在观测期内广州、深圳、杭州、南京和成都等数字经济发展“领头羊”城市均落于此区间,这既说明数字新质生产力为推进“以人为本”的新型城镇化战略提供重要机遇,也为城市实现生态环保与经济发展互利双赢提供动力源泉;当数字新质生产力水平位于digital>10.512区间内,仅北京和上海两个城市落入此区间,新型城镇化估计系数也并未通过显著性检验,反映出过少的样本观测量无法有效表征稳定、可靠的回归结果。但依据拥有人力资本“先发优势”的发达国家发展经验,高水平的人才质量能够助力调整产业结构、提高生产效率与缩小贫富差距等。因此,在中国经济当前“求质”阶段,各地应大力培育与形成数字新质生产力,以加快与支撑新型城镇化建设和城市包容性绿色增长。
(二)数字新质生产力的隐含调节
前文基础回归已验证数字新质生产力能够强化新型城镇化的包容性绿色增长效应,为了进一步揭示数字新质生产力如何通过影响传导机制而发挥“隐含调节效应”,本文借鉴Edwards and Lambert提出的“有调节的中介路径法”,在中介效应模型基础上纳入数字新质生产力与中介传导机制的交乘项,以构建调节中介效应模型进行检验。
表14给出了数字新质生产力的调节中介效应模型回归结果,第1列和第2列公共支出与数字新质生产力的交乘项估计结果可知,变量feg×digita和变量fej×digital的估计系数分别为0.346和0.128,且至少在5%水平上显著,表明数字新质生产力与公共支出产生的耦合调节效应,能够有效放大、叠加和倍增新型城镇化的包容性绿色增长效应。而表14中第3列环境规制与数字新质生产力的交乘项er×digital估计系数虽为正但并未通过显著性检验,说明观测期内,数字新质生产力尚未显现出协同环境规制激励城市包容性绿色增长的耦合调节效应。究其原因,可能是目前我国资源约束紧、人口规模大、能耗结构偏传统煤炭能源等问题仍然严峻,而环境规制难以一时完全实现“环境—经济”的双赢发展,更未与数字新质生产力形成创新动力以支撑经济包容性绿色增长,亟须合理有效的规制政策塑造与培育数字新生产力,为推进新型城镇化建设与城市包容性绿色增长注入动力源泉。
同时,表14中第4列应用型创新与数字新质生产力的交乘项lnapi×digital、基础型创新与数字新质生产力的交乘项lnapi×digital估计系数均显著为正,这表明数字新质生产力已成为促进基础与应用型技术创新的重要驱动因素,有利于加速释放“数字、智能、绿色、低碳”技术创新在构建现代化产业体系中的应用价值,可见数字新质生产力正呈现出“放大倍增”新型城镇化通过创新效应驱动城市包容性绿色增长的巨大潜力。
表14 隐含调节机制回归结果

本文从新型城镇化的内涵出发,将新型城镇化、数字新质生产力与城市包容性绿色增长纳入统一的研究框架,理论分析和实证检验了数字经济、新型城镇化对城市包容性绿色增长的影响效应、多维机制与异质性,主要得到如下结论:第一,我国的城市包容性绿色增长在观测期间整体呈下降趋势,且具有区域异质性,呈现“沿海—内陆”的空间格局,东部地区呈正增长趋势,而中西部地区出现负增长。第二,新型城镇化在全国层面及分区层面的对城市包容性绿色增长均具有显著的促进作用。第三,新型城镇化驱动城市包容性绿色增长的中介传导机制存在明显的区域异质性,具体而言,东部地区的新型城镇化发展通过释放公共支出与创新驱动红利对城市包容性绿色增长产生促进作用。其中,新型城镇化的公共支出结构效应占主导地位,说明东部地区很好地贯彻了新型城镇化以人为本及创新驱动的发展内核;中部地区的环境规制在新型城镇化的包容性绿色增长效应中发挥着重要的传导作用,但需要注意的是,环境规制只有达到某一强度才对城市包容性绿色增长产生促进作用,而目前大多地区仍未跨过该强度,除此之外,公共支出规模和创新驱动也在其中发挥了一定的中介效应;就西部地区而言,仅公共支出规模和环境规制在其中发挥了中介传导作用。第四,新型城镇化对城市包容性绿色增长的影响存在数字新质生产力的“门槛转换”特征,且新质生产力通过影响传导机制而发挥“隐含调节效应”。
基于以上研究结论,对加快新型城镇化建设和培育数字新质生产力、推进我国城市包容性绿色增长的政策启示如下。
首先,新型城镇化对城市包容性绿色增长具有显著的直接促进作用,因此,要把新型城镇化发展作为我国经济高质量发展的新型动力之一,将其放在战略位置,通过释放制度红利来弥补要素红利的消解,加快城镇化从数量向质量的过渡,从新型城镇化“新”的内涵出发,以人为核心,注重人力资本积累和人口素质的提升,为城市包容性绿色增长提供持续的动力源泉。
其次,数字新质生产力在激发新型城镇化的包容性绿色增长效应中发挥了重要的调节机制,因此,各地既要持续培育与形成数字新质生产力,发挥数字化、智能化高端人才对城市产业结构调整和低碳技术创新的支撑作用,加快促进传统产业向绿色化、数字化、智能化转型升级。同时,公共支出在新型城镇化驱动城市包容性绿色增长中产生了重要的援助效应,因此,应保持公共支出的规模化,也要注重公共支出的结构化调整,稳步提高教育、医疗卫生、环保等福利性支出比重,实现依靠支出规模调整和结构优化的有机融合来保障城市包容性绿色增长。
再次,着重发挥环境规制在新型城镇化作用于城市包容性绿色增长中的作用,尤其对中部地区,须贯彻绿色发展理念,杜绝走“先污染、后治理”的老路,循序渐进推进环境规制的实施,使其尽快落入“U”型曲线的右端区间,具体应结合实际情况选择合适的规制类型,实现以政府为主导的“命令”型环境规制和以市场为基础的激励型环境规制等多种环境规制手段之间的互补和协调,从企业进入退出门槛的科学设定和能源结构优化等方面逐步淘汰落后产能,以达到优化城市资源配置及提高其绿色全要素生产率的目的。
最后,创新驱动是推动城市绿色发展和经济高质量发展的根本,但目前创新不足是掣肘城市包容性绿色增长的重要原因。因此,应始终坚持科学技术是“第一生产力、第一环保力”的理念,一方面,各级政府要加大对城市内科技创新水平较低企业的政策扶持,通过行政和财政手段给予企业政策和资金支持,以提高城市的环保技术水平,另一方面,政府还可以利用引入竞争的方式激励企业进行绿色技术创新,通过引进绿色环保技术研发实力较强的典型企业,发挥“标杆效应”和“鲇鱼效应”以促使城市整体环保清洁技术的创新能力及推广应用水平的提升,并通过加强城市内外产学研的融合,提高基础型创新向应用型创新的转换率,进而提高创新能力和推动技术进步,为城市包容性绿色增长提供良好的技术支撑。